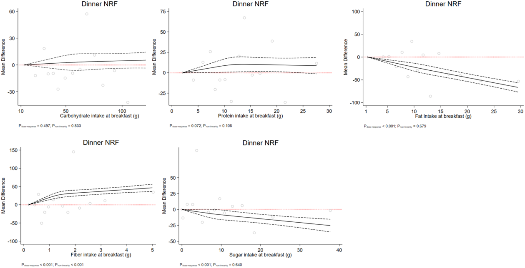
Fig. 2

Dose-response association of breakfast composition (carbohydrate, protein, fat, fiber and sugar) and nutrient density at dinner. The red dash line indicates the reference line, the black dash line represents the lower and upper confidence intervals, the solid black line shows the estimate.