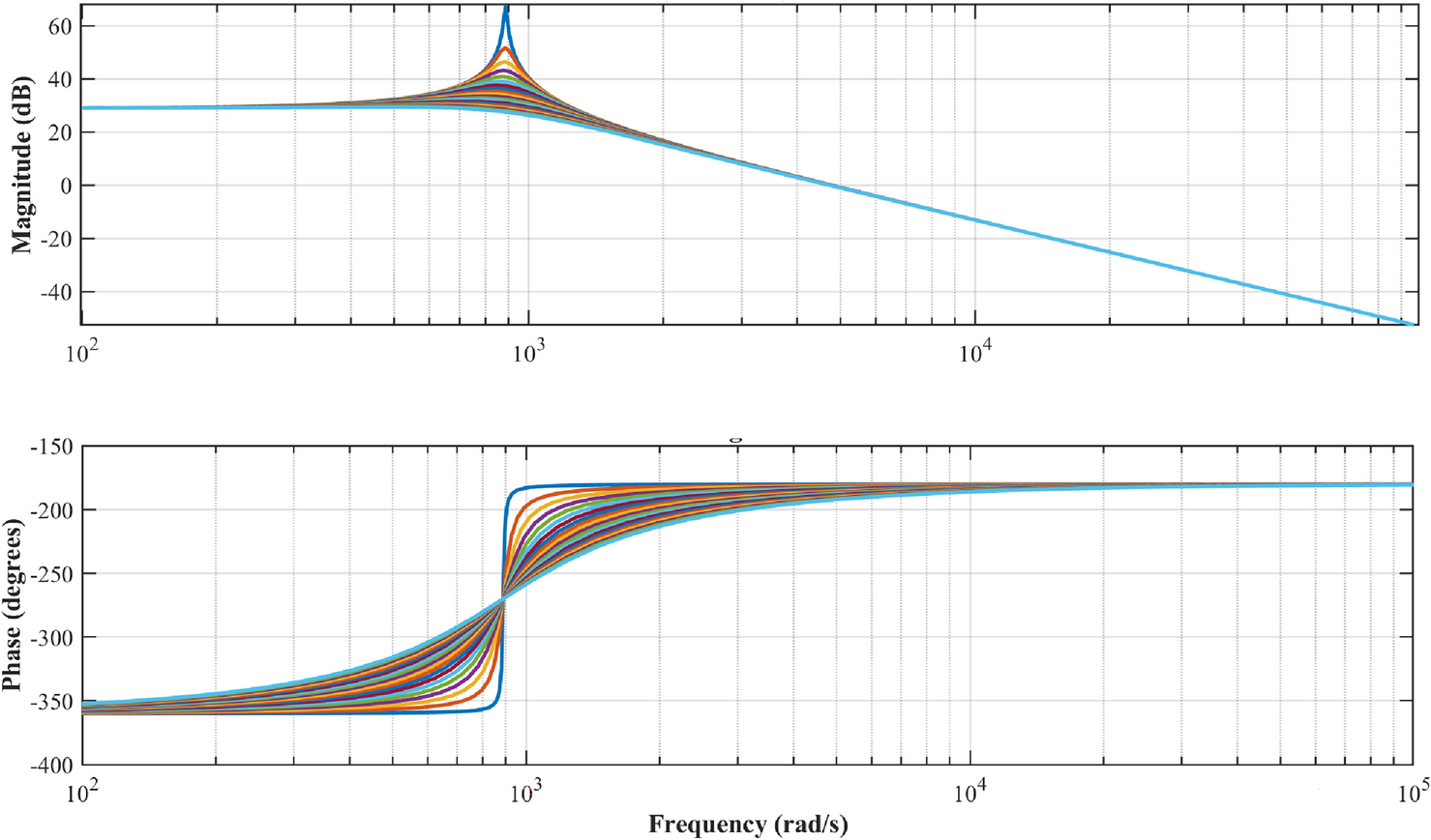
Fig. 3

Bode diagram behaviour of a DC MG feeding a CPL (vin_1,2 = 28 V, C1,2 = 1000 µF, Lo1 = 6 mH, Lo2 = 2.7 mH, Pcpl = 10:10:100 W, d = 0.5, RLine_1 = 1 Ω, RLine_2 = 2 Ω).

Bode diagram behaviour of a DC MG feeding a CPL (vin_1,2 = 28 V, C1,2 = 1000 µF, Lo1 = 6 mH, Lo2 = 2.7 mH, Pcpl = 10:10:100 W, d = 0.5, RLine_1 = 1 Ω, RLine_2 = 2 Ω).