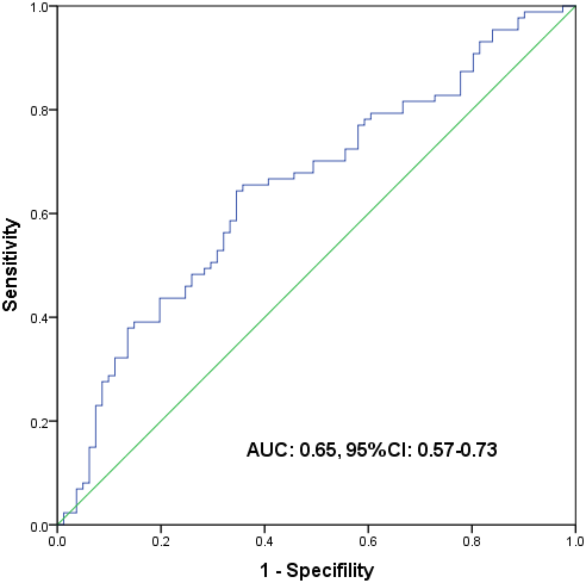
Fig. 4

The receiver operating characteristic curve of the TyG index as a marker to predict high AMR in patients with T2DM and STEMI. TyG triglyceride-glucose, AMR angiography-derived index of microcirculatory resistance, T2DM type 2 diabetes mellitus, STEMI ST-segment elevation myocardial infarction.