Abstract
The increasing expenses and environmental repercussions associated with phosphorus (P) fertiliser underscore the necessity for precision-managed application methods. These changes affect pastoral systems, where cool-season grasses like perennial ryegrass and meadow fescue form beneficial relationships with Epichloë endophytes. Understanding how fertilisers influence these endophytes, host grasses, and insect pests is crucial, as Epichloë endophytes enhance resistance to some herbivorous insects. This study examined the indirect impact of various P fertiliser regimes on cool-season grasses, which serve as food sources for porina larvae (Wiseana copularis), a significant pasture pest in New Zealand. Endophyte-infected (Epichloë sp. LpTG-3 strain AR37) perennial ryegrass and meadow fescue infected with E. uncinata (strain MaxR (AR1017)), alongside their endophyte-free counterparts were grown in P-enriched soil with varying Olsen P levels (9, 18, 28, and 78 mg/L). Freeze-dried foliage was added to semi-synthetic diets and fed to porina larvae in a no-choice assay. Measurements included diet consumption, porina survival, weight gain. Measurements in foliage included fungal alkaloid concentration, fungal biomass, and plant nutrient levels. Endophyte infection of AR37 and MaxR significantly reduced porina diet consumption, larval weight gain and survival irrespective of soil Olsen P levels to the plant. Loline alkaloid concentration in MaxR-infected herbage increased with increasing soil Olsen P levels while fungal mass remained unchanged. In endophyte-free grasses, porina larvae significantly increased their diet consumption, weight gain and survival as the Olsen P level available to the host plant increased. While endophyte strains AR37 and MaxR continue to protect their hosts under different Olsen P regimes, these results suggest that the improved performance of porina on endophyte-free plants is largely driven by P-induced changes in food quality. Here, we discuss the implications of porina damage in New Zealand pastures in the context of decreasing P availability.
Similar content being viewed by others
Introduction
Effective nutrient management in crops, including pastures, is vital for sustained farming success, soil fertility, and profitability. While New Zealand’s pasture-based farming is cost-effective, fertiliser expenses represent a significant portion of milk and meat production costs1. Phosphorus (P), is an essential macronutrient for plant growth, including in pasture systems, where adequate P fertiliser is essential for optimising grass yield and improving forage quality. However, its widespread use to meet global food demands not only raises environmental and economic concerns2, its effects on herbivorous insects in pasture systems are not well understood. Some studies suggest that fertilisation enhances plant growth, which may increase herbivore performance due to higher plant quality or biomass3,4. Conversely, higher P availability may also reduce insect performance5 demonstrating that interactions among plants, insects, and their environment are complex and influenced by multiple factors. This complexity in pastures is further compounded by the presence of fungal endophytes of the genus Epichloë within cool-season grasses of the Poaceae family. These seed-transmitted asexual Epichloë endophytes can form mutualistic relationships with cool-season grasses including perennial ryegrass (Lolium perenne L.) and meadow fescue (Festuca pratensis Huds.) which naturally host the endophytes, E. festucae var. lolii and E. uncinata respectively6. The endophyte benefits from its host by receiving shelter, nutrients, and a means of transmission. In return, the plant gains protection against biotic stresses, including insects, mammalian herbivores, pathogens, and nematodes, as well as increased resilience to abiotic stresses such as drought and nutrient deficiencies7,8. Plants hosting an asexual Epichloë endophyte gain resistance to some herbivorous insects primarily due to the synthesis of alkaloids with antifeedant and/or toxic properties9. In perennial ryegrass, for instance, Epichloë endophytes can produce three compound classes: ergot alkaloids (e.g., ergovaline), indole diterpenoids (e.g., lolitrem B, epoxyjanthitrems (EJ)), and the pyrrolopyrazine alkaloid peramine. Meadow fescue and tall fescue endophytes produce another compound class called lolines, including N-acetylloline (NAL), N-acetylnorloline (NANL), and N-formylloline (NFL), which are particularly efficient in combating herbivorous insects10,11. All of these alkaloids exert diverse effects on herbivorous insect pests and/or grazing animals. Whereas ergot alkaloids and certain indole diterpenoids in perennial ryegrass affect both ruminants and some insects, pyrrolopyrazine and loline alkaloids have no impact on grazing ruminants12, while still serving as deterrents or even toxins to insect pests6. Perennial ryegrass strain Epichloë LpTG-3 AR37 produces complex EJ alkaloids (epoxyjanthitriol, EJ I, EJ II, EJ III, EJ IV) that provide resistance to porina13,14. Several insect pests are affected by AR37 but the chemical basis for those effects have not been elucidated. AR37 reduces risk to grazing mammals in comparison to the naturally occurring perennial ryegrass endophyte (commonly called NZCT, wild type, standard endophyte)8,15.
Understanding the variability among Epichloë strains, their bioactive alkaloids, distribution within the plant, and their effects on insects, presents an opportunity to selectively choose strains with a favourable chemical profile that address animal health concerns while safeguarding plants against insect pests. Such selected endophytes are employed in pest management strategies within farming systems and turf applications and are identified as an essential component for pasture longevity in various regions of New Zealand6,16. However, environmental changes such as fertiliser input can alter the relationship between Epichloë endophytes and its host grass5. For example, P fertiliser can impact a plant’s synthesis of secondary metabolites, which play important roles as defence mechanisms against herbivores17. Such changes in P levels have the potential to modify the inducibility or effectiveness of chemical defence metabolites, consequently affecting the plant’s resistance to herbivores18. Such impacts on insect resistance might also be observed in commercially available Epichloë strains, such as AR37 and MaxR, which have demonstrated effectiveness against New Zealand’s endemic porina larvae (Wiseana spp., Lepidoptera: Hepialidae). These larvae cause significant damage to both natural and managed pasture ecosystems14,19,20,21,22. The larvae of two out of the seven closely related moth species W. copularis and W. cervinata23 are known pests of cultivated grasses and legumes, particularly in the cooler and lower regions of the North Island and various areas of the South Island23,24,25. The impact of porina on pasture productivity, forage quality, and persistence is estimated to cause a financial loss of NZ$84 M pa26. Porina have one generation per year during which the short lived adult moths do not feed. Adult moths emerge from spring to early autumn depending on the species and female moths can scatter over 3000 eggs/female when flying over pastures26. After hatching, larvae live on the surface initially for approximately 6 weeks before they construct vertical burrows up to 30 cm deep27,28. They can cause considerable damage by either severing grass tillers at the base of the plant or by pulling down low-lying leaves and dragging them into their burrows29. At densities below 40 larvae/m2, porina damage causes pasture production losses while densities above 40 larvae/m2 lead to overgrazing and subsequent plant mortality26. In the field, porina populations are naturally regulated by pathogens30. However, soil cultivation can disrupt these insect-pathogen associations, leading to increased porina populations and subsequent plant damage in pastures aged 2–4 years26.
Although the significance of P fertiliser and Epichloë endophytes for pasture production and persistence is widely recognised, the implications of their interactions for herbivorous insects have not been extensively studied. Soil fertility and nutrient availability not only directly impact plants but also have indirect effects on insect herbivores31,32. For example, variations in nutrient availability to plants can result in suboptimal nutrient content for consumers33. The interactions between insects and fertiliser application often yield contradictory results. Many studies suggest a positive effect of fertiliser applications on insects34,35, while others indicate negative effects36,37, or no effect at all38,39. The majority of studies have focussed on nitrogen (N) as it is generally accepted to be the limiting factor for insect development and plant growth40. Therefore, it is not unexpected that most studies on the response to fertiliser and herbivores in Epichloë infected grasses have also focused on N41,42,43,44. Tall fescue (Lolium arundinaceum Schreb.) Epichloë endophytes can enhance soil nutrient absorption, aiding in low-fertility soil adaptation45,46,47,48,49. It has been shown that in certain plant genotypes, ergot alkaloid concentrations may rise with increased P availability, whereas in others, they might decrease45,50.
The impact of changes in nutrient and alkaloid concentrations in pasture grasses on herbivorous insects has only been hypothesised and little information is available. Understanding how soil nutrient availability alters the interaction between plants and herbivores is needed to determine the impact of reduced nutrient availability on pastures and the ability of the endophyte to protect against herbivorous insect pests. Here, we report on the interactions between porina performance and availability of soil P measured as Olsen P in perennial ryegrass and meadow fescue infected with endophytes. Specifically, we sought answers to the following questions:
-
i)
How do different P fertiliser regimes interact with endophyte-infected perennial ryegrass and meadow fescue to impact the survival and growth of porina larvae?
-
ii)
Is the endophyte able to protect plants grown at different P fertiliser regimes against porina larvae?
-
iii)
Can endophytes protect against porina in a changing environment in which P might be limited?
Material and methods
To compare the effect of P fertiliser on porina performance, a fully randomised no-choice bioassay was conducted where 3rd instar porina larvae were fed with semi-synthetic diets containing freeze-dried foliage. The design consisted of a 2 × 2 × 4 factorial with two pasture species, two endophyte associations, four P environments and 15 replicates (n = 240 experimental units). The 2 × 2 endophyte-grass associations included perennial ryegrass (PR) cultivar Ceres One50 infected with Epichloë LpTG-3 strain AR37 (PR-AR37) and endophyte-free (PR-Nil); meadow fescue (MF) cultivar Oakdon infected with Epichloë uncinata strain MaxR (AR1017, MF-MaxR) and endophyte-free (MF-Nil). The grasses were grown in soil with four Olsen P treatments (target Olsen P values of 9, 18, 28 and 78 mg/L). These Olsen P levels were chosen to represent the range commonly found in New Zealand pasture systems. The study took place over three weeks in January 2024 at the AgResearch Ruakura Agricultural Centre (lat: − 37° 46′ 17.23" S; long: 175° 18′ 22.24" E), Hamilton, New Zealand. The study complies with local and national guidelines and regulations.
Plant material
Seeds were sourced from the Margot Forde Germplasm Centre, AgResearch, Palmerston North. Two hundred seeds per endophyte–grass associations (PR-AR37, PR-Nil, MF-MaxR, MF-Nil) were sown in 12 × 12 plastic propagation trays (40 × 40 × 5 cm), with one seed per plug placed in standard seed raising mix (Daltons™) and germinated under glasshouse conditions. The viable endophyte infection frequency was confirmed at the 6–10 tiller stage using the tissue print immunoblot method51. In this method, grass tillers are cut at the base and lightly pressed onto a nitrocellulose membrane. This transfers fungal proteins onto the membrane, which is then developed using Epichloë-specific antibodies. The antibodies bind to the fungal proteins, and the resulting blots are stained red, indicating the presence of endophyte infection within the tissue. Plants with ambiguous immunoblot results were checked by microscopy of leaf sheath material52. Plants with the appropriate endophyte status were transplanted into pots containing New Plymouth brown loam (39°00′55.8"S 174°11′47.6"E) that had been previously manipulated to achieve different soil Olsen P levels by mixing weighed P fertiliser (Ca2(PO4)2, Sigma Aldrich, USA). Olsen P levels were 9, 18, 28, and 78 mg/L. A soil subsample from each pot was taken and bulked within each Olsen P treatment and analysed for its nutrient content before planting. Further details of the experiment set-up are described in Hewitt, et al.5. Plants were left to establish in a glasshouse for five months and were maintained with regular watering and trimming. At five months plants were retested for endophyte presence using the tissue immunoblot method. The foliage was trimmed into two sections; 10 cm above the soil surface (mainly leaf blade) and soil surface to 10 cm (mainly pseudostems), using sterilised scissors (dipped into 70% ethanol between plants to avoid cross contamination of potential plant diseases), individually bagged, and immediately frozen to −20 °C for subsequent freeze drying and weighing.
Chemical analysis
Endophyte-derived alkaloid concentrations were assessed in the leaf and pseudostems of 20 replicate plants infected with endophyte strains AR37 and MaxR, cultivated across the four Olsen P levels (n = 320 experimental units). Foliage samples were freeze-dried at ambient temperature and under a vacuum of −0.4 mbar (Christ, Alpha 1–2 LDplus, Germany), then ground to a fine powder for 5 min at 1500 rpm to ensure homogeneity (GenoGrinder, HG-600, USA). Epoxyjanthitrems were extracted in the AR37-infected perennial ryegrass plants following the methods described in Popay, et al.53. Epoxyjanthitrems were extracted from 20 mg of ground herbage using a 1:4 water–acetone solution (1 mL) and mixed at 30 rpm for 1 h. Following centrifugation (5 min at 5600 g, Eppendorf, Hamburg, Germany), the extract was shielded from light to maintain stability and analysed using HPLC. Quantification was carried out using a reference standard (N-benzyl-1,8-naphthaleneimide, 5 mg/mL) that had been validated against pure epoxyjanthitrem I. Separation was performed on a Prodigy ODS C18 column (250 × 4.6 mm, 5 µm) with isocratic elution (1:19 water-acetonitrile, 1 mL/min), and detection was achieved using fluorescence (excitation at 333 nm, emission at 385 nm). For the loline analysis of MaxR plants, 50 mg of freeze-dried plant material was weighed into 2 mL screw cap vials and analysed following the method outlined by Ueno, et al.54. Plant material was extracted for 1 h with 50 μL of 40% methanol, 5% ammonia, and 1 mL of 1,2-dichloroethane containing 54.8 ng/mL 4-phenylmorpholine as an internal standard. After centrifugation (8,000 g, 5 min), the supernatant was filtered (10 μm) into glass GC vials. Analysis was performed using a GC-FID (GC2010Plus, Shimadzu, Japan) with a ZB-5 capillary column (30 m × 0.32 mm × 0.25 μm; Phenomenex, USA). The limit of detection for each analyte was determined to be 0.1 µg/g.
Fungal mass in AR37 and MaxR infected leaf and pseudostem was determined by ELISA whereby plates were coated with E. festucae var. lolii antigen and 1% Bovine serum albumin as a blocking agent55. Samples were quantified using standard curves prepared with E. festucae var. lolii endophyte standard. The presence of endophyte in herbage sample extracts was indicated by inhibition of specific E. festucae var. lolii antibodies binding to the coating antigen which was determined using a commercial anti-rabbit-horseradish peroxidase enzyme (HRP) conjugate and tetramethylbenzidine (TMB) substrate for HRP. Curve fits of mean absorbance versus the log of the analyte concentration were performed by a four-parameter curve fit and results were reported as E. festucae var. lolii immunoreactive equivalents (IRE) in µg/mg dry weight.
The foliage was analysed for its nutrient content with four replications per treatment combination (4 × grass-endophyte associations, 4 × Olsen P levels, with four replications equals 64 experimental units). To obtain sufficient plant material (500 mg/sample) each replicate consisted of bulked material from three individual plants (leaf + pseudostem) that were randomly selected. The nutrient content was analysed using a commercial service provider (Hill Laboratories, PWetFeed, tc, BP). Summarising nitrogen and carbon concentrations were determined using the Dumas combustion method (Elementar VarioMAX Combustion Analyzer Microwave), while P, sulphur, boron, and other metals were analysed via ICP-OES from the basic plant digest56.
Porina larval rearing
Twenty-five female porina moths (Wiseana copularis) were collected in December 2023 near Mosgiel, in the South Island of New Zealand, using an incandescent light as an attractant. The species was identified by examining the bursa copulatrix of the female moth24. Moths were housed overnight in 60 mL specimen vials to allow the female moths to lay their eggs. The porina eggs were transported to AgResearch, Ruakura Research Centre, Hamilton, New Zealand, where they underwent surface sterilisation for 2 min using a 1 mL/L copper oxychloride solution57. Following sterilisation, the eggs were placed in Petri dishes lined with moist filter paper (Whatman, grade 3, 9 cm diameter) and left to hatch at 18 °C. The hatched larvae were then transferred into rectangular plastic containers (1000 mL) filled with fine bark chips (Garden Highlights, 15–25 mm). Larvae, 50 per container, were fed weekly with a semi-synthetic diet58. To prepare the diet, 12 g of agar, 0.5 g of sorbic acid, 1 g of methyl-p-hydroxybenzoate, and 300 mL of distilled water were boiled, then cooled to 70 °C. After adding 16 g of powdered brewer’s yeast, 1.6 g of ascorbic acid, and 100 g each of blended white clover and carrot, the mixture was poured into Petri dishes and refrigerated. The diet was cut into small pieces and evenly spread over the surface of the bark. Containers were loosely covered with black plastic and kept at 18 °C with a 16:8 h light: dark regime for 2.5 months.
Semi-synthetic diet
For the porina larval bioassay, foliage leaf and pseudostem samples were bulked according to treatment combinations (80 plants per treatment combination) and ground to a fine powder for 5 min at 1500 rpm to obtain homogenous samples (GenoGrinder, HG-600, USA). This was done to create sufficient plant material to prepare semi-synthetic insect diets. Fresh carrot (218.7 g) was blended with 375 mL of Milli-Q water and then strained through a 1 mm sieve to obtain 328.1 mL of carrot juice. This carrot juice was combined with 5.4 g of agar (Oxoid, Thermo Fisher) and heated in a microwave oven until it reached boiling point. To prevent the agar from setting, the mixture was kept warm in a water bath. Sixteen batches of carrot-agar diet, each weighing 13.5 g, were weighed out separately into warm glass beakers. To each beaker, 1.5 g of bulked ground, freeze-dried grass was added and thoroughly mixed before being poured into a 9 cm Petri dish and smoothed flat. The Petri dishes were then wrapped in tin foil to exclude light and chilled to 4ºC to minimise alkaloid degradation. In this way, diets were prepared weekly for 3 weeks. Plugs (180 mg ± 20 mg) of 6 mm diameter were extracted from the set agar using a cork borer.
Larval bioassay
To compare the effect of the P fertiliser on porina development, a fully randomised no-choice bioassay was set up with the four Olsen P treatments, and four endophyte-host associations with 15 replications each (n = 240 experimental units). Porina larvae (2.5 months old, weighing between 10 and 40 mg) were selected from the 25 parent moths. Each larva was visually inspected for injuries and healthy-looking larvae were weighed and assigned to each replicate across all treatment combinations such that each porina larva across the different replicates had a similar weight (4 decimal points). Larvae were starved overnight before the start of the experiment. Within each replicate, larvae were randomly assigned to a treatment. Individual larvae were placed into plastic specimen containers (70 mL) three-quarters filled with fine bark chips (Garden Highlights, 15–25 mm). Larvae were fed the semi-synthetic diet plugs from each treatment. Diets were changed in each larval container on days 4 and 7 of each week. Diets were stored at 4 °C between changes. Consumption was assessed by measuring the difference in diet weight between changes. Larval weights were recorded at the end of the 3-week trial allowing the calculation of their growth. The bioassay was conducted in a controlled environment (CE) room at 18 °C with a 16:8 h light:dark regime. Specimen containers were placed into polystyrene trays loosely covered with black polythene excluding light to minimise the degradation of fungal alkaloids.
Statistical analysis
Data on diet consumption, weight gain, and survival were analysed using a 3-way analysis of variance (ANOVA) blocked by replicate, with treatment factors plant-endophyte association (MF-Nil, MF-MaxR, PR-Nil, PR-AR37) and Olsen P (9, 18, 28, 78 mg/L). Loline and EJ concentrations and fungal mass were analysed using linear mixed models (LMM), with endophyte/grass association (PR-AR37, MF-MaxR), and Olsen P (and plant part (leaf, pseudostem) as fixed effects. Foliage nutrient content was analysed using unbalanced ANOVA because of an uneven number of replications. Where necessary, all variables were log or square root transformed to ensure variance stabilisation. For data presentation all transformed data were back-transformed. Graphical model validation tools such as residual plots, standardised residuals versus the fitted values, and quantile–quantile plots, were used for the model’s validation. For a graphical presentation of the nutrients in foliage, a principal component analysis (PCA) was performed using the Data integration app59. In all analyses, the significance was assessed by applying a multiple-comparison procedure using Fisher’s protected least significant difference test. All other analyses were carried out using the GenStat 22 statistical software package60. All graphs were generated using SigmaPlot 14.0 (Systat Software Inc.).
Results
Bioassay
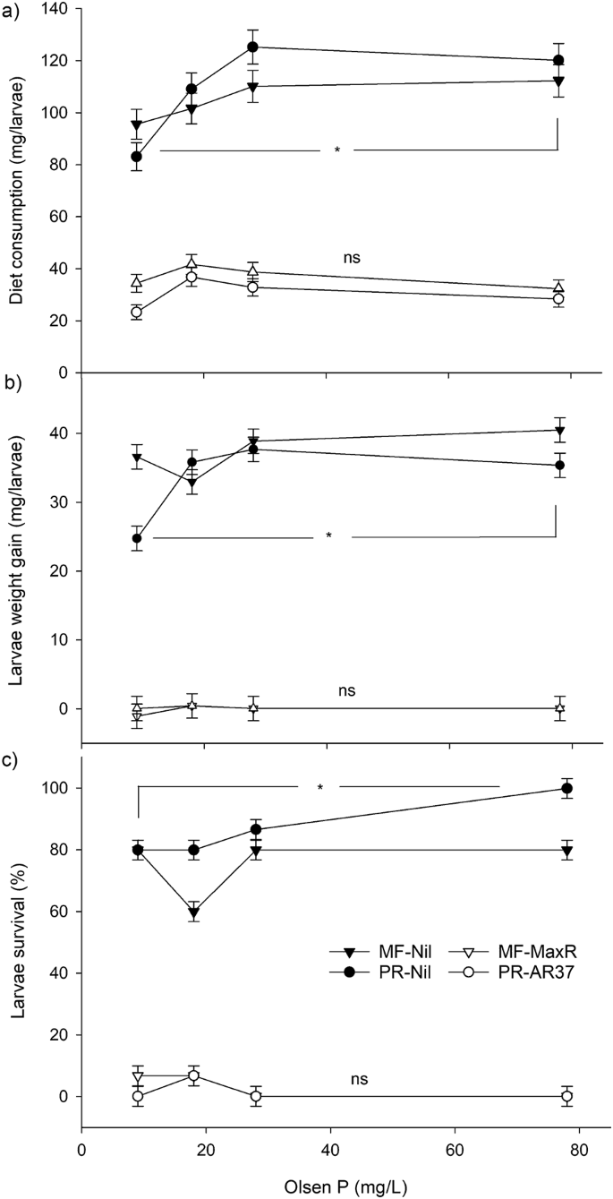
In a significant 3-way interaction, diet consumption, porina weight gain and survival were significantly affected by endophyte status and the availability of soil Olsen P to the host plant (Fig. 1). Porina consumed less diet when feeding on diets containing endophyte strains MaxR and AR37 in comparison to diets containing endophyte-free plant material (F9,1308 = 2.32, P < 0.05, Fig. 1a). In endophyte-free plants (PR-Nil, MF-Nil) porina larvae increased their feeding with increasing Olsen P availability to the host plant (P < 0.05). In PR-Nil, porina larvae fed 20% more on diets containing plant material grown at an Olsen P level of 78 mg/L in comparison to plants grown in soils with an Olsen P level of 9 mg/L (Fig. 1a). Such feeding increase with increasing soil Olsen P was not observed in diets containing endophyte strains MaxR and AR37. Similarly, porina gained significantly more weight when feeding on endophyte-free diets in comparison to their endophyte-infected counterparts (F9,239 = 2.29, P < 0.001, Fig. 1b). In PR-Nil porina gained 43% more weight when feeding on diets containing plant material grown in soil with an Olsen P level of 78 mg/L in comparison to diets containing an Olsen P level of 9 mg/L (Fig. 1b). The presence of endophyte strains MaxR and AR37 resulted in lower survival rates of porina compared to their endophyte-free counterparts (F9, 239 = 5.9, P < 0.001, Fig. 1c) with respective mortality of 75% and 86% compared to their endophyte-free counterparts. Porina survival was not impacted by increasing soil Olsen P in AR37 and MaxR-infected plants. In PR-Nil diets, porina survival was 30% higher when feeding on diets containing plant material grown in Olsen P level of 78 mg/L in comparison to diets containing plant material grown in Olsen P level of 9 mg/L (F9, 239 = 5.9, P < 0.001, Fig. 1c).
Diet consumption (mg/larva) (a), larval weight gain (mg/larva) (b), and larval survival (%) (c) of porina (Wiseana copularis) after a 3-week long bioassay feeding on semi-synthetic diets containing perennial ryegrass foliage infected with Epichloë LpTG-3 strain AR37 (PR-AR37), meadow fescue foliage infected with Epichloë uncinata strain MaxR (MF-MaxR), or endophyte-free (MF-Nil, PR-Nil) in which plants grew in different Olsen P enriched soils (9, 18, 28, 78 mg/L). Error bars represent standard errors of the difference (± 1 SED). Values labelled ns within a panel are not significantly different. Asterisk indicates significance difference between Olsen P level of 9 and 78 at α < 0.05 (Fisher’s protected least significant difference test).
Fungal alkaloids and fungal mass
Loline concentrations (sum of NANL, NFL, NAL) in meadow fescue infected with endophyte strain MaxR and total EJ concentration (sum of epoxyjanthitriol, EJ I, EJ II, EJ III, EJ IV) in perennial ryegrass was higher in pseudostem than in leaf blade (Fig. 2a,c). In MaxR-infected plants, the total loline concentrations in both pseudostem and leaf increased with increasing soil Olsen P levels (F71.5, 11.03 = 3.68, P < 0.05, Fig. 2a). The concentration of total lolines in MaxR infected leaves and pseudostems were respectively 31% and 24% higher in plants grown in Olsen P level of 78 mg/L compared to Olsen P level of 9 mg/L (F71.5, 11.03 = 3.68, P < 0.05). Such an increase was not measured for the EJ concentrations in AR37-infected perennial ryegrass (Fig. 2b). The fungal mass in AR37 and MaxR infected plants did not change in response to soil Olsen P level (Fig. 2b, d).
Total loline concentration (µg/g) (a) and fungal mass (µg/mg) (b) of meadow fescue pseudostem and leaf material infected with Epichloë uncinata strain MaxR and total epoxyjanthitrem concentration (µg/g) (c) and fungal mass (µg/mg) (d) in perennial ryegrass pseudostem and leaf material infected with Epichloë LpTG-3 strain AR37 grown in different Olsen P enriched soils (9, 18, 28, 78 mg/L). Error bars represent standard errors of the difference (± 1 SED). Values with the same letter within a panel are not significantly different at α < 0.05 (Fisher’s protected least significant difference test).
Olsen P decreased the proportion of epoxyjanthitriol to total EJ concentration in AR37-infected perennial ryegrass (F94.1, 28.45 = 9.48, P < 0.001, Fig. 3a) with a 26% reduction from plants grown in Olsen P level of 9 mg/L to plants grown in Olsen P level of 78 mg/L. In contrast, there was a 19% increase in the proportion of EJ II to total EJ between plants grown in Olsen P level of 9 and 78 mg/L (F93.7, 15.7 = 5.23, P < 0.05). Similarly, Olsen P levels increased the ratio of NAL to total lolines in MaxR endophyte-infected foliage with a 20% increase between plants grown in Olsen P level of 9 and 78 mg/L (F77.1, 18.05 = 9.77, P < 0.001, Fig. 3b). In contrast, Olsen P decreased the ratio of NANL to total loline by 10% from Olsen P level of 9 to 78 mg/L (F103.8, 19.57 = 6.52, P < 0.001, Fig. 3b).
Proportion (%) of epoxyjanthitriol and epoxyjanthitrem II to total epoxyjanthitrem concentration in perennial ryegrass infected with Epichloë LpTG-3 strain AR37 (a) and % proportion of NAL and NANL to total loline concentration in meadow fescue infected with Epichloë uncinata strain MaxR (b) grown in different Olsen P enriched soils (9, 18, 28. 78 mg/L). Error bars represent standard errors of the difference (± 1 SED). Values with the same letter within a panel are not significantly different at α < 0.05 (Fisher’s protected least significant difference test).
Nutrients
The foliage P and total carbon concentration in both perennial ryegrass and meadow fescue showed a positive relationship with soil Olsen P (Table 1). In contrast, the concentration of several other elements including N, K and Ca showed a negative relationship with increasing Olsen P levels in the growing medium (Table 1).
The presence of AR37 endophyte infection in perennial ryegrass had a notable impact on P concentrations, with higher levels measured in AR37-infected plants compared to endophyte-free plants (F3,31 = 5.24, P < 0.05). Such difference was not measured in endophyte-infected meadow fescue.
The PCA correlation structure of the traits is indicated by the directional vectors in the biplots (Fig. 4). The first (PC1) and second (PC2) principal components of the PCA explained 53.5% (PC1 = 33.9%; PC2 = 19.6%) of the variation in the data. The plot in Fig. 4a is separated by varying soil Olsen P levels and Fig. 4b is the same plot separated by Epichloë-host grass associations. PC1 separated the P soil fertility treatment where an Olsen P level of 78 mg/L (green) was on the negative side of PC1, and a low P Olsen P level of 9 mg/L (blue) was on the positive side (Fig. 4a). This signified PC1 as the “plant growth” axis, characterised by several important plant nutrients such as P, total carbon and N. Nitrogen and potassium content in the foliage decreased with increasing Olsen P levels. On the other hand, foliage P and total carbon concentrations increased with increasing Olsen P levels. The PC2 axis is classified as the host plant axis with a clear separation between meadow fescue (MF) and perennial ryegrass (PR)(Fig. 4b).
Biplot of a principal component analysis (PCA) of foliage (leaf + pseudostem) nutrients of perennial ryegrass (PR) and meadow fescue (MF) plants as a function (a) of growth in different Olsen P-enriched soils (9, 18, 28, 78 mg/L) and (b) of PR infection with Epichloë pTG-3 strain AR37 (PR-AR37) and MF infection with Epichloë uncinata strain MaxR (MF-MaxR), as well as grown endophyte-free (MF-Nil, PR-Nil).
Discussion
This study has established a link between the indirect effect of soil Olsen P and associated changes in plant nutrient content, fungal endophytes, alkaloid production and native insect herbivory in high-value forage grasses. Phosphate concentration in soil, as measured by Olsen P, was positively related to porina diet consumption. Consequently, porina performed better when feeding on plant material grown in a high Olsen P environment. It is widely acknowledged that P fertilisers enhance photosynthesis in plants and physiological processes which leads to increased growth, higher protein content, and greater biomass61. It is also known that managing soil fertility can mediate the chemical composition of plants and their susceptibility to insect pests62. In our study, high soil Olsen P levels in endophyte-free perennial ryegrass and meadow fescue enhanced the porina weight gain and survival. Our study confirms that higher P levels in the soil generally lead to higher P concentrations in plant tissues, thereby making them potentially more nutritious for herbivorous insects63,64. While P concentration in plant tissue increases with increasing P fertiliser input, the concentration of N decreases with increasing P fertiliser averaging a 60% decrease from an Olsen P level of 9 mg/L to an Olsen P level of 78 mg/L. The reduction in N levels in the current study can be associated with the growth enhancement observed in high P plants5. In such cases, the plant utilises plant-available P (as measured in Olsen P), leading to a nutrient imbalance where N may become the limiting factor. Despite N often being reported to be the limiting factor for insect growth65,66, porina fitness peaked in high P plants where N was the lowest.
Certain nutrients, such as P and N, are crucial for insect development. For instance, holometabolous insects that undergo a complete metamorphosis, generally have greater P requirements compared to hemimetabolous insects67. This difference is likely attributed to the necessity of P-rich molecules, such as ribosomal RNA (rRNA), that are essential for growth. Consequently, these distinct P demands are expected to elicit varying responses to nutrient enrichment in different insect groups. Porina, a holometabolous insect, likely utilised higher P foliage concentrations leading to improved overall fitness in high P plants. This indirect influence of P fertiliser supports the ‘plant vigour’ hypothesis, which suggests that plants grown in nutrient-rich soils produce a high-quality biomass that attracts and benefits insect herbivores68,69. These benefits enhance food consumption, weight gain and survival69,70. However, the scientific literature on how fertilisers influence insect performance is inconsistent. For example, some studies including ours, suggest a positive effect38,71, others, no effect5,72,73, and some suggest a negative effect5,72,73. We believe that this inconsistency might be due to whether the insects were directly or indirectly exposed to the fertiliser. For example, in our study which showed a positive response in their growth patterns, porina caterpillars consumed P-enriched diets without any direct contact with the fertiliser. In contrast, Wang, et al.72 showed that wolf spiders (Pardosa pseudoannulata) responded negatively to P fertiliser incorporated into the soil, with higher mortality and lower reproduction immediately after adding the fertiliser72. Similarly, Hewitt, et al.5 showed that grass grubs (Costelytra giveni) performed worse when exposed to plants grown in the direct presence of P fertiliser. This direct impact contrasts with our study where the porina only encountered P in their herbivorous diet. Therefore, it is important to consider different mechanisms of exposure, whether through direct contact or dietary intake, when assessing the effects of fertiliser on herbivorous insects.
While porina feeding on diets containing endophyte-free plants exhibited increased fitness (weight gain and survival) when feeding on plants grown in rising soil Olsen P levels, this response was not observed in plants hosting Epichloë endophytes. Certain endophytes, such as MaxR and AR37, confer resistance against herbivores through the production of secondary metabolites20,21,22. This study shows that regardless of the soil Olsen P levels used to grow the plants, endophyte infection sustained suppression of porina fitness in perennial ryegrass infected with AR37 and meadow fescue infected with MaxR. This highlights the efficacy of endophyte infection in providing herbivore resistance, irrespective of variations in soil nutrient levels and their linked plant nutrient compositions.
Phosphorus fertiliser can influence the synthesis of secondary metabolites in plants, which are essential for defending against herbivores, potentially altering the plant’s resistance to herbivore damage17,18. To the author’s knowledge, this study is the first to measure a response of loline concentration to P fertilisation of endophyte-infected plants. The results indicate a positive correlation between foliage alkaloid concentrations and increasing soil Olsen P levels, while fungal mass concentrations remain constant. These results add new knowledge to previous research in which loline concentrations in endophyte-infected perennial ryegrass roots decreased with increasing soil Olsen P levels5. The decrease in alkaloid levels observed with increasing soil Olsen P levels was attributed to a mismatch between increased root growth and alkaloid translocation into the roots, resulting in a dilution effect in plants grown in high Olsen P environments5 (Fig. 5). The prevailing understanding suggests that when soil Olsen P levels trigger increased above-ground foliage production, only a portion of excess alkaloids is transported to the root tissue. This partial translocation may be due to limitations in the plant’s ability to efficiently channel higher alkaloid concentrations into the roots. Additionally, the lipophilic nature of certain alkaloids, such as EJs, hinders their water solubility and thus their movement across different plant parts74. These factors contribute to the complex distribution of alkaloids within plants, impacting their ecological performance. However, while this dilution and translocation effect may apply to root tissue, where fungal hyphae are absent, the concentrations of alkaloids in above-ground tissue are likely influenced by a different unknown mechanism.
Total epoxyjanthitrem concentration (µg/g) in (a) foliage and (b) roots in perennial ryegrass infected with Epichloë LpTG-3 strain AR37 and total loline concentration (µg/g) in (c) foliage and (d) roots in meadow fescue infected with Epichloë uncinata strain MaxR grown in different Olsen P enriched soils (9, 18, 28, 78 mg/L). Error bars represent standard errors of the difference (± 1 SED). Root illustrations were modified from Hewitt, et al.5. Values with the same letter within each graph are not significantly different at α < 0.05 (Fisher’s protected least significant difference test).
Most studies on Epichloë endophyte-related responses to fertiliser and insects have focused on N since this element is an important constituent of fungal alkaloids42,75,76,77. The availability of soil N resources has been identified as a crucial factor that could modulate the effects of endophytes on host plant growth and the benefits conferred by fungal endophytes in protecting host plants against herbivores41,75,78. For example, N fertilisation resulted in a decrease in endophyte DNA, driven by nitrogen’s promotion of tillering and the initiation of more tillers lacking endophyte76. This reduction led to a dilution of fungal alkaloids in perennial ryegrass76, contrasting with the results from this study where fungal mass remained stable with different soil Olsen P levels while loline concentration increased. This may indicate different, non-linear responses of plants and fungi to nutrients or an interaction between soil and other environmental factors. However, a comprehensive understanding of how other key soil elements such as P influence plant and endophyte responses is poor. Epichloë endophytes have been connected to enhanced resilience against low P stress by managing the regulation of diverse metabolites and amino acid concentrations47. The availability of P has been proposed to affect the production of ergot alkaloids in endophyte-infected grasses, with high soil P levels potentially inhibiting the activity of the initial enzyme in the biosynthesis pathway79,80,81. Therefore, it may be expected that high P environments may decrease the effectiveness of ergot alkaloid defence compounds produced by certain endophyte strains. This was observed in a field study where P fertilisation increased native caterpillar (Paracles vulpina) density which was linked to a decrease in ergovaline production in endophyte-infected tall fescue50. In contrast to ergot alkaloids, this study showed increasing loline concentrations with increasing soil Olsen P levels indicating that high P environments would lead to increased effectiveness against herbivores.
Given the positive correlation between above-ground plant growth5and loline production measured in this study, we hypothesise that environments with higher soil P levels may induce a synchronised increase in metabolic activity in both plant and endophyte, which provides greater availability of precursors for loline production (e.g., L-proline and O-acetyl-L-homoserine), resulting in elevated loline concentrations without a requisite increase in the concentration of fungal biomass. These results are supported by previous studies which have shown that loline production is limited by the availability of precursors82. However, this hypothesis does not appear to apply to EJ concentrations, as they do not vary with increasing soil Olsen P levels. The underlying mechanism for this discrepancy remains to be investigated.
Furthermore, the proportion of epoxyjanthitriol to total EJ, as well as EJ II to total EJ, are influenced by changes in soil Olsen P levels. Specifically, epoxyjanthitriol decreases with increasing Olsen P levels, while the ratio of EJ II to total EJ increases. Similarly, the ratio of NAL decreases with increasing Olsen P. It may be that the increase of NAL with increasing soil Olsen P levels is due to the higher availability of plant enzymes that are required for the biosynthetic pathway from NANL to NAL83. Phosphorus availability may trigger metabolic adjustments within Epichloë endophytes. Changes in P availability can influence gene expression and metabolic pathways in fungi, potentially leading to alterations in nutrient acquisition, energy metabolism, or secondary metabolite production47. Alkaloids are affected by seasonal changes such as temperature13as well as other environmental conditions such as drought84. It is interesting to note that soil nutrient status can influence the relative abundance of specific alkaloid compounds, like lolines and EJ, albeit with relatively small fluctuations (approximately 5%). However, the prevailing view is that overall alkaloid concentrations are the primary determinant of herbivore feeding behaviour, rather than minor variations in individual compound proportions.
Pastoral farming application
Controlling porina in pastures poses economic challenges, particularly when dealing with large areas. A sustainable approach to porina management requires a combination of control strategies. The current primary method for controlling porina is through targeted applications of diflubenzuron, an insect hormone inhibitor that prevents larval moulting. While chemical control with diflubenzuron is relatively cheap at NZ$4.50/ha plus application cost85, it needs to be applied shortly before larvae moult. Therefore, optimal control using diflubenzuron requires a biological understanding of porina development86. Farmers often prefer organophosphate insecticides over diflubenzuron due to their simpler application requirements. Organophosphates, however, have broader environmental impacts affecting non-target insect species and increased safety risks to humans. As of now, there are no biological insecticides available against porina. However, research has shown promising results with the bacterium Yersinia entomophagaas a biological control agent87. Another control method is mechanical control. Porina inflicts the most significant damage during winter when pasture growth is limited. However, before reaching this stage, porina survival can be diminished by up to 70% through heavy grazing by livestock when larvae are young and situated near the surface in late summer26. Furthermore, incorporating other pasture species like cocksfoot, tall fescue, and lucerne can aid in pest control due to their tolerance to porina feeding26.
The availability of nutrients in the soil not only influences the extent of damage inflicted on plants by phytophagous insects but also impacts the plant’s ability to recover from herbivore injury88. The study’s findings indicating lower porina survival rates in a low soil Olsen P environment, suggest that porina are unlikely to cause further damage to pastures if P resources are diminishing and becoming less readily available. In New Zealand, the target Olsen P level for pastures can vary, although an Olsen P level of 20–30 mg/L is considered best for economic return89. On the contrary, it may be that P-fertilised pasture may increase porina performance in endophyte-free pastures, or in pastures infected with a non-loline/ EJ -producing endophyte strain. However, it is noteworthy that when soil nutrient levels are higher, plants are more likely to recover from herbivory. This is because increased nutrient availability accelerates the plant’s growth rate and facilitates easier recovery from injuries. This was observed in a glasshouse trial in which grass grub feeding did not affect pasture production of plants grown in soil containing Olsen P levels of 78 mg/L in comparison to grass grub feeding on plants grown in soil with Olsen P level of 9 mg/L5.
Furthermore, in porina-prone regions, endophyte strains like AR37 in perennial ryegrass or Happe in perennial ryegrass, as well as U2 in Festulolium, provide economic benefits and long-term protection from porina feeding90. These endophytes, through their production of bioactive compounds, contribute to the defence mechanisms of the grasses they inhabit, even in environments with varying P availability. This study confirms that endophyte strains such as AR37 and MaxR reduce porina feeding and hence plant damage20,22. This study also indicates that herbivorous insect feeding is more constrained by fungal endophyte-mediated plant defences rather than directly by P. Lolines are highly effective in reducing insect feeding, even in low concentrations. However, field trials manipulating plant-endophyte associations and soil nutrient levels are necessary since alkaloid concentrations are also highly dependent on environmental conditions42,91 and their associated impact on herbivorous insects.
Conclusion
This study investigated the intricate relationship between the availability of soil Olsen P levels to high-value forage grasses, fungal endophytes, and native insect herbivory. It demonstrated that increased soil Olsen P levels to perennial ryegrass and meadow fescue can enhance porina fitness. However, this response was mitigated in plants hosting loline or EJ-producing Epichloë endophyte strains, which sustained suppression of porina performance regardless of P fertilisation. These findings underscore the efficacy of endophyte infection in providing herbivore resistance, highlighting its importance in pasture management strategies. Furthermore, the study revealed contrasting responses in alkaloid production between endophyte-infected grasses and soil Olsen P availability. While foliage loline concentrations increased with rising Olsen P levels, the mechanism driving this response is not fully understood. This study underscores the importance of considering both plant-endophyte associations and soil fertility management in sustainable pasture management practices and the necessity for continued research to explore the intricate dynamics of plant-endophyte-herbivore interactions in pastoral agroecosystems.
Data availability
The datasets generated during and/or analysed during the current study are available from the corresponding author upon reasonable request.
References
Roberts, A. H. C. & Morton, J. D. Fertiliser use on New Zealand dairy farms: the principles and practice of soil fertility and fertiliser use on New Zealand dairy farms. 1–48 (New Zealand Fertiliser Manufacturers’ Research Association, 2012).
Bindraban, P. S., Dimkpa, C. O. & Pandey, R. Exploring phosphorus fertilizers and fertilization strategies for improved human and environmental health. Biol. Fertil. Soils 56, 299–317. https://doi.org/10.1007/s00374-019-01430-2 (2020).
Zaret, M., Kinkel, L., Borer, E. T. & Seabloom, E. W. Soil nutrients cause threefold increase in pathogen and herbivore impacts on grassland plant biomass. J. Ecol. https://doi.org/10.1111/1365-2745.14111 (2023).
Krauss, J. et al. Effects of fertilizer, fungal endophytes and plant cultivar on the performance of insect herbivores and their natural enemies. Funct. Ecol. 21, 107–116. https://doi.org/10.1111/j.1365-2435.2006.01216.x (2007).
Hewitt, K. G. et al. Phosphorus fertiliser reduces grass grub (Costelytra giveni) fitness in Epichloë endophyte-infected meadow fescue and perennial ryegrass. Pest Manag. Sci. https://doi.org/10.1002/ps.8369 (2024).
Caradus, J. R. Epichloë fungal endophytes–a vital component for perennial ryegrass survival in New Zealand. N Z. J. Agric. Res. https://doi.org/10.1080/00288233.2023.2170426 (2023).
Caradus, J. R., Card, S. D., Hewitt, K. G., Hume, D. E. & Johnson, L. J. Asexual Epichloë Fungi—obligate mutualists. Encyclopedia 1, 1084–1100. https://doi.org/10.3390/encyclopedia1040083 (2021).
Johnson, L. J. et al. The exploitation of epichloae endophytes for agricultural benefit. Fungal Divers. 60, 171–188. https://doi.org/10.1007/s13225-013-0239-4 (2013).
Popay, A. J. Insect herbivore and defensive mutualisms between plants and fungi. In Defensive Mutualism in Microbial Symbiosis (eds J. F. White, Jr. & M. S. Torres) 347–366 (CRC Press, 2009).
Wilkinson, H. H. et al. Contribution of fungal loline alkaloids to protection from aphids in a grass-endophyte mutualism. Mol. Plant. Microbe Interact. 13, 1027–1033. https://doi.org/10.1094/MPMI.2000.13.10.1027 (2000).
Popay, A. J., Jensen, J. G., Simpson, W. R., Mace, W. J. & Somchit, C. Translocation of loline alkaloids in Epichloë-infected cereal and pasture grasses: What the insects tell Us. J. Fungi 9, 96. https://doi.org/10.3390/jof9010096 (2023).
Caradus, J. R. Epichloë fungal endophytes–a vital component for perennial ryegrass survival in New Zealand. N Z. J. Agric. Res. https://doi.org/10.1080/00288233.2023.2170426 (2024).
Hennessy, L. M., Popay, A. J., Finch, S. C., Clearwater, M. J. & Cave, V. M. Temperature and plant genotype alter alkaloid concentrations in ryegrass infected with an Epichloë endophyte and this affects an insect herbivore. Front. Plant Sci. 7, 1097. https://doi.org/10.3389/fpls.2016.01097 (2016).
Finch, S. C. et al. Identification and structure elucidation of epoxyjanthitrems from Lolium perenne infected with the endophytic fungus Epichloë festucae var lolii and determination of the tremorgenic and anti-insect activity of epoxyjanthitrem I. Toxins (Basel) https://doi.org/10.3390/toxins12080526 (2020).
Tapper, B. A. & Lane, G. A. Janthitrems found in a Neotyphodium endophyte of perennial ryegrass. In (eds R. Kallenbach, C. Jr. Rosenkranz, & T. R. Lock) 5th International Symposium on Neotyphodium/ Grass Interactions. Poster 301 (2004).
Hewitt, K. G., Popay, A. J., Hofmann, R. W. & Caradus, J. R. Epichloë - a lifeline for temperate grasses under combined drought and insect pressure. Grass Research. 1(1), 1. https://doi.org/10.48130/GR-2021-0007 (2021).
Züst, T. & Agrawal, A. A. Trade-offs between plant growth and defense against insect herbivory: an emerging mechanistic synthesis. Ann. Pev. Plant Biol. 68, 513–534. https://doi.org/10.1146/annurev-arplant-042916-040856 (2017).
Hidaka, A. & Kitayama, K. Divergent patterns of photosynthetic phosphorus-use efficiency versus nitrogen-use efficiency of tree leaves along nutrient-availability gradients. J. Ecol. 97, 984–991. https://doi.org/10.1111/j.1365-2745.2009.01540.x (2009).
Popay, A. J., Townsend, R. J. & Fletcher, L. R. The effect of endophyte (Neotyphodium uncinatum) in meadow fescue on grass grub larvae. N Z. Plant Prot. 56, 123–128. https://doi.org/10.30843/nzpp.2003.56.6052 (2003).
Popay, A. J., Cotching, B., Moorhead, A. & Ferguson, C. M. AR37 endophyte effects on porina and root aphid populations and ryegrass damage in the field. Proc. N Z. Grassl. Assoc. https://doi.org/10.33584/jnzg.2012.74.2856 (2012).
Jensen, J. G. & Popay, A. J. Perennial ryegrass infected with AR37 endophyte reduces survival of porina larvae. N Z. Plant Protec. https://doi.org/10.30843/nzpp.2004.57.6930 (2004).
Popay, A. J. & Lane, G. A. The effect of crude extracts containing loline alkaloids on two New Zealand insect pests. In (ed P. D. Dapprich) 4th International Neotyphodium/Grass Interactions Symposium. 471–475 (2000).
Richards, N. K., Mansfield, S., Townsend, R. J. & Ferguson, C. M. Genetic variation within species and haplotypes of the Wiseana (Lepidoptera: Hepialidae) complex and development of non-sequenced based identification tools to aid field studies. Pest Manag. Sci. 73, 2334–2344. https://doi.org/10.1002/ps.4620 (2017).
Dugdale, J. S. Hepialidae (insecta: lepidoptera). Fauna N Z. https://doi.org/10.7931/J2/FNZ.30 (1994).
French, R. A. Some aspects of the biology, population dynamics and economic status of Wiseana cervinata (Walker)(Hepialidae: Lepidoptera) PhD thesis, Lincoln College, University of Canterbury, (1973).
Ferguson, C. M. et al. Quantifying the economic cost of invertebrate pests to New Zealand’s pastoral industry. New Zealand Journal of Agricultural Research 62, 255–315. https://doi.org/10.1080/00288233.2018.1478860 (2019).
Barlow, N., French, R. & Pearson, J. Population ecology of Wiseana cervinata, a pasture pest in New Zealand. J. Appl. Ecol. https://doi.org/10.2307/2404026 (1986).
Hurst, M. R. et al. Development of a Yersinia entomophaga bait for control of larvae of the porina moth (Wiseana spp.), a pest of New Zealand improved grassland systems. Pest Manag. Sci. 76, 350–359. https://doi.org/10.1002/ps.5521 (2020).
Harris, W. Some effects of a porina caterpillar (Wiseana spp.) infestation on perennial ryegrass, cocksfoot, and white clover. N Z. J. Agric. Res. 12, 543–552 (1969).
Bourner, T., Glare, T., O’Callaghan, M. & Jackson, T. Towards greener pastures-pathogens and pasture pests. New Zealand Journal of Ecology, 20 (1), 101–107 (1996).
Schade, J. D., Kyle, M., Hobbie, S., Fagan, W. & a. & Elser, J.,. Stoichiometric tracking of soil nutrients by a desert insect herbivore. Ecol. Lett. 6, 96–101. https://doi.org/10.1046/j.1461-0248.2003.00409.x (2003).
Elser, J. Biological stoichiometry: a chemical bridge between ecosystem ecology and evolutionary biology. Am. Nat. 168, 25–35. https://doi.org/10.1086/509048 (2006).
Nijssen, M., WallisDeVries, M. & Siepel, H. Pathways for the effects of increased nitrogen deposition on fauna. Biol. Conserv. 212, 423–431. https://doi.org/10.1016/j.biocon.2017.02.022 (2017).
Bi, J. L., Lin, D. M., Lii, K. S. & Toscano, N. C. Impact of cotton planting date and nitrogen fertilization on Bemisia argentifolii populations. Insect Sci. 12, 31–36. https://doi.org/10.1111/j.1672-9609.2005.00005.x (2005).
Pikul, J. L., Hammack, L. & Riedell, W. E. Corn yield, nitrogen use, and corn rootworm infestation of rotations in the northern Corn Belt. Agron. J. 97, 854–863. https://doi.org/10.2134/agronj2004.0263 (2005).
Che Salmah, M., Hassan, S., Abu Hassan, A. & Ali, A. Influence of physical and chemical factors on the larval abundance of Neurothemis tullia (Drury)(Odonata: Libellulidae) in a rain fed rice field. Hydrobiologia 389, 193–202. https://doi.org/10.1023/A:1003511227253 (1998).
Pitan, O. O., Odebiyi, J. & Adeoye, G. Effects of phosphate fertilizer levels on cowpea pod-sucking bug populations and damage. Int. J. Pest Manag. 46, 205–209. https://doi.org/10.1080/096708700415544 (2000).
Haile, A. & Hofsvang, T. Effect of sowing dates and fertilizer on the severity of stem borer (Busseola fusca Fuller, Lepidoptera: Noctuidae) on sorghum in Eritrea. Int. J. Pest Manag. 47, 259–264. https://doi.org/10.1080/09670870110046786 (2001).
Srikanth, J., Salin, K., Easwaramoorthy, S. & Kailasam, C. Incidence of sugarcane shoot borer under different levels of weed competition, crop geometry, intercropping and nutrient supply systems. Sugar Tech 4, 149–152. https://doi.org/10.1007/BF02942697 (2002).
Butler, J., Garratt, M. & Leather, S. Fertilisers and insect herbivores: a meta-analysis. Ann. Appl. Biol. 161, 223–233. https://doi.org/10.1111/j.1744-7348.2012.00567.x (2012).
Faeth, S. H. & Fagan, W. F. Fungal endophytes: common host plant symbionts but uncommon mutualists. Integr. Comp. Biol. 42, 360–368. https://doi.org/10.1093/icb/42.2.360 (2002).
Saikkonen, K., Gundel, P. E. & Helander, M. Chemical Ecology Mediated by Fungal Endophytes in Grasses. J. Chem. Ecol. 39, 962–968. https://doi.org/10.1007/s10886-013-0310-3 (2013).
Arechavaleta, M., Bacon, C. W., Plattner, R. D., Hoveland, C. S. & Radcliffe, D. E. Accumulation of ergopeptide alkaloids in symbiotic tall fescue grown under deficits of soil water and nitrogen fertilizer. Appl. Environ. Microbiol. 58, 857–861. https://doi.org/10.1128/aem.58.3.857-861.1992 (1992).
Belesky, D. P., Stuedemann, J. A., Plattner, R. D. & Wilkinson, S. R. Ergopeptine alkaloids in grazed tall fescue. Agron. J. 80, 209–212. https://doi.org/10.2134/agronj1988.00021962008000020014x (1988).
Malinowski, D. P., Belesky, D. P., Hill, N. S., Baligar, V. C. & Fedders, J. M. Influence of phosphorus on the growth and ergot alkaloid content of Neotyphodium coenophialum-infected tall fescue (Festuca arundinacea Schreb.). Plant and Soil 198, 53–61. https://doi.org/10.1023/A:1004279401196 (1998).
Chen, Z. et al. Fungal endophyte improves survival of Lolium perenne in low fertility soils by increasing root growth, metabolic activity and absorption of nutrients. Plant and Soil 452, 185–206. https://doi.org/10.1007/s11104-020-04556-7 (2020).
Liu, Y. et al. Epichloë gansuensis increases the tolerance of Achnatherum inebrians to low-P stress by modulating amino acids metabolism and phosphorus utilization efficiency. J. Fungi 7, 390. https://doi.org/10.3390/jof7050390 (2021).
Malinowski, D. P. & Belesky, D. P. Neotyphodium coenophialum-endophyte infection affects the ability of tall fescue to use sparingly available phosphorus. J Plant Nut 22, 835–853. https://doi.org/10.1080/01904169909365675 (1999).
Ren, A. Z., Gao, Y. B. & Zhou, F. Response of Neotyphodium lolii-infected perennial ryegrass to phosphorus deficiency. Plant Soil Environ. 53, 113–119 (2007).
Graff, P., Gundel, P. E., Salvat, A., Cristos, D. & Chaneton, E. J. Protection offered by leaf fungal endophytes to an invasive species against native herbivores depends on soil nutrients. J. Ecol. 108, 1592–1604. https://doi.org/10.1111/1365-2745.13371 (2020).
Simpson, W. R., Schmid, J., Singh, J., Faville, M. J. & Johnson, R. D. A morphological change in the fungal symbiont Neotyphodium lolii induces dwarfing in its host plant Lolium perenne. Fungal Biol. 116, 234–240. https://doi.org/10.1016/j.funbio.2011.11.006 (2012).
Card, S.D.; Rolston, M.P.; Park, Z.; Cox, N.; Hume, D.E. Fungal endophyte detection in pasture grass seed utilising the infection layer and comparison to other detection techniquesSeed Science and Technology 39 (3), 581–592. https://doi.org/10.15258/sst.2011.39.3.05 (2011).
Popay, A. J. et al. A root aphid, Aploneura lentisci is affected by Epichloë endophyte strain and impacts perennial ryegrass growth in the field. Crop Pasture Sci 72, 155–164. https://doi.org/10.1071/CP20299 (2021).
Ueno, A. C. et al. Ontogenetic and trans-generational dynamics of a vertically transmitted fungal symbiont in an annual host plant in ozone-polluted settings. Plant Cell Environ. 43, 2540–2550. https://doi.org/10.1111/pce.13859 (2020).
Faville, M. J. et al. A QTL analysis of host plant effects on fungal endophyte biomass and alkaloid expression in perennial ryegrass. Mol. Breeding 35, 1–18. https://doi.org/10.1007/s11032-015-0350-1 (2015).
Anderson, K. Micro-digestion and ICP-AES analysis for the determination of macro and micro elements in plant tissues. At. Spectrosc. 17, 30–33 (1996).
Carpenter, A. Chemical treatment of porina eggs to prevent loss of viability in culture. N Z Entomol. 7, 466–467. https://doi.org/10.1080/00779962.1983.9722443 (1983).
Popay, A. A laboratory rearing method for porina. N Z. Plant Protec. 54, 251–251. https://doi.org/10.30843/nzpp.2001.54.3764 (2001).
Luo, D. Data Integration – Simultaneous Analysis of Multiple Data Sets (Hamilton, New Zealand, 2022).
GenStat for Windows 23rd edition (VSN International, Hempel Hempstread, UK, 2021).
Mattson, W. J. Jr. Herbivory in relation to plant nitrogen content. Annu. Rev. Ecol. Syst. 11, 119–161. https://doi.org/10.1146/annurev.es.11.110180.001003 (1980).
Hsu, Y.-T., Shen, T.-C. & Hwang, S.-Y. Soil fertility management and pest responses: a comparison of organic and synthetic fertilization. J. Econ. Entomol. 102, 160–169. https://doi.org/10.1603/029.102.0123 (2009).
Schoonhoven, L. M., Van Loon, B., van Loon, J. J. & Dicke, M. Insect-plant biology (Oxford University Press on Demand, 2005).
Throop, H. L. & Lerdau, M. T. Effects of nitrogen deposition on insect herbivory: implications for community and ecosystem processes. Ecosystems 7, 109–133. https://doi.org/10.1007/s10021-003-0225-x (2004).
Huberty, A. F. & Denno, R. F. Consequences of nitrogen and phosphorus limitation for the performance of two planthoppers with divergent life-history strategies. Oecologia 149, 444–455. https://doi.org/10.1007/s00442-006-0462-8 (2006).
Sterner, R. W. & Elser, J. J. In Ecological Stoichiometry (Princeton University Press, 2017).
Villar-Argaiz, M., Lopez-Rodriguez, M. J. & Tierno de Figueroa, J. M. Divergent nucleic acid allocation in juvenile insects of different metamorphosis modes. Sci. Rep. 11, 10313. https://doi.org/10.1038/s41598-021-89736-w (2021).
Price, P. W. The plant vigor hypothesis and herbivore attack. Oikos https://doi.org/10.2307/3545270 (1991).
Leather, S. R. In Insect-plant interactions 175–208 (CRC Press, 2017).
Campos, W. G., Schoereder, J. H. & Picanço, M. C. Performance of an oligophagous insect in relation to the age of the host plant. Neotrop. Entomol. 32, 671–676. https://doi.org/10.1590/S1519-566X2003000400019 (2003).
Mao, L., Story, R. N., Hammond, A. M., Peterson, J. K. & Labonte, D. R. Effect of nitrogen on resistance of sweet potato to sweetpotato weevil (Coleoptera: Curculionidae) and on storage root chemistry. J. Econ. Entomol. 94, 1285–1291. https://doi.org/10.1603/0022-0493-94.5.1285 (2001).
Wang, K. et al. The effects of phosphate fertilizer on the growth and reproduction of Pardosa pseudoannulata and its potential mechanisms. Comp. Biochem. Physiol. Part C: Toxicol Pharmacol. 265, 109538. https://doi.org/10.1016/j.cbpc.2022.109538 (2023).
Aguiar, D. D. M., Auad, A. M., Fonseca, M. D. G. & Leite, M. V. Brachiaria ruziziensis responses to different fertilization doses and to the attack of Mahanarva spectabilis (Hemiptera: Cercopidae) nymphs and adults. Sci. World J. https://doi.org/10.1155/2014/543813 (2014).
Vassiliadis, S. et al. Quantitation and distribution of Epichloë-Derived alkaloids in perennial ryegrass tissues. Metabolites 13, 205. https://doi.org/10.3390/metabo13020205 (2023).
Ryan, G. D., Shukla, K., Rasmussen, S., Shelp, B. J. & Newman, J. A. Phloem phytochemistry and aphid responses to elevated CO2, nitrogen fertilization and endophyte infection. Agric. Forest Entomol. 16, 273–283. https://doi.org/10.1111/afe.12055 (2014).
Rasmussen, S. et al. High nitrogen supply and carbohydrate content reduce fungal endophyte and alkaloid concentration in Lolium perenne. New Phytol. 173, 787–797. https://doi.org/10.1111/j.1469-8137.2006.01960.x (2007).
Chen, Z. et al. Soil nutrient dynamics relate to Epichloë endophyte mutualism and nitrogen turnover in a low nitrogen environment. Soil Biol. Biochem. 174, 108832. https://doi.org/10.1016/j.soilbio.2022.108832 (2022).
Newman, J. A. et al. Effects of elevated CO2, nitrogen and fungal endophyte-infection on tall fescue: growth, photosynthesis, chemical composition and digestibility. Glob. Chang. Biol. 9, 425–437. https://doi.org/10.1046/j.1365-2486.2003.00601.x (2003).
Garner, G. B., Rottinghaus, G. E., Cornell, C. N. & Testereci, H. Chemistry of compounds associated with endophyte/grass interaction: ergovaline- and ergopeptine-related alkaloids. Agric., Ecosyst. Environ. 44, 65–80. https://doi.org/10.1016/0167-8809(93)90039-R (1993).
Malinowski, D. P. & Belesky, D. P. Adaptations of endophyte-infected cool-season grasses to environmental stresses: mechanisms of drought and mineral stress tolerance. Crop Sci. 40, 923–940. https://doi.org/10.2135/cropsci2000.404923x (2000).
Porter, J. K. Chemical constituents of grass endophytes. In Biotechnology of endophytic fungi of grasses In (eds C. W. Bacon & J. F. White, Jr.) 103–123 (CRC Press, 1994).
Zhang, D.-X., Nagabhyru, P. & Schardl, C. L. Regulation of a chemical defense against herbivory produced by symbiotic fungi in grass plants. Plant Physiol. 150, 1072–1082. https://doi.org/10.1104/pp.109.138222 (2009).
Pan, J., Bhardwaj, M., Nagabhyru, P., Grossman, R. B. & Schardl, C. L. Enzymes from fungal and plant origin required for chemical diversification of insecticidal loline alkaloids in grass-Epichloë symbiota. PLoS One 9, e115590. https://doi.org/10.1371/journal.pone.0115590 (2014).
Gundel, P. E., Maseda, P. H., Vila Aiub, M. M., Ghersa, C. M. & Benech-Arnold, R. Effects of Neotyphodium fungi on Lolium multiflorum seed germination in relation to water availability. Ann. Bot. 97, 571–577. https://doi.org/10.1093/aob/mcl004 (2006).
Askin, D. & Askin, V. Farm financial Budget Manual (Lincoln University, New Zealand, 2014).
Ferguson, C. & Crook, K. The development of two Wiseana species and the implications for their management as pastoral pests. Proceedings of the 8th Australasian Conference on Grassland Invertebrate Ecology. 87–93 (AgResearch) (2004).
Ferguson, C., Barton, D., Harper, L., Swaminathan, J. & Hurst, M. Survival of Yersinia entomophaga MH96 in a pasture ecosystem and effects on pest and nontarget invertebrate populations. N Z. Plant Protec. 65, 166–173. https://doi.org/10.30843/nzpp.2012.65.5389 (2012).
Meyer, G. A. Interactive effects of soil fertility and herbivory on Brassica nigra. Oikos 88, 433–441. https://doi.org/10.1034/j.1600-0706.2000.880221.x (2000).
Fertiliser Association of New Zealand. New Zealand soil Olsen P levels, https://www.fertiliser.org.nz/Site/about/soil-health-fertility/nz-soil-olsen-p-levels.aspx (2018).
New Zealand Plant Breeding & Research Association. Fact sheet - Endophyte Insect Control, https://www.pbra.co.nz/uncategorised/endophyte-insect-ratings/ (2023).
Rodriguez, R. J., White, J. F. Jr., Arnold, A. E. & Redman, R. S. Fungal endophytes: Diversity and functional roles: Tansley review. New Phytol. 182, 314–330. https://doi.org/10.1111/j.1469-8137.2009.02773.x (2009).
Acknowledgements
We thank Bridget Wise, Derrick Wilson, Bernadette Prout, Alex Ankersmit-Udy, and Caleb Teague of AgResearch for technical assistance in harvesting the plants; Colin Ferguson for collecting porina moths; Chanatda Somchit and Harold Henderson AgResearch for statistical support; Wade Mace and Yulia Morozova AgResearch for the analysis of fungal alkaloids; Jan Sprosen for analysis of alkaloids and fungal mass.
Funding
This research was funded through the New Zealand Strategic Science Investment Fund (SSIF).
Author information
Authors and Affiliations
Contributions
KGH, RWH, OJB and AJP designed the study. KGH carried out conceptualisation, data curation, formal analysis, and writing. RWH, OJB, SCF, RHB, and AJP provided valuable feedback on the manuscript. All authors read and approved the manuscript.
Corresponding author
Ethics declarations
Competing interests
A.J.P. is a patent holder for AR37 receiving research funding from IP owner Grasslanz Technology Limited and PGG Wrightson Seeds Limited. The research was conducted in the absence of any commercial interest. All other authors have no conflicts of interest to declare that are relevant to the content of this article.
Additional information
Publisher’s note
Springer Nature remains neutral with regard to jurisdictional claims in published maps and institutional affiliations.
Rights and permissions
Open Access This article is licensed under a Creative Commons Attribution-NonCommercial-NoDerivatives 4.0 International License, which permits any non-commercial use, sharing, distribution and reproduction in any medium or format, as long as you give appropriate credit to the original author(s) and the source, provide a link to the Creative Commons licence, and indicate if you modified the licensed material. You do not have permission under this licence to share adapted material derived from this article or parts of it. The images or other third party material in this article are included in the article’s Creative Commons licence, unless indicated otherwise in a credit line to the material. If material is not included in the article’s Creative Commons licence and your intended use is not permitted by statutory regulation or exceeds the permitted use, you will need to obtain permission directly from the copyright holder. To view a copy of this licence, visit http://creativecommons.org/licenses/by-nc-nd/4.0/.
About this article
Cite this article
Hewitt, K.G., Hofmann, R.W., Ball, O.J. et al. Phosphorus induced changes in food quality enhance porina fitness feeding on Epichloë endophyte free forage grasses. Sci Rep 15, 6448 (2025). https://doi.org/10.1038/s41598-025-89723-5
Received:
Accepted:
Published:
Version of record:
DOI: https://doi.org/10.1038/s41598-025-89723-5







