Abstract
To extract sinapine from rapeseed meal and investigate its antihypertensive function and mechanism. Blood pressure was measured before and after sinapine administration to evaluate sinapine’s immediate antihypertensive function. Twokidney, oneclip (2K1C) hypertensive rats were given sinapine for four weeks, with weekly blood pressure monitoring. The renin angiotensin aldosterone system (RAAS), including the levels of renin, angiotensin I (Ang I), angiotensin II (Ang II), aldosterone (ALD), angiotensin-converting enzyme (ACE) and other molecules related to blood pressure, such as NO, prostacyclin (PGI2), endothelin-1 (ET1), and thromboxane A2 (TXA2), were measured in rat blood. The impact of sinapine on vascular endothelial cell (A10) calcium and potassium channels was assessed using the patch-clamp technique. One-time or long-term administration of sinapine significantly reduced the rats’ systolic blood pressure (SBP), diastolic pressure (DBP), and mean blood pressure (MBP). Sinapine also decreased the levels of Ang II and ALD. Furthermore, sinapine effectively inhibited ACE activation, increased NO levels, and blocked L-type calcium channels. Sinapine has an antihypertensive function and achieves this process through multiple targets.
Similar content being viewed by others
Introduction
Hypertension increases the risks of heart, brain, and kidney disease1,2,3,4. The World Health Organization predict that 1.4 billion people will suffer from hypertension by 2025 and that more than 7 million deaths yearly are likely to be caused by hypertension5. Currently, hypertension is the most important modifiable morbidity. Prevention of hypertension is critically essential. Antihypertensive drugs can reduce the morbidity and mortality caused by hypertension6. There are multiple classes of antihypertensive medications. However, some drugs have adverse effects7,8. Medicinal plants, with fewer side effects and various targets, are potential candidates for antihypertensive therapy9,10,11. A clinical study has proven that consuming cruciferous vegetables prevents and treats cardiovascular diseases, including hypertension12,13. Previously, we conducted a series of studies on the biology of cruciferous plants. We found that giving rats the aqueous ethanolic extract of rapeseed meal resulted in a decrease in blood pressure. We isolated monomeric components from the aqueous ethanolic extract and tested their antihypertensive effect. We finally screened out sinapine as the antihypertensive agent. Sinapine is a quaternary alkaloid of Cruciferae origin with a chemical structure consisting of erucic acid combined with choline. It is usually found in the form of salts, such as sinapine thiocyanate, and has a variety of biological activities, including antihypertensive, antioxidant, and antiradical activities14,15,16. Notably, the purity of sinapine obtained from rapeseed meal was as high as 99.9%, with a yield of 0.31%, which was much greater than the content in cruciferous vegetables. These findings provide a new way to utilize rapeseed meals. Since natural sinapine is sinapine thiocyanate with very low solubility and is not used for clinical applications, we modified it into chloride to increase its solubility. In previous studies, we investigated the antihypertensive effects of sinapine chloride on the SHR rat mode17, and the results indicated that sinapine chloride has a significant antihypertensive effect. This study was based on previous research and aimed to simulate another common hypertension model, renal hypertension, and investigate the antihypertensive effects of sinapine chloride on renal hypertension. This study will provide experimental evidence for expanding the application of sinapine chloride in the field of antihypertension and investigate the possible antihypertensive pathways of sinapine chloride.
Materials and methods
Preparation of sinapine chloride
Rapeseed meal was acquired from Bozhou Mill Food Co., Ltd. Rapeseed meal samples (2000 g) were extracted with 6.0 L of distilled water for 120 min at 100 °C, and the water extracts were filtered through three levels of SiQi qualitative filter paper (pore size 80–120 microns). A rotary vacuum evaporator (RE-3000 Rotary Evaporator, Shanghai Yarong Biochemical Instrument Factory) was used to dry the filtration at 55 °C for 6 h. Then, 95% ethanol was added to the dry rapeseed meal extracts. After precipitation, the supernatant layer was filtered, the filtrate was concentrated, and the quote was obtained. Potassium thiocyanate (20%) was thoroughly mixed with the extract and kept at 4 °C for 48 h. The precipitate was recrystallized four times with 60 °C methanol, dried in a vacuum, and the dried compound was dissolved with distilled water, the water solution was put through a 717-chloride type anion. After heating and drying, we obtained light yellow flake crystals. As we have published before17, nuclear magnetic resonance spectroscopy (NMR), thin-layer chromatography (TLC), and high-performance liquid chromatography (HPLC) were used to determine the physical and chemical characteristics of light yellow flake crystals.
Induction of hypertension
All animal experiments were performed in accordance with the UK Animals (Scientific Procedures) Act (1986) - relevant guidelines. The Institutional Animal Care and Use Committee of DALIAN University approved all procedures performed on animals. Male Wistar rats (aged ten weeks, body weight 180 to 200 g) were maintained in a controlled temperature (21 ± 2 °C) room with 12-hour light/dark cycles. After a week of adaptation, we established the 2K1C hypertension model by anesthetizing the rats with pentobarbital sodium (50 mg/kg) by intraperitoneal injection. Deeply sedated animals underwent the following surgery: the left renal artery was exposed (Fig. 1A); the left renal artery was isolated from surrounding connective tissues (Fig. 1B); a U-shaped silver clip was prepared; the gap width was 0.2 mm (Fig. 1C); and a U-shaped silver clip was implanted around the left renal artery (Fig. 1D). The muscle and skin layers were sutured separately. At the end of the surgery, all animals received an intramuscular injection of penicillin (North China Pharmaceutical Co., Ltd., Shijiazhuang, China) at a dose of 50,000 units/100 g. The SHAM group received the same surgical procedures except for clipping the left renal artery. Six weeks after surgery, the study excluded 2K1 C rats with SBP < 140 mmHg.
Acute antihypertensive effect of sinapine
In previous antihypertensive drug screening experiments, we reported that some medicines had antihypertensive effects after a single injection, but the antihypertensive effect was short-lived and unstable (maintained for 5–15 min, which was not suitable for development into an effective antihypertensive drug). To avoid this situation, we designed an acute antihypertensive experiment to examine the time of onset and duration of the antihypertensive effect of the experimental drugs after a single administration. Rats were divided randomly into three groups (n = 8/group). The standard control group consisted of sham-operated rats (SHAM). The negative control group consisted of untreated 2K1C rats (2K1C). The treatment control group consisted of 2K1C rats administered sinapine (2K1C-sinapine). We anesthetized the rats by intraperitoneal injection of 100 mg/kg ketamine and 10 mg/kg xylazine. The systolic, diastolic, and mean blood pressure were measured before and after injection of the test substances by invasive blood pressure measurement (CHENGDU TECHMAN Biotech Co). Rats were anesthetized, and a small incision was made in the neck region to access the carotid artery. A catheter was carefully inserted into the carotid artery. The catheter was secured in place with sutures or adhesive to prevent it from moving. The other end of the catheter was connected to a pressure transducer. This transducer converts blood pressure into electrical signals. After the blood pressure stabilized for 5 min, the sham group and 2K1C group were administered 0.5 ml/kg saline. Our previous research17 results showed that the dose of oral administration of sinapine for anti-hypertension in rats was 30–100 mg/kg, and the bioavailability of sinapine oral administration was approximately 5.78 ± 1.39% (reference - attachment 6). Based on the findings of a previous study, we estimated that the doses for oral administration were equivalent to 5.78 mg/kg (100.0 mg/kg * 5.78%) and 1.73 mg/kg (30.0 mg/kg * 5.78%) for intravenous administration. Therefore, we selected 3.0 mg/kg as the intravenous dosage in this study. The 2K1C-sinapine group was administered 3.0 mg/kg sinapine. The testing substances were injected through the dorsal pedal vein.
Long-term administration of sinapine
In the SHAM, 2K1C, and 2K1C-sinapine groups (n = 10/group), the 2K1C-sinapine group received sinapine at a dose of 3.0 mg/kg per day, administered intravenously once daily, while the SHAM and 2K1C groups received the same dose of saline for four weeks. During the four weeks, the systolic, diastolic, and mean blood pressures were measured by the BP-600 A automatic noninvasive blood pressure measurement system (CHENGDU TECHMAN Biotech Co.) every two weeks. Rats were allowed to calm down for at least 5 min, and then the sample was read.
Effect of sinapine on RAAS
The renin-angiotensin system (RAAS) is dominant in regulating blood pressure. Activation of the RAAS system has been considered the leading cause of hypertension. Immediately after the last blood pressure was recorded in Sect. "Preparation of sinapine chloride", the animals were anesthetized as described in Sect. "Acute antihypertensive effect of sinapine", and blood samples were collected from the abdominal vein and centrifuged at 3000 rpm for 10 min. Serum renin, angiotensin I (Ang I), angiotensin II (Ang II) and aldosterone (ALD) concentrations, as well as angiotensin-converting enzyme (ACE) activity, were determined using ELISA kits (Nanjing Jiancheng Bioengineering Institute) via a sample volume of 10 serum samples obtained from each group (SHAM, 2K1C, 2K1C-sinapine), with 25–50 µl of serum from each index test.
Effect of sinapine on vascular endothelial factors
Blood samples were collected as described in Sect. "Effect of sinapine on RAAS". The ELISA kit manufacturer’s instructions (Nanjing Jiancheng Bioengineering Institute) were followed to detect the vascular prostacyclin (PGI2), platelet-derived thromboxane A2 (TXA2), endothelin-1 (ET-1), and nitric oxide (NO) levels in serum.
Effect of sinapine on Ca2+ channels and K+ channels in the A10 cell membrane
The A10 cell (Cat. No.: CP-R076, Wuhan Pricella Biotechnology Co., China) was derived from the thoracic aorta of embryonic rats and is a commonly used model of vascular smooth muscle cells (VSMCs)18,19,20,21. This test uses A10 cells to study the effect of sinapine on the Ca2+ channel and K+ channel of rat vascular smooth muscle cells. L-type calcium channel current recording: A10 cells were clamped to inactivate sodium and T-type calcium channels; the L-type calcium channel current was obtained. Sinapine (30 µg/ml) was added to the reaction system, and the peak value of the L-calcium channel current in A10 cells was calculated. Kv channel recording method: After clamping the A10 cell, the specific K-ca channel blocker tetraethylammonium (TEA) is added when the K-ca current is suppressed by the TEA, leaving only the Kv current. CaCl2 in the cell bath was replaced with equimolar MgCl2. Under this condition, the recorded current is the Kv current. Sinapine (30ug/ml) was added to the reaction system. The inhibition rate of sinapine on the peak value of the Kv channel was calculated.
Statistical analysis
Data analysis was performed using the statistical software SPSS 23.0. The results are expressed as the mean ± SEM (\(\:\stackrel{-}{x}\) ± s). A paired t test was used to compare blood pressure before and after the administration of sinapine to assess its acute antihypertensive effect. One-way analysis of variance (ANOVA) was employed for other tests. P < 0.05 was considered significant.
Results
Sample characterization
We obtained a light yellow powder in Sect. "Preparation of sinapine chloride"; the melting point ranged from 188 ~ 190 ℃. The positive reaction of bismuth potassium iodide suggests that it is an alkaloid compound; the ferric chloride reaction has no color, indicating that chlorine type 717 is negative. IR: 3 465 cm -1, 2 927 cm -1, 1 707 cm -1, UV: λH2O max = 326 nm. 1 H-NMR (500 MHz, CD3OD) shows δ 7.68 (1 H, d, J = 16. 0 Hz), 6. 94 (2 H, s), 6. 44 (1 H, d, J = 16. 0 Hz), 3.88 (6 H, s), 3.28 (9 H, s), δ 4.68 (2 H, m), 3.80 (2 H, m) proton signals. 13 C-NMR (125 MHz, CD3OD) shows δ 167.9, 149.5, 140.1, 126.4, 107.3, 66.4, 58.8 carbon signals. Based on the hydrogen, carbon spectrum, and HPLC results, the compound from 2.1 was identified as sinapine chloride (Fig. 2).
Effect of the acute antihypertensive effect of sinapine on 2K1C hypertensive rats
Administering saline in the SHAM and 2K1C groups did not cause blood pressure changes (Fig. 3A). At the same time, administering sinapine to 2K1C rats caused an immediate and remarkable reduction in SBP, DBP, and MBP (Fig. 3B, C and D). After administering 3.0 mg/kg sinapine, the MBP of 2K1C rats decreased from 138.24 ± 5.15 to 107.68 ± 9.14 (Fig. 3D). The antihypertensive effect of sinapine is long-lasting and stable. SBP, DBP, and MBP did not return to baseline during the 90-minute continuous observation period (Fig. 3A).
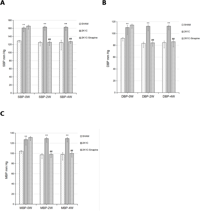
The antihypertensive effect in 2K1C rats after long-term administration of sinapine
At 0 weeks (Fig. 4), compared with SHAM rats, rats in the 2K1C and 2K1C-sinapine groups had higher SBP, DBP, and MBP. There was no significant difference in BP between the 2K1C group and the 2K1C-sinapine group at 0 weeks. However, BP significantly differed between the SHAM and 2K1C groups in the following two and four weeks (p < 0.01). Compared with the 2K1C group, 2K1C-sinapine rats’ SBP, DBP, and MBP significantly decreased at two and four weeks (p < 0.01).
Effect of sinapine on SBP in hypertensive rats for four weeks (A). Effect of sinapine on hypertensive rat DBP for four weeks (B). Effect of sinapine on MBP in hypertensive rats for four weeks (C). *p < 0.05, **p < 0.01, ***p < 0.001 compared with SHAM rats. #p < 0.05, ##p < 0.01, ###p < 0.001 compared to the 2K1C group.
Effect of sinapine on the RAAS in 2K1C hypertensive rats
RAAS is closely related to hypertension; Ang I, Ang II, ALD and ACE have been used as critical biological parameters to evaluate the RAAS22,23,24,25. As illustrated in Fig. 5, Renin, Ang I, Ang II, and ALD in the 2K1C group were markedly increased compared with those in the SHAM group (p < 0.01). At the same time, compared with those in the 2K1C group, the Ang II, ALD and ACE levels in the 2K1C-sinapine group were significantly lower (p < 0.01). Ang I and Ang II showed angiotensin-converting enzyme (ACE) activity.
Effect of sinapine on renin (A). Effect of sinapine on Ang-I (B). Effect of sinapine on Ang-II (C). Effect of sinapine on ALD (D). Effect of sinapine on the ACE inhibition rate (E). Data are expressed as the mean ± standard (\(\:\stackrel{-}{x}\)± s). ns = not significant, *p < 0.05, **p < 0.01, ***p < 0.001 compared to the SHAM group. #p < 0.05, ##p < 0.01, ###p < 0.001 compared to the 2K1C group.
Effect of sinapine on vascular endothelial factor
The effects of sinapine on NO, PGI2, ET-1, and TXA2 levels are shown in Fig. 6. Sinapine administration increased NO levels significantly compared to the 2K1C group (p < 0.01). In the 2K1C and 2K1C-sinapine groups, the TXA2 levels were higher than those in the SHAM group (Fig. 6C). The levels of ET-1 and PGI2 in the serum of the experimental animals showed no difference between each group.
Effect of sinapine on NO(A). Effect of sinapine on ET-1 (B). Effect of sinapine on TXA2 (C). Effect of sinapine on PGI2 (D). Data are expressed as the mean ± standard (\(\:\stackrel{-}{x}\)± s). ns = not significant, *p < 0.05, **p < 0.01, ***p < 0.001 compared to the SHAM group. #p < 0.05, ##p < 0.01, ###p < 0.001 compared to the 2K1C group.
Effect of sinapine on Ca2+ channels and K+ channels in the cell membrane
Figure 7 shows that the L-type calcium channel’s peak current was significantly decreased after administration of 30 µg/ml sinapine, and the inhibition rate of the peak current of the calcium channel was 93 ± 2%. Over time, the effect of the calcium channel current stabilizes. The K+ channel currents of the A10 cell membrane were recorded before and after the administration of sinapine. There was no noticeable change in the administration’s peak current and current track of the K+ channel.
Discussion
Approximately 75 to 80% of the world’s population uses herbal medicines because they are better accepted by the human body and cause fewer side effects26,27. In the last three decades, many concerted efforts have been channeled into researching plants with hypotensive and antihypertensive therapeutic values. The hypotensive and antihypertensive effects of some of these medicinal plants have been validated. However, ayurvedic knowledge needs to be coupled with modern medicine, and more scientific research needs to be done to verify the effectiveness and elucidate the safety profile of such herbal remedies for their antihypertensive potential. Previous studies have examined the antihypertensive effects of sinapine in the SHR model, which widely simulates human essential hypertension with similar pathophysiological characteristics and genetic backgrounds. In contrast, the 2K1C model was chosen for the current study based on the following considerations: the 2K1C model simulates secondary hypertension (renal vascular hypertension) in humans, which has a different pathophysiological mechanism than that of the SHR model. A previous study on SHRs preliminarily determined the antihypertensive effect of sinapine on essential hypertension. In contrast, the aim of the present study was to further investigate the impact of sinapine in different hypertension models to broaden its application. In addition, in the SHR model experiments, we used gavage administration. We set three drug doses of high, medium, and low (100, 30, and 10 mg/kg) concentrations, which did not involve the study of an antihypertensive mechanism. Compared with previous studies, the present study focused more on investigating the antihypertensive mechanism of sinapine. Through the previous study, we determined the antihypertensive effect of oral sinapine, and we determined the optimal dose (3.0 mg/kg) for the present intravenous drug administration experiment based on the dose administered by gavage. These findings help clarify the antihypertensive effect of sinapine more deeply and provide a more robust experimental basis for future clinical studies. This study separated sinapine from rapeseed meal. We tested the antihypertensive effect of sinapine on 2K1C hypertensive rats and explored the underlying factors.
This study shows that sinapine significantly reduced blood pressure in a model of 2K1C-induced hypertension. The following findings help to explain the underlying role of sinapine in anti-hypertension: (i) sinapine reduces systolic, diastolic, and mean blood pressure immediately after injection; (ii) sinapine suppresses both Ang-II and ALD concentrations in plasma; sinapine can also inhibit ACE activity; (iii) sinapine increases the content of vasodilation factor (NO) in plasma; and sinapine inhibits the L-calcium channel of A10 cells. These findings provide convincing evidence that sinapine alleviates hypertension by regulating the RAAS, improving vasodilation factors, and blocking the L-calcium channel. The antihypertensive effect of sinapine involves multiple pathways.
Sinapine demonstrated a stable blood pressure-lowering effect during the treatment of hypertension. As shown in Fig. 4, sinapine significantly reduced SBP, DBP, and MBP in 2K1C hypertensive rats at both weeks 2 and 4 after administration. The blood pressure-lowering effect was not significantly different between weeks 2 and 4. These findings suggest that sinapine can continuously and stably exert antihypertensive effects without any weakening or rebounding of the antihypertensive effects. This stable antihypertensive effect is significant for the treatment of patients with hypertension, as it helps to reduce the potential risks associated with fluctuations in blood pressure and may improve patient adherence to treatment. In addition, sinapine had the same antihypertensive effect at weeks 2 and 4, suggesting that its antihypertensive effect may not depend on drug accumulation in the body or prolonged administration. Instead, sinapine may achieve its antihypertensive effect by regulating an intrinsic physiological mechanism in the body, which stabilizes after reaching a certain level. This speculation is consistent with our experimental results, and the fact that sinapine had the same effect on blood pressure at weeks 2 and 4 further supports its candidacy as a potential antihypertensive drug.
The two-kidney, one-clip (2K1C) hypertensive model is the RAAS-dependent hypertensive model28,29. The RAAS system is dominant in regulating the water-electrolyte balance and is considered the central management in hypertension22,30. Angiotensin-converting enzyme (ACE) is the most critical regulatory site of the RAAS24,31,32. The primary function of ACE is converting Ang I into Ang II by inactivating bradykinin. Ang II acts on the adrenal cortex, especially the zona pellucida, and then stimulates the release of aldosterone. Aldosterone is a steroid hormone that causes increased sodium absorption and potassium excretion in the distal renal tubules and renal collecting ducts; the result is an increase in blood volume33. IACE inhibitors, such as captopril, enalapril, lisinopril, and temocapril, are widely used in the clinic to treat hypertension34. Blocking or reducing Ang II or ALD decreases blood pressure35. In this case, we discovered that ACE activity was inhibited by the addition of sinapine in a dose-dependent manner. These results suggest that sinapine has an antihypertensive effect through the RAAS.
The impairment of endothelial cells is one of the mechanisms responsible for elevated blood pressure in hypertension36. The imbalance between NO and ET-1 is characteristic of endothelial dysfunction. ET-1 contributes to vasoconstriction, while NO is the principal factor in maintaining vasodilation37. NO decreases the duration of interaction between ET-1 and its receptors37,38. This study has shown that NO was significantly increased in the 2K1C-sinapine group; this indicates that sinapine may play a role in antihypertension by increasing NO levels. Increasing NO levels may play a role in inhibiting ET1 from contracting blood vessels. The balance between PGI2 and its physiological antagonist TXA2 is another essential factor in maintaining cardiovascular homeostasis38; sinapine does not affect the balance between PGI2 and TXA2.
Calcium channel blockers (CCBs) have proven beneficial to cardiovascular (CV) outcomes. L-type voltage-gated calcium channels regulate arterial vascular smooth muscle and blood pressure levels. L-type CCBs are widely used antihypertensive drugs39,40. The primary role of calcium blockers is to lessen the degree of access to calcium in the cytoplasm41. This effect on vascular smooth muscle strength reduces the calcium concentration and reduces contractile activity42. A range of calcium blockers has been used in the management of hypertension. As seen from this study, sinapine blocked the L-type calcium channel at 30 µg/ml, and the inhibition rate of the peak current of the calcium channel was 93 ± 2%. The research results indicate that sinapine is an effective calcium channel blocker.
The above results support that sinapine can be a functional food ingredient.
Data availability
All data relevant to the study are included in the article. In addition, the datasets used and/or analyzed during the current study are available from the corresponding author on reasonable request.
Change history
22 September 2025
A Correction to this paper has been published: https://doi.org/10.1038/s41598-025-20197-1
References
Correa, S., Guerra-Torres, X. E., Waikar, S. S. & Mc Causland, F. R. Serum magnesium, blood pressure, and risk of hypertension and chronic kidney Disease Progression in the CRIC Study. Hypertension 78, 1771–1780. https://doi.org/10.1161/HYPERTENSIONAHA.121.17694 (2021).
Gallo, G., Bianchi, F., Cotugno, M., Volpe, M. & Rubattu, S. Natriuretic peptides, cognitive impairment and dementia: an intriguing pathogenic link with implications in hypertension. J. Clin. Med. 9, 2265. https://doi.org/10.3390/jcm9072265 (2020).
Pan, H., Hibino, M., Kobeissi, E. & Aune, D. Blood pressure, hypertension and the risk of sudden cardiac death: a systematic review and meta-analysis of cohort studies. Eur. J. Epidemiol. 35, 443–454. https://doi.org/10.1007/s10654-019-00593-4 (2020).
Petrea, R. E. et al. Mid to Late Life Hypertension trends and Cerebral Small Vessel Disease in the Framingham Heart Study. Hypertension 76, 707–714. https://doi.org/10.1161/HYPERTENSIONAHA.120.15073 (2020).
Ghafarzadeh, M., Shakarami, A., Yari, F. & Namdari, P. The comparison of side effects of methyldopa, amlodipine, and metoprolol in pregnant women with chronic hypertension. Hypertens. Pregnancy. 39, 314–318. https://doi.org/10.1080/10641955.2020.1766489 (2020).
Carnovale, C. et al. Antihypertensive drugs and brain function: mechanisms underlying therapeutically beneficial and harmful neuropsychiatric effects. Cardiovasc. Res. 119, 647–667. https://doi.org/10.1093/cvr/cvac110 (2023).
Verma, T. et al. Plants used as antihypertensive. Nat. Prod. Bioprospecting. 11, 155–184 (2021).
Aumeeruddy, M. Z. & Mahomoodally, M. F. Traditional herbal therapies for hypertension: a systematic review of global ethnobotanical field studies. South. Afr. J. Bot. 135, 451–464 (2020).
Kamyab, R. et al. Medicinal plants in the treatment of hypertension: a review. Adv. Pharm. Bull. 11, 601–617. https://doi.org/10.34172/apb.2021.090 (2021).
Prado, N. J. et al. Anti-inflammatory, antioxidant, antihypertensive, and antiarrhythmic effect of indole-3-carbinol, a phytochemical derived from cruciferous vegetables. Heliyon 8, e08989. https://doi.org/10.1016/j.heliyon.2022.e08989 (2022).
Connolly, E. L. et al. Glucosinolates from cruciferous vegetables and their potential role in chronic disease: investigating the preclinical and clinical evidence. Front. Pharmacol. 12, 767975 (2021).
Egan, B. M., Kjeldsen, S. E., Grassi, G., Esler, M. & Mancia, G. The global burden of hypertension exceeds 1.4 billion people: should a systolic blood pressure target below 130 become the universal standard? J. Hypertens. 37, 1148–1153 (2019).
Al-Makki, A. et al. Hypertension pharmacological treatment in adults: a World Health Organization Guideline Executive Summary. Hypertension 79, 293–301. https://doi.org/10.1161/HYPERTENSIONAHA.121.18192 (2022).
Chadni, M. et al. Improvement of sinapine extraction from mustard seed meal by application of emerging technologies. Foods 12, 520 (2023).
Yu, P., Ma, Z., Jiang, H., Liu, J. & Li, H. Sinapine thiocyanate alleviates intervertebral disc degeneration by not regulating JAK1/STAT3/NLRP3 signal pathway. Advances in Clinical and Experimental Medicine: Official Organ Wroclaw Medical University (2024).
Yang, Z. et al. Extraction and separation of sinapine from rapeseed cake and the mode of action of melanin production inhibition. Mol. Biol. 54, 911–918 (2020).
Yun, D. et al. Preparation and hypotensive effect of sinapine chloride in spontaneous hypertension rats. J. Shenyang Pharm. Univ. 30, 379–382 (2013).
Gomez Sandoval, Y. H., Levesque, L. O. & Anand-Srivastava, M. B. Contribution of epidermal growth factor receptor transactivation in angiotensin II-induced enhanced expression of Gi protein and proliferation in A10 vascular smooth muscle cells. Can. J. Physiol. Pharmacol. 87, 1037–1045. https://doi.org/10.1139/Y09-089 (2009).
Rao, R. S., Miano, J. M., Olson, E. N. & Seidel, C. L. The A10 cell line: a model for neonatal, neointimal, or differentiated vascular smooth muscle cells? Cardiovasc. Res. 36, 118–126. https://doi.org/10.1016/s0008-6363(97)00156-9 (1997).
Truong, V., Jain, A., Anand-Srivastava, M. B. & Srivastava, A. K. Angiotensin II-induced histone deacetylase 5 phosphorylation, nuclear export, and Egr-1 expression are mediated by Akt pathway in A10 vascular smooth muscle cells. Am. J. Physiol. Heart Circ. Physiol. 320, H1543–H1554. https://doi.org/10.1152/ajpheart.00683.2020 (2021).
Zhang, Y. et al. Effect of lysophosphatidylglycerol on intracellular free ca(2+) concentration in A10 vascular smooth muscle cells. Can. J. Physiol. Pharmacol. 95, 1283–1288. https://doi.org/10.1139/cjpp-2017-0127 (2017).
He, X. et al. The potential role of RAAS-related hsa_circ_0122153 and hsa_circ_0025088 in essential hypertension. Clin. Exp. Hypertens. 43, 715–722. https://doi.org/10.1080/10641963.2021.1945077 (2021).
Helmer, A., Slater, N. & Smithgall, S. A. Review of ACE inhibitors and ARBs in black patients with hypertension. Ann. Pharmacother. 52, 1143–1151. https://doi.org/10.1177/1060028018779082 (2018).
Li, Z., Lindner, D. P., Bishop, N. M. & Cipolla, M. J. ACE (angiotensin-Converting enzyme) inhibition reverses vasoconstriction and impaired dilation of Pial collaterals in Chronic Hypertension. Hypertension 76, 226–235. https://doi.org/10.1161/HYPERTENSIONAHA.119.14315 (2020).
Qian, B. et al. Design and evaluation of four novel tripeptides as potent angiotensin converting enzyme (ACE) inhibitors with anti-hypertension activity. Peptides 122, 170171 (2019).
Battistoni, A. et al. Antihypertensive drugs and the risk of cancer: a critical review of available evidence and perspective. J. Hypertens. 38, 1005–1015. https://doi.org/10.1097/HJH.0000000000002379 (2020).
Langerhuizen, D. W. G., Verweij, L. P. E., van der Wouden, J. C., Kerkhoffs, G. & Janssen, S. J. Antihypertensive drugs demonstrate varying levels of hip fracture risk: a systematic review and meta-analysis. Injury 53, 1098–1107. https://doi.org/10.1016/j.injury.2021.09.036 (2022).
Alawi, L. F. et al. Effects of Angiotensin II type 1A receptor on ACE2, Neprilysin and KIM-1 in two kidney one clip (2K1C) model of Renovascular Hypertension. Front. Pharmacol. 11, 602985. https://doi.org/10.3389/fphar.2020.602985 (2020).
Moreno, K. G. T. et al. A New Approach for the development of multiple Cardiovascular risk factors in two rat models of hypertension. Pharmaceuticals (Basel). 15, 853. https://doi.org/10.3390/ph15070853 (2022).
Ghatage, T., Goyal, S. G., Dhar, A. & Bhat, A. Novel therapeutics for the treatment of hypertension and its associated complications: peptide- and nonpeptide-based strategies. Hypertens. Res. 44, 740–755. https://doi.org/10.1038/s41440-021-00643-z (2021).
Beyerstedt, S., Casaro, E. B. & Rangel, E. B. COVID-19: angiotensin-converting enzyme 2 (ACE2) expression and tissue susceptibility to SARS-CoV-2 infection. Eur. J. Clin. Microbiol. Infect. Dis. 40, 905–919. https://doi.org/10.1007/s10096-020-04138-6 (2021).
Elshafei, A., Khidr, E. G., El-Husseiny, A. A. & Gomaa, M. H. RAAS, ACE2 and COVID-19; a mechanistic review. Saudi J. Biol. Sci. 28, 6465–6470. https://doi.org/10.1016/j.sjbs.2021.07.003 (2021).
Tsilosani, A., Gao, C. & Zhang, W. Aldosterone-Regulated Sodium Transport and Blood pressure. Front. Physiol. 13, 770375. https://doi.org/10.3389/fphys.2022.770375 (2022).
Wang, G. M., Li, L. J., Tang, W. L. & Wright, J. M. Renin inhibitors versus angiotensin converting enzyme (ACE) inhibitors for primary hypertension. Cochrane Database Syst. Rev. 10, CD012569. https://doi.org/10.1002/14651858.CD012569.pub2 (2020).
Zhao, M. et al. Efficacy and safety of dual vs single renin-angiotensin-aldosterone system blockade in chronic kidney disease: an updated meta-analysis of randomized controlled trials. Med. (Baltim). 100, e26544. https://doi.org/10.1097/MD.0000000000026544 (2021).
36 Feng, X. et al. New views on endothelial dysfunction in gestational hypertension and potential therapy targets. Drug Discov Today. 26, 1420–1436. https://doi.org/10.1016/j.drudis.2021.03.001 (2021).
Kostov, K. The causal relationship between endothelin-1 and hypertension: focusing on endothelial dysfunction, arterial stiffness, vascular remodeling, and blood pressure regulation. Life 11, 986 (2021).
Genovesi, S. et al. Relationship between endothelin and nitric oxide pathways in the onset and maintenance of hypertension in children and adolescents. Pediatr. Nephrol. 37, 537–545 (2022).
Chakraborty, R. N., Langade, D., More, S., Revandkar, V. & Birla, A. Efficacy of Cilnidipine (L/N-type Calcium Channel Blocker) in treatment of hypertension: a Meta-analysis of Randomized and non-randomized controlled trials. Cureus 13, e19822. https://doi.org/10.7759/cureus.19822 (2021).
Srivathsan, M. et al. Renal function in hypertensive patients receiving cilnidipine and L-Type Calcium Channel blockers: a Meta-analysis of Randomized Controlled and Retrospective studies. Cureus 14, e27847. https://doi.org/10.7759/cureus.27847 (2022).
Melnik, M. V., Afonicheva, I. I. & Beloborodova, A. V. [the Role Pleiotropic effects of Calcium Channel Blocker Lercanidipine in Perioperative Therapy of arterial hypertension]. Anesteziol. Reanimatol. 61, 395–398 (2016).
Godfraind, T. Calcium channel blockers in cardiovascular pharmacotherapy. J. Cardiovasc. Pharmacol. Ther. 19, 501–515. https://doi.org/10.1177/1074248414530508 (2014).
Acknowledgements
J.C. was funded by the Spanish Ministry of Science, Innovation and Universities (MCIN/AEI/10.13039/501100011033) and the European Union NextGenerationEU/PRTR (Juan de la Cierva Scheme: JDC2022-049684-I). I.B. was funded by the Spanish Ministry of Science and Innovation (MCIN/AEI/10.13039/501100011033) and the European Union NextgenerationEU/PRTR (Ramón y Cajal Scheme: RYC2021-034546-I), and J.M. was funded by the European Union-Next Generation EU Funds (University of Murcia, Margarita Salas Scheme 181/MSJD/22). The authors also acknowledge the support from the Ministry of Science and Innovation, Spain (Grant: PID2020-113320RB-I00); the Catalan Agency for the Management of University and Research Grants, Regional Government of Catalonia, Spain (Grant: 2017-SGR-1229 and 2021-SGR-00900); and the Catalan Institution for Research and Advanced Studies, Spain (ICREA). The authors thank the Servei de Granges i Camps Experimentals of the Universitat Autònoma de Barcelona for their technical assistance during the development of this study.
Author information
Authors and Affiliations
Contributions
Huiguo Wang: Methodology, Project administration, Funding acquisition, Writing – original draft.Gaoyuan Yang: Animal modeling and drug administration, experimental sample collection and processing, data statistics, and completion of the first draft.Lin Zhu: Investigation, Formal analysis, Writing – original draft.Yu Wang: Animal modeling, manuscript revision/improvement.Baomin Feng: Data curation, Formal analysis, Writing – original draft.Yang Yu: Animal modeling and drug delivery.Xiaoguang Liu: Animal blood collection and molecular biology experiments.Jingbo Xia: Responsible for ion channel experiments.Yunjie Yang: Experimental animal modeling and blood specimen collection.
Corresponding authors
Ethics declarations
Competing interests
The authors declare no competing interests.
Institutional review board statement
All animal experiments in this study were performed in accordance with the UK Animals (Scientific Procedures) Act (1986) and ARRIVE guidelines, and the Institutional Animal Care and Use Committee of DALIAN University approved all procedures performed on animals.
Additional information
Publisher’s note
Springer Nature remains neutral with regard to jurisdictional claims in published maps and institutional affiliations.
The original online version of this Article was revised: In the original version of this Article, the Acknowledgements section was incomplete. Full information regarding the correction made can be found in the correction for this Article.
Rights and permissions
Open Access This article is licensed under a Creative Commons Attribution-NonCommercial-NoDerivatives 4.0 International License, which permits any non-commercial use, sharing, distribution and reproduction in any medium or format, as long as you give appropriate credit to the original author(s) and the source, provide a link to the Creative Commons licence, and indicate if you modified the licensed material. You do not have permission under this licence to share adapted material derived from this article or parts of it. The images or other third party material in this article are included in the article’s Creative Commons licence, unless indicated otherwise in a credit line to the material. If material is not included in the article’s Creative Commons licence and your intended use is not permitted by statutory regulation or exceeds the permitted use, you will need to obtain permission directly from the copyright holder. To view a copy of this licence, visit http://creativecommons.org/licenses/by-nc-nd/4.0/.
About this article
Cite this article
Yang, G., Zhu, L., Wang, Y. et al. Antihypertensive effect of sinapine extracted from rapeseed meal in 2K1C hypertensive rats. Sci Rep 15, 4133 (2025). https://doi.org/10.1038/s41598-025-88926-0
Received:
Accepted:
Published:
Version of record:
DOI: https://doi.org/10.1038/s41598-025-88926-0









