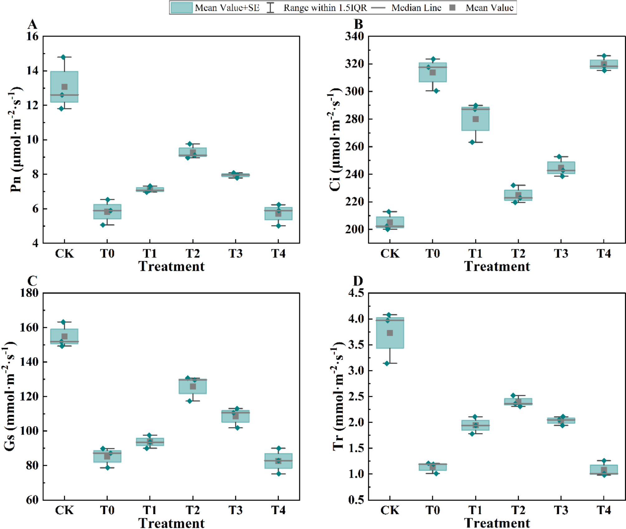
Fig. 5

Effects of melatonin on photosynthetic parameters of tomato leaves under saline-alkali stress. (A) Net photosynthetic rate (Pn). (B) Intercellular CO2 concentration (Ci). (C) Stomatal conductance (Gs). (D) Transpiration rate (Tr). The results in the figure are means ± SE of three independent replications.