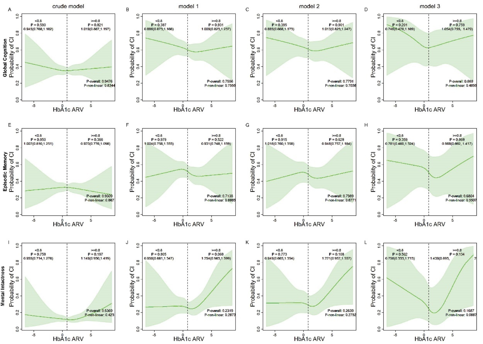
Fig. 4

Association between HbA1c average real variability (ARV) index and probability of cognitive impairment in different cognitive domains across models. Panels (A-D) show associations between HbA1c ARV index and probability of cognitive impairment in global cognition; (E-H) in episodic memory; and (I-L) in mental intactness. The models are as defined in Fig. 2. Green lines indicate estimated probabilities of cognitive impairment, with 95% CIs shaded in light green. P-values for overall association and non-linearity are shown in each panel.