Abstract
We retrospectively investigated the relationship between Schlemm’s canal incision length and the results of ab interno gonioscopy-assisted transluminal suture trabeculotomy (GATST) with/without cataract surgery in open-angle glaucoma patients at Tsukazaki Hospital from 2018–2021. The study included 113 eyes from 76 patients (age: 70.0 ± 10.8 years; female/male: 43 [56.6%]/33 [43.4%]). GATST with and without cataract surgery was performed on 87 (phakia) [77.0%] and 26 eyes (pseudophakia) [23.0%], respectively; 102 [90.3%] eyes had primary open-angle glaucoma, and 11 [9.7%] had pseudoexfoliation glaucoma. Intraocular pressure (IOP) significantly decreased at 3/6/12 months, and the antiglaucoma eyedrop number significantly decreased at 6/12 months (all P values < 0.001). Linear mixed-effects models showed that incision length had significant positive associations with IOP spikes, hyphema grade, and IOP changes (amount/percentage) at 6 months; surgical success rate (IOP ≤ 15 mmHg, ≥ 20% reduction, no additional surgeries [criterion B]) at 6/12 months; and surgical success rate (IOP ≤ 21 mmHg, ≥ 20% reduction, no additional surgeries [criterion A]) at 12 months (Ps < 0.05). There were no significant associations with IOP changes at 12 months, surgical success rate (criterion A) at 6 months, or antiglaucoma eyedrop number at either timepoint (Ps > 0.05). Longer incisions were more likely to produce greater IOP reduction, requiring more attention to IOP spikes/hyphema.
Similar content being viewed by others
Introduction
Minimally invasive or microinvasive glaucoma surgery (MIGS) via an intraocular approach has become popular recently. Various MIGS procedures have been introduced using novel devices, including the trabectome, iStent, Kahook Dual Blade, transluminal microcatheter or suture, and Tanito microhook1,2,3,4,5. Each procedure has its own advantages and disadvantages. Gonioscopy-assisted transluminal suture trabeculotomy (GATST) performed ab interno permits a 360° incision through a single surgical field. In most cases, once the thread passes through Schlemm’s canal, the inner wall can be incised without seriously damaging the outer wall. Trabeculotomy lowers intraocular pressure (IOP) by improving aqueous humor outflow into the trabecular meshwork via resistance reduction into Schlemm’s canal. In the search for effective and less invasive procedures, although there is a long-standing debate about the effects of differences in the length and location of Schlemm’s canal incision on GATST results, these effects have yet to be confirmed. Tanihara et al.6 reported a 5-year postoperative surgical success rate of 58.0–73.5% for a 120° incision in Schlemm’s canal using metallic probes, suggesting that a particular incision width is sufficient to achieve favorable surgical efficacy. Manabe et al.7 reported that the IOP reduction and surgical treatment success rate of suture trabeculotomy ab externo did not differ among incisions ranging from 150° to 320°. Sato et al.8 showed that there were no significant differences between the effects of upper 180°, lower 180°, and 360° incisions on IOP reduction or surgical treatment success rates of ab interno GATST. Mori et al.9 reported that there was no significant difference in the 1-year success rate between surgeries performed using 1- and 2-quadrant incisions in Schlemm’s canal using μLOT, and Okada et al.10 demonstrated that surgical outcomes were not significantly different between surgeries involving 120° and 180° incisions in Schlemm’s canal. Zhang et al.11 reported that there was similar efficacy in reducing IOP and the number of medications used in primary open-angle glaucoma (POAG) patients among 120°, 240°, and 360° goniotomy; a microhook was used for 120° and 240° incisions, and a microcatheter was used for 360° incisions. However, it is possible that the different approaches used could interfere with the results.
It has also been hypothesized that larger incisions can involve more collecting ducts and reduce the risk of surgical failure associated with reocclusion of the incision sites. In an experimental enucleation model, Rosenquist et al.12 reported that 30° and 120° incisions had a 42% and 85% lower IOP, respectively, than a 360° incision, and Swaminathan et al.13 reported that the flow of aqueous humor is segmental. Chin et al.14 demonstrated that 360° suture trabeculotomy achieved greater surgical success rates than 120° metal trabeculotomy for POAG and secondary open-angle glaucoma (SOAG), in which the different incision approaches might have interfered with the results.
This study aimed to investigate the differences in the efficacy of ab interno GATST according to different Schlemm’s canal incision lengths. A linear mixed-effects model utilizing data for one eye or both eyes, with strict adjustments for sex, age, surgery type, glaucoma type, number of pre- and postoperative glaucoma eyedrops, and preoperative IOP, was used; this method ensures statistical validity and provides more insights into the optimal trabeculotomy procedure for superior efficacy and safety.
Results
Patient characteristics
The patient demographic and clinical characteristics are presented in Table 1. A total of 113 eyes from 76 patients (age: 70.0 ± 10.8 years; females/males [person; eye]: 43 [56.6%]/33 [43.4%]; 68 [60.2%]/45 [39.8%]) were included; GATST with cataract surgery was performed on 87 eyes (phakia) [77.0%], and GATST alone was performed on 26 eyes (pseudophakia) [23.0%]. Both eyes from 37 patients [48.7%] and single eyes from 39 patients [51.3%] were included. Overall, 102 eyes [90.3%] had POAG, and 11 [9.7%] had pseudoexfoliation (PXF) glaucoma.
An IOP spike (≥ 30 mmHg during the first month after surgery) was observed in 14 eyes (12.4%).
Hyphema grade > 1 (2–4) was observed in 0 eyes (0%), grade 1 (≤ 1/3 anterior chamber volume) in 30 eyes (26.6%), and grade 0 (microhyphema: circulating red blood cells) in 83 eyes (73.4%).
There were no additional surgery-related complications beyond IOP spikes or hyphema.
Compared with the preoperative IOP, the postoperative IOP significantly decreased at 3, 6, and 12 months (preoperative: 17.3 ± 5.2; postoperative: 3 months, 12.3 ± 1.9; 6 months, 13.1 ± 2.1; and 12 months, 13.3 ± 2.0; all Ps < 0.001, Wilcoxon signed-rank test). The number of antiglaucoma eyedrops needed significantly decreased at 6 months and 12 months (preoperative: 2.0 (1.0–4.0); postoperative: 6 months, 1.0 (0.0–2.0); 12 months, 1.0 (0.0–2.0); all Ps < 0.001, Wilcoxon signed-rank test).
Schlemm’s canal incision lengths and locations in the ab interno GATST
The lengths (degrees) and locations of Schlemm’s canal incisions in ab interno GATST are shown in Supplementary Table S1. Incision lengths of ≤ 180°, > 180° and ≤ 270°, and > 270° were used in 31 eyes (27.4%), 48 eyes (42.5%), and 34 eyes (30.1%), respectively. As described in the Surgical Techniques section in the Methods, the starting point of the incision was the nasal angle (0° position of the right eye or 180° position of the left eye). Clockwise, counterclockwise, and both clockwise and counterclockwise rotations were performed in 13 (11.5%), 84 (74.3%), and 16 (14.2%) eyes, respectively.
Parameters demonstrating significant relationships with incision lengths in ab interno GATST
All the outcomes that had significant relationships with Schlemm’s canal incision lengths in ab interno GATST are shown in Fig. 1 and Table 2.
Outcomes demonstrating a significant relationship with Schlemm’s canal incision length. The data are presented as estimated coefficients and 95% confidence intervals (CIs) for increasing Schlemm’s canal incision lengths for each outcome. The x-axis indicates the adjusted coefficients with 95% CIs. The whiskers indicate 95% CIs for point estimates. The models were adjusted for sex, age, glaucoma type, surgical type, number of antiglaucoma eye drops and preoperative IOP. Statistical significance (P) values are shown on the right. *p < 0.05, **p < 0.01.
Relationship between incision length in ab interno GATST and postoperative IOP changes
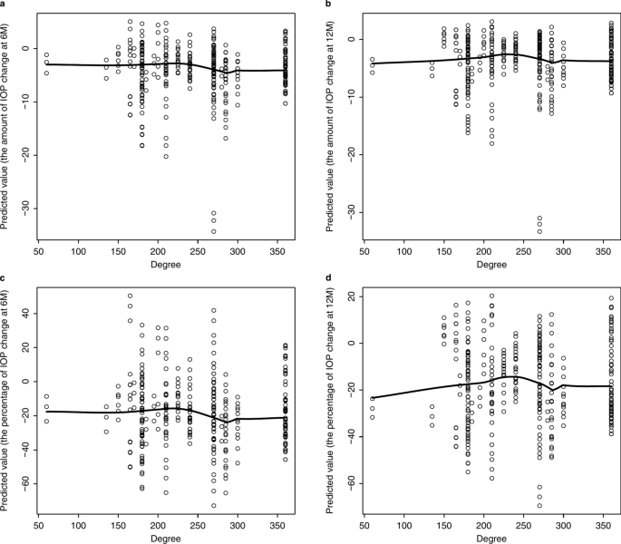
Multivariate linear mixed model (LMM) analysis demonstrated that Schlemm’s canal incision length was significantly related to the amount of IOP change (regression coefficient: -0.013 (-0.024, -0.002), p = 0.0181, Wald test) and the percentage of IOP change (regression coefficient: -0.081 (-0.135, -0.028), p = 0.0029, Wald test) at 6 months (Figs. 1 and 2, Table 2 and Supplementary Table S2). There were no significant relationships with the amount/percentage of IOP change at 12 months (p > 0.05, Wald tests) (Fig. 2 and Supplementary Table S2). Age and PXF glaucoma had significant relationships with the amount of IOP change at 6 months (regression coefficients: -0.188 and -4.831; p = 0.0025 and 0.0019, respectively, Wald test) and 12 months (regression coefficients: -0.173 and -5.419; p = 0.0034 and 0.0003, respectively, Wald test) and with the percentage of IOP change at 6 months (regression coefficients: -0.674 and -16.095; p = 0.0093 and 0.0196, respectively, Wald test) and 12 months (regression coefficients: -0.602 and -17.085; p = 0.0086 and 0.0047, respectively, Wald test) (Supplementary Table S2).
Scatter plots showing the relationship between Schlemm’s canal incision length and IOP changes.The y-axis indicates the model’s predicted IOP change. The predicted values were calculated from a model adjusted for sex, age, glaucoma type, surgical type, and number of antiglaucoma eye drops. The line represents the LOESS (locally weighted smoothing) curve fitted through the points in the scatter plots, illustrating trends between IOP change and incision width: the amount of IOP change at 6 M (a), the amount of IOP change at 12 M (b), the percentage of IOP change at 6 M (c), and the percentage of IOP change at 12 M (d).
Relationship between incision length in ab interno GATST and the number of antiglaucoma eyedrops
Multivariate LMM analysis revealed that Schlemm’s canal incision length had no significant relationship with the number of antiglaucoma eyedrops used at 6 or 12 months (p > 0.05, Wald test) (Supplementary Table S3). Age was significantly associated with the number of antiglaucoma eyedrops at 6 months (regression coefficient: 0.038 (0.007, 0.069), p = 0.0191, Wald test) (Supplementary Table S3).
Relationship between incision length in ab interno GATST and IOP spikes during the first month after surgery
Multivariate generalized LMM analysis demonstrated that Schlemm’s canal incision length was significantly associated with the incidence of IOP spikes (regression coefficient: 0.079 (0.004, 0.155), p = 0.0401, Wald test) (Fig. 1, Table 2 and Supplementary Table S4).
Relationship between incision length in ab interno GATST and hyphema grade
Multivariate generalized LMM analysis demonstrated that Schlemm’s canal incision length was significantly associated with hyphema grade (regression coefficient: 0.042 (0.017, 0.068), p = 0.0012, Wald test) (Fig. 1, Table 2 and Supplementary Table S5). Preoperative IOP also had a significant relationship with hyphema grade (regression coefficient: 0.371, p = 0.0381, Wald test) (Supplementary Table S5).
Relationship between incision length in ab interno GATST and surgical success rate
Multivariate generalized LMM analysis demonstrated that Schlemm’s canal incision length was significantly related to the surgical success rate under criterion A (IOP ≤ 21 mmHg, ≥ 20% reduction, no additional glaucoma surgeries) at 12 months (regression coefficient: 0.009 (0.001, 0.018), p = 0.0344, Wald test) and the surgical success rate under criterion B (IOP ≤ 15 mmHg, ≥ 20% reduction, no additional glaucoma surgeries) at 6 months (regression coefficient: 0.010 (0.001, 0.020), p = 0.0247, Wald test) and 12 months (regression coefficient: 0.012 (0.002, 0.022), p = 0.0172, Wald test) (Fig. 1, Table 2 and Supplementary Table S6). No significant relationships with the surgical success rate under criterion A at 6 months were observed (p > 0.05, Wald tests) (Supplementary Table S6). PXF glaucoma had a significant relationship with the surgical success rate under criterion A at 6 months (regression coefficient: 2.112 (0.160, 4.064), p = 0.0339, Wald test) and 12 months (regression coefficient: 2.246 (0.369, 4.124), p = 0.0190, Wald test) (Supplementary Table S6). Age and PXF glaucoma had significant relationships with the surgical success rate under criterion B at 6 months (regression coefficients: 0.096 and 3.272; p = 0.0250 and 0.0072, respectively, Wald test) and 12 months (regression coefficients: 0.110 and 3.147; p = 0.0135 and 0.0127, respectively, Wald test) (Supplementary Table S6).
Discussion
The current study demonstrated that ab interno GATST, a minimally invasive complete or partial circumferential trabeculotomy, was safe and effective in lowering IOP and decreasing the number of necessary eyedrops. The Schlemm’s canal incision length had significant relationships with the number of IOP spikes (Fig. 1, Table 2 and Supplementary Table S2), hyphema grade (Fig. 1, Table 2 and Supplementary Table S5), and IOP changes (amount/percentage) at 6 months; the surgical success rates (criterion B) at 6 months and 12 months; and the surgical success rate (criterion A) at 12 months (Fig. 1, Table 2 and Supplementary Table S6). These results corroborate the perspective that larger incisions that involve more collecting ducts lead to greater IOP reduction and reduce the risk of surgical failure associated with reocclusion of incision sites. On the other hand, a larger incision in ab interno GATST appears to result in a greater incidence of IOP spikes and a higher hyphema grade. A larger incision might cause more bleeding and hyphema, which could initially outweigh the beneficial effect of increased outflow with less flow resistance through surgically created drainage spaces. In the present study, age and PXF glaucoma were significantly associated with a decrease in the amount/percentage of IOP at 6 and 12 months (Supplementary Table S2). We also found that the preoperative IOP was significantly related to the hyphema grade (Supplementary Table S5), suggesting that a large decrease in IOP after surgery is a risk factor for hyphema, possibly because a sudden and substantial change in the difference between the IOP and blood pressure could trigger a drastic backflow of blood into the anterior chamber. The Schlemm’s canal incision length had significant relationships with the surgical success rates according to criterion A at 12 months and criterion B at 6 and 12 months, although there were no significant relationships with the surgical success rate according to criterion A at 6 months, suggesting that a larger incision was needed to satisfy the more rigid criteria of the surgical success rates at 6 months. On the other hand, Schlemm’s canal incision length had no significant relationships with the postoperative IOP change (amount/percentage) at 12 months (Supplementary Table S2) or the number of antiglaucoma eyedrops at 6 and 12 months (Supplementary Table S3). Although these results partially align with previous reports that the surgical treatment efficacy of trabeculotomy does not depend on the incision length, the incision length was a critical factor that significantly affected various outcomes, including the surgical success rate of ab interno GATST, in the present study (Table 2 and Fig. 1). We conducted a point change analysis to determine the Schlemm’s canal incision length that increased the risk of IOP spikes or hyphema grade and the incision length required for surgical success. The analysis demonstrated that 210°, 185°, and 225°, respectively, were the thresholds for each parameter (Supplementary Table S7 and Fig. 3). These results could provide critical information useful for predicting postoperative outcomes and adjusting the planned Schlemm’s canal incision length at the individual level.
Change-point analysis to detect a threshold for Schlemm’s canal incision length associated with IOP spikes, hyphema grade, and surgical success rates.The line chart shows the trend between the p value and Schlemm’s canal incision length, with change points indicated by larger blue dots. The p values were calculated from a chi-square test assessing the IOP change, hyphema grade, and surgical success rate when the dataset was divided into two groups at a specific threshold. For the mean shift in the P value, horizontal red lines are drawn at the mean value of each segment: IOP spike (a), hyphema grade (b), surgical success rate (Criterion A) (c), and surgical success rate (Criterion B) (d).
There are some potential limitations to this study. First, the degree to which the inner wall of Schlemm’s canal was cut during surgery differed, potentially biasing the results. Surgeons may have used smaller incisions to avoid obstacles based on the accepted assumption that certain degrees would be enough for preferable results or due to differences among patients, such as the glaucoma stage: the Schlemm’s canal inner space has been shown to be smaller in POAG15,16,17,18, which could have been a source of bias in the study. A significant correlation was found between the incision length and the mean deviation in the presurgery visual field, indicating that a worse mean visual field deviation was associated with smaller incisions (p < 0.0001, Kruskal‒Wallis test) (Supplementary Table S8). A possible explanation is that at more advanced glaucoma stages, the inner resistance of Schlemm’s canal may be increased, leading to the creation of shorter incisions. However, since the incision lengths were randomly determined by the surgeon, including whether or not GATST was performed in the opposite direction when the suture was stopped before 360°, this observation must be interpreted with caution. To mitigate confounding biases related to the glaucoma stage, we considered including the presurgery mean visual field deviation in the multivariate analysis, but multicollinearity concerns made such an inclusion inappropriate. Nevertheless, no significant differences were observed in the number of eyes across glaucoma stages (p = 0.094, chi-square test), as shown in Table 1. Second, we did not follow patients longer than 12 months. It is possible that, for larger incisions, remodeling after surgery could be delayed in the long term, or the burden of aqueous humor outflow per collector channel might be smaller, both of which would contribute to the long-lasting favorable functioning at the site of the surgical location. Further long-term studies are necessary to identify the detailed underlying mechanism. Third, a multicenter study would be ideal to minimize geographic or socioeconomic bias. In contrast, this study was a single-surgeon/facility study, which resulted in less performance bias related to the consistency and uniformity of surgery-related factors. Fourth, we only performed GATST with cataract surgery for phakic eyes and GATST alone for pseudophakic eyes. However, if we seek to evaluate the effects of cataract surgery, which often reduces IOP, we must also evaluate the use of GATST alone for phakic eyes. To mitigate the effects of surgical type on the study results, we employed multivariate analysis with an LMM, in which surgery type was included as a fixed effect. In this context, the surgical type had no significant associations with any parameters, as shown in Supplementary Table S2-S7 in this study. Fifth, the World Glaucoma Association recommends use of the Goldmann applanation tonometer as the standard for evaluating IOP; that said, we employed multivariate analysis with an LMM in which tonometer type (noncontact tonometry [NCT] by air puff, Goldmann applanation tonometry [Applanation], and rebound tonometry [iCare]) was included as a random effect and derived imputation models for each incomplete IOP dataset collected with the three types of tonometry that included the other two variables, as demonstrated in the Methods, ensuring a rigorous approach in the statistical analysis. Finally, despite the retrospective, nonrandomized nature of the study, the sampling process was conducted as part of a consecutive case series study; thus, there is no potential self-selection bias. Additionally, the data were meticulously analyzed under a rigorous methodology, using a linear mixed-effects model with strict adjustments for sex, age, surgery type, glaucoma type, number of pre/postoperative glaucoma eye drops, and preoperative IOP as fixed effects and patient ID and tonometer type as random effects to ensure statistical validity.
In conclusion, ab interno GATST, a minimally invasive complete or partial circumferential trabeculotomy, was safe and effective in decreasing IOP and the number of eyedrops. The Schlemm’s canal incision length was significantly correlated with changes in the number of IOP spikes, hyphema grade, and IOP (amount/percentage) after 6 months; the surgical success rate (criterion B) after 6 and 12 months; and the surgical success rate (criterion A) after 12 months. No significant correlation with changes in IOP (amount/percentage) after 12 months, the surgical success rate (criterion A) after 6 months, or the number of antiglaucoma eyedrops after 6 and 12 months was identified. Overall, longer incisions were more likely to produce greater IOP reduction but required that more careful attention be given to IOP spikes and hyphema. The findings of the present study can serve as a foundation for selecting the optimal incision length for each scenario.
Methods
Design
This study was a retrospective, interventional, single-surgeon, single-center case series.
Setting
The study was performed at the Department of Ophthalmology, Tsukazaki Hospital, Japan.
Patients
We analyzed data from a consecutive series of open-angle glaucoma patients who underwent GATST with complete or partial circumferential trabeculotomy with or without cataract surgery for the first time by a single surgeon (HT) at Tsukazaki Hospital between July 2018 and October 2021. The study conformed to the tenets of the Declaration of Helsinki and was approved by the institutional review board of Tsukazaki Hospital. Written consent was obtained from all patients before surgery. Participants were recruited for enrollment in a consecutive case series study (outpatients with or without a doctor’s referral); therefore, there is no potential self-selection bias that might confound the results. The exclusion criteria were ocular diseases other than cataracts and glaucoma and a history of any ocular surgeries other than cataract surgery that could affect the parameters investigated in this study. Patients who were using anticoagulants or antiplatelets were also excluded from this study.
Main outcome measures
The main outcome measures were IOP, the number of antiglaucoma eye drops, an IOP spike ≥ 30 mmHg during the first month after surgery, hyphema grade (maximum grade during the first month after surgery according to the hyphema grading system proposed by the American Academy of Ophthalmology [https://www.aao.org/education/image/hyphema-grading-system-2]; microhyphema was assigned a grade of 0 in the present study), and surgical success rates (IOP ≤ 21 mmHg with ≥ 20% reduction [criterion A] or ≤ 15 mmHg with ≥ 20% reduction [criterion B], without any additional glaucoma surgeries) at 6 months and 12 months after surgery. The incision length was carefully reviewed and confirmed on surgical videos by a professional eye surgeon (HT).
Surgical techniques
After standard sterile preparation, the surgical eye was draped, and a lid speculum (Tanabe Temporal View Speculum [T. View]) was inserted to hold the eyelids open. A 23-gauge paracentesis track, oriented tangentially, was placed in either the superonasal or inferonasal quadrant. This initial track served as the entry site for the suture. A viscoelastic agent (sodium hyaluronate) was injected into the anterior chamber through this site. A temporal main incision port was then created. A suture was inserted into the anterior chamber through the entry site, with the tip resting at the nasal angle. The microscope and the patient’s head were then oriented to allow proper visualization of the nasal angle with a Hill gonio-lens. A 1- to 2-mm goniotomy was created at the nasal angle (0° position of the right eye or 180° position of the left eye) with a microsurgical blade through the temporal site. Microsurgical forceps were introduced through the temporal site and used to grasp the suture within the anterior chamber. The distal tip of the suture was then inserted into Schlemm’s canal at the goniotomy incision. The microsurgical forceps were used within the anterior chamber to advance the suture through 360° in one direction. When the suture was stopped before 360°, limited trabeculotomy was performed. The suture was then passed in the opposite direction through the 23-gauge incision to create a wider incision at the surgeon’s discretion. The length of the incision was determined by the angle between the starting point of the suture insertion and the endpoint where the suture was completely removed during surgery, as carefully reviewed and confirmed on surgical videos by a professional eye surgeon (HT) after surgery. For the patients in which cataract surgery was performed, ab interno GATST was performed first, followed by cataract surgery, which was performed with standard phacoemulsification. The viscoelastic agent was then removed from the anterior chamber by irrigation aspiration, which washed out the blood. At the end of the procedure, the wounds were checked to ensure watertight closure, and postoperative steroid and antibiotic drops were administered.
Postoperative care and follow-up
After surgery, all patients were given topical broad-spectrum antibiotics and topical steroids. The topical antibiotics were stopped at postoperative week 1 or 2. The topical steroids were tapered according to the surgeon’s discretion, with the main goal of controlling inflammation and preventing an IOP response. Pilocarpine eye drops were prescribed twice daily for two to four weeks after surgery. The patient’s IOP was treated during the postoperative period according to the surgeon’s discretion. Clinical information from the chart review was collected at the following postoperative visits: 1 day; 1 week; 2 to 3 weeks; and 1, 3, 6, and 12 months. At each follow-up visit, the following data were collected: visual acuity, IOP, number of glaucoma eyedrops, and surgery-related complications. The presence of an IOP spike and the maximum hyphema grade were evaluated during the first month after surgery.
Statistical analyses
The sample size was calculated for an alpha of 0.05 and a power of 0.80. Assuming a mean and standard deviation (SD) for IOP change in the 360° group of 13.5 ± 2.7, as reported in previous studies19, the minimum sample size for each group was set at 16 eyes to detect a difference of 20% between the 360° group and the 180° group. The 360° group and 180° group comprised 21 eyes in 18 patients and 21 eyes in 17 patients, respectively; thus, the sample size was sufficient.
The data are presented as the mean and standard deviation (SD) for continuous variables and the incidence and frequency for categorical variables (Table 1). The differences between the pre- and postoperative values of IOP and the number of antiglaucoma eyedrops were assessed with the Wilcoxon signed-rank test (Table 1). Each IOP value was adjusted by an LMM with fixed effects (sex, age, glaucoma type, surgical type, Schlemm’s canal incision length, and number of antiglaucoma eye drops [a combination of ophthalmic drugs was counted as 2 drops]) and random effects (patient ID and tonometer type).
Multivariate analysis was performed with an LMM to assess the association between IOP change and Schlemm’s canal incision length, in which patient ID and tonometer type were used as random effects, and sex, age, surgery type, glaucoma type, Schlemm’s canal incision length, and antiglaucoma eye drops were used as fixed effects (Table 2 and Supplementary Table S2). We also used an LMM to assess the association between the number of antiglaucoma eyes and the Schlemm’s canal incision length, in which sex, age, surgery type, glaucoma type, Schlemm’s canal incision length, and preoperative IOP were used as fixed effects (Supplementary Table S3).
We used a generalized LMM to examine the relationships between IOP spikes, hyphema grade and surgical success rate and Schlemm’s canal incision length, in which patient ID and tonometer type were used as random effects and sex, age, surgery type, glaucoma type, Schlemm’s canal incision length, preoperative IOP (excluded in the analysis of surgical success rate), and the number of antiglaucoma eyedrops (preoperative data for IOP spike/hyphema grades) were used as fixed effects (Supplementary Tables S4-S6). In the change-point analysis to detect a threshold for Schlemm’s canal incision length associated with IOP spikes, hyphema grades, and surgical success rates, the p values were computed from a generalized LMM evaluating the associations between the presence of IOP spikes, hyphema grade and surgical success rate and Schlemm’s canal incision length, which was used as a fixed effect and transformed into a binary variable using a specific threshold (Fig. 3 and Supplementary Table S7).
We performed multiple imputation methods for missing IOP data at each measurement point (3, 6, and 12 months). We derived imputation models for each incomplete IOP dataset collected with three types of tonometry (noncontact tonometry [NCT] by air puff, Goldmann applanation tonometry [Applanation], and rebound tonometry [iCare]) that included the other two variables. The number of imputations was set to 5. These statistical analyses were performed using Statistical Analysis Language R version 3.6.2 (R Core Team 2019, R Foundation for Statistical Computing, Vienna, Austria)20, and multiple imputation analysis was implemented by using the “mice” package in R21. A p value of < 0.05 was considered to indicate statistical significance for all tests.
Ethics statement
This study conformed to the tenets of the Declaration of Helsinki and was approved by the Ethics Committee of Tsukazaki Hospital. All research was performed in accordance with relevant guidelines/regulations. Written informed consent was obtained from each subject.
Data availability
All data relevant to the study are included in this article or have been uploaded as supplementary information.
References
Minckler, D. S., Baerveldt, G., Alfaro, M. R. & Francis, B. A. Clinical results with the trabectome for treatment of open-angle glaucoma. Erratum. In: Ophthalmol. 112, 1540 (2005).
Spiegel, D., García-Feijoó, J., García-Sánchez, J. & Lamielle, H. Coexistent primary open-angle glaucoma and cataract: preliminary analysis of treatment by cataract surgery and the iStent trabecular micro-bypass stent. Adv. Ther. 25, 453–464 (2008).
Seibold, L. K., SooHoo, J. R., Ammar, D. A. & Kahook, M. Y. Preclinical investigation of Ab interno trabeculectomy using a novel dual-blade device. Am. J. Ophthalmol. 155, 524-529.e2 (2013).
Grover, D. S. et al. Gonioscopy-assisted transluminal trabeculotomy. Ab interno trabeculotomy. Ophthalmol. 121, 855–861 (2014).
Tanito, M., Sano, I., Ikeda, Y. & Fujihara, E. Short-term results of microhook ab interno trabeculotomy, a novel minimally invasive glaucoma surgery in Japanese eyes: initial case series. Acta Ophthalmol. 95, e354–e360 (2016).
Tanihara, H. et al. Surgical effects of trabeculotomy Ab externo on adult eyes with primary open angle glaucoma and pseudoexfoliation syndrome. Arch. Ophthalmol. 111, 1653–1661 (1993).
Manabe, S.-I., Sawaguchi, S. & Hayashi, K. The effect of the extent of the incision in the Schlemm canal on the surgical outcomes of suture trabeculotomy for open-angle glaucoma. Jpn. J. Ophthalmol. 61, 99–104 (2017).
Sato, T. & Kawaji, T. 12-month randomised trial of 360° and 180° Schlemm’s canal incisions in suture trabeculotomy ab interno for open-angle glaucoma. Br. J. Ophthalmol. 105, 1094–1098 (2021).
Mori, S. et al. Comparison of efficacy and early surgery-related complications between one-quadrant and two-quadrant microhook ab interno trabeculotomy: a propensity score matched study. Acta Ophthalmol. 99, 898–903 (2021).
Okada, N. et al. Comparison of efficacy between 120° and 180° Schlemm’s canal incision microhook ab interno trabeculotomy. J. Clin. Med. 10, 3181 (2021).
Zhang, Y. et al. Influence of goniotomy size on treatment safety and efficacy for primary open-angle glaucoma: a multicenter study. Am. J. Ophthalmol. 256, 118–125 (2023).
Rosenquist, R., Epstein, D., Melamed, S., Johnson, M. & Grant, W. M. Outflow resistance of enucleated human eyes at two different perfusion pressures and different extents of trabeculotomy. Curr. Eye Res. 8, 1233–1240 (1989).
Swaminathan, S. S. et al. Secreted protein acidic and rich in cysteine (SPARC)-null mice exhibit more uniform outflow. Investig. Ophthalmol. Vis. Sci. 54, 2035–2047 (2013).
Chin, S. et al. Reduction of intraocular pressure using a modified 360-degree suture trabeculotomy technique in primary and secondary open-angle glaucoma. J. Glaucoma 21, 401–407 (2012).
Allingham, R. R., de Kater, A. W. & Ethier, C. R. Schlemm’s canal and primary open angle glaucoma: correlation between Schlemm’s canal dimensions and outflow facility. Exp Eye Res. 62, 101–109 (1996).
Wang, F. et al. Comparison of Schlemm’s canal’s biological parameters in primary open-angle glaucoma and normal human eyes with swept source optical. J Biomed Opt. 17, 116008 (2012).
Hong, J. et al. Spectral-domain optical coherence tomographic assessment of Schlemm’s canal in Chinese subjects with primary open-angle glaucoma. Ophthalmology 120, 709–715 (2013).
Huang, H., Tian, L., Sun, X. & Chen, Y. En face optical coherence tomography detection of Schlemm’s canal in primary open angle glaucoma. Front Physiol. 14, 1214427 (2023).
Sato, T. Hirata, A. & Mizoguchi, T. Prospective, noncomparative, nonrandomized case study of short-term outcomes of 360° suture trabeculotomy ab interno in patients with open-angle glaucoma. Clin. Ophthalmol. 9, 63–68 (2015).
R Core Team. R: a language and environment for statistical computing (R Core Team, 2019).
van Buuren, S. & Groothuis-Oudshoorn, K. mice: multivariate imputation by chained equations in R. J. Stat. Softw. 45, 1–67 (2011).
Acknowledgements
We appreciate the efforts of all the Tsukazaki Hospital staff members involved in this study. We thank the professional data analysis company StaGen Co., Ltd., for reviewing the statistical methods of the study design, confirming the validity of the statistical results, and issuing a certificate for the review of statistical methods by a professional statistician. American Journal Experts (AJE) edited the language of the manuscript, and Wiley Editing Services formatted the figures.
Author information
Authors and Affiliations
Contributions
HT and SN conceived the study; KN, ET, YF, YN, SO, MA, and KM conducted the examinations and collected the data; HT analyzed the results and wrote the manuscript; and HT and SN provided study resources. All the authors reviewed the manuscript.
Corresponding author
Ethics declarations
Competing interests
Hirotaka Tanabe, MD, PhD, is the inventor of the Tanabe Temporal View Speculum (Design Registration: D1640365 (Japan), DM/206179 (UK, EU), D931,449 (USA); Eye Technology [United Kingdom] and M.E. Technica [Japan]; https://www.metechnica.co.jp/uimg/pdf/Links_of_T_View.pdf), which was used during surgery. This research received no specific grant from any funding agency in the public, commercial, or not-for-profit sectors. The other authors declare that they have no competing interests.
Additional information
Publisher’s note
Springer Nature remains neutral with regard to jurisdictional claims in published maps and institutional affiliations.
Rights and permissions
Open Access This article is licensed under a Creative Commons Attribution-NonCommercial-NoDerivatives 4.0 International License, which permits any non-commercial use, sharing, distribution and reproduction in any medium or format, as long as you give appropriate credit to the original author(s) and the source, provide a link to the Creative Commons licence, and indicate if you modified the licensed material. You do not have permission under this licence to share adapted material derived from this article or parts of it. The images or other third party material in this article are included in the article’s Creative Commons licence, unless indicated otherwise in a credit line to the material. If material is not included in the article’s Creative Commons licence and your intended use is not permitted by statutory regulation or exceeds the permitted use, you will need to obtain permission directly from the copyright holder. To view a copy of this licence, visit http://creativecommons.org/licenses/by-nc-nd/4.0/.
About this article
Cite this article
Tanabe, H., Nakakura, S., Nishimura, K. et al. Relationship between Schlemm’s canal incision length and the results of ab interno gonioscopy-assisted transluminal suture trabeculotomy. Sci Rep 15, 4664 (2025). https://doi.org/10.1038/s41598-025-88479-2
Received:
Accepted:
Published:
Version of record:
DOI: https://doi.org/10.1038/s41598-025-88479-2
Keywords
This article is cited by
-
Analysis of surgical outcomes and risk factors after gonioscopy-assisted transluminal trabeculotomy
BMC Ophthalmology (2025)





