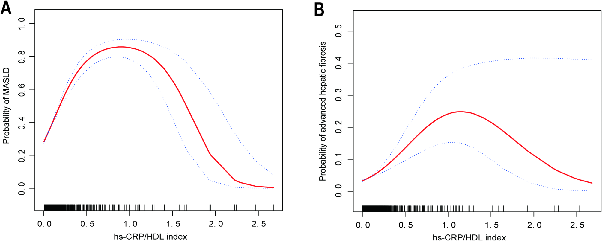
Fig. 2

The associations of the hs-CRP/HDL-C index with MASLD (A) and advanced liver fibrosis (B). The red solid line illustrates the smoothed curve fit between the variables, with the blue dashed lines and the area between them indicate 95% confidence intervals around the fitted values.