Fig. 3
From: A deep learning-driven multi-layered steganographic approach for enhanced data security

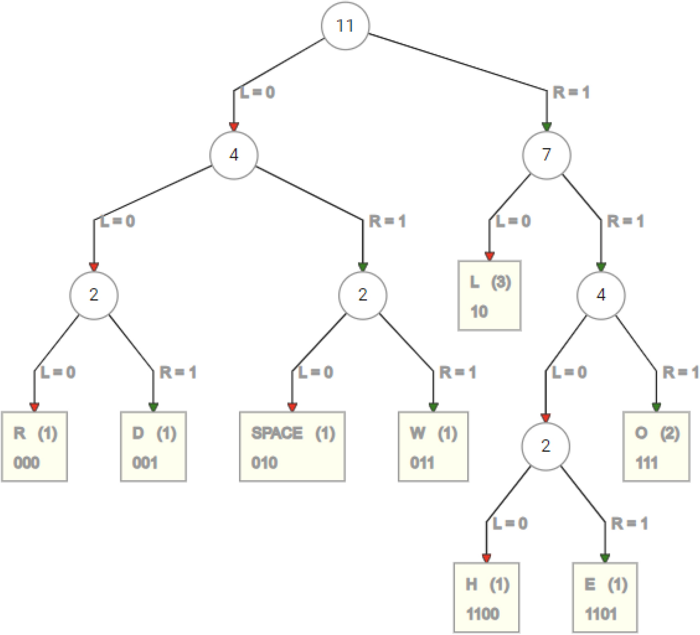
Huffman tree for “Hello world”.
From: A deep learning-driven multi-layered steganographic approach for enhanced data security

Huffman tree for “Hello world”.