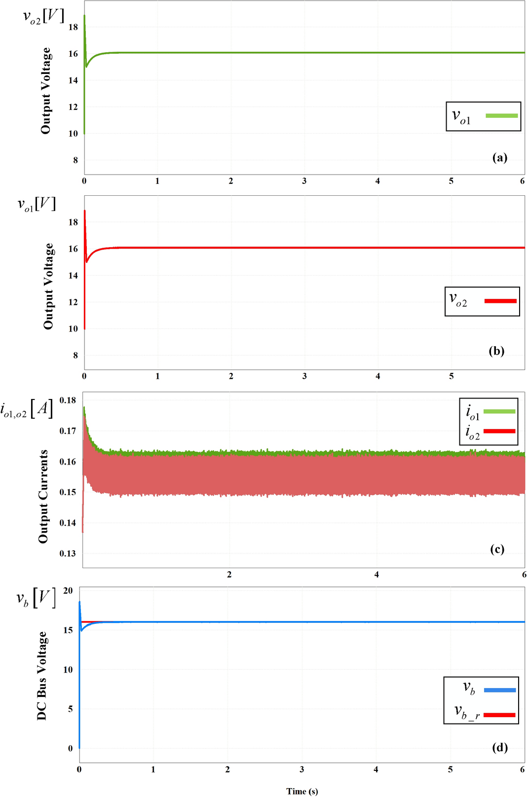
Fig. 12

Closed-loop response of the DC MG with the proposed secondary controller: (a) vo1, (b) vo2, (c) output currents, (d) DC bus voltage.

Closed-loop response of the DC MG with the proposed secondary controller: (a) vo1, (b) vo2, (c) output currents, (d) DC bus voltage.