Fig. 7
From: Robust adaptive optimization for sustainable water demand prediction in water distribution systems

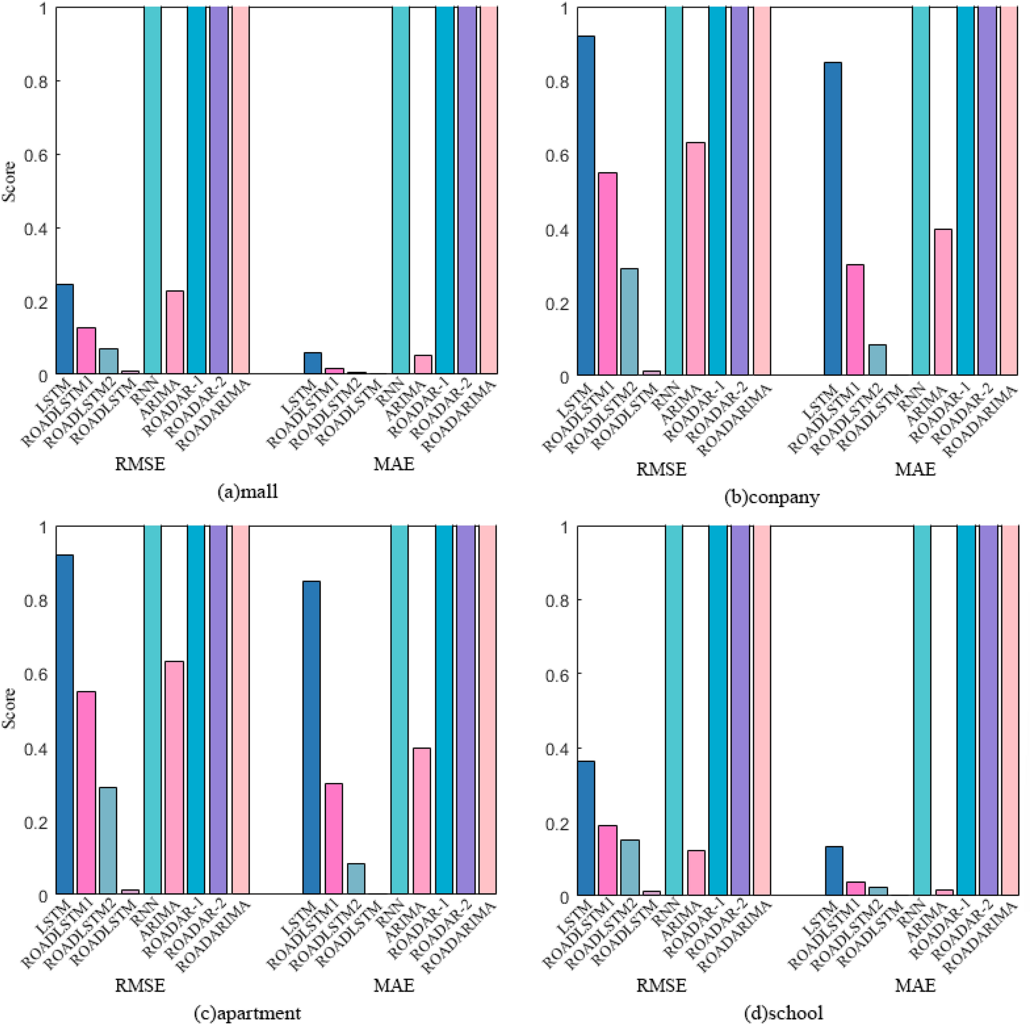
Error scores of 9 models on four datasets. (The lower value represents the better result. Values between 0 and 1 are shown, making it more intuitive.).