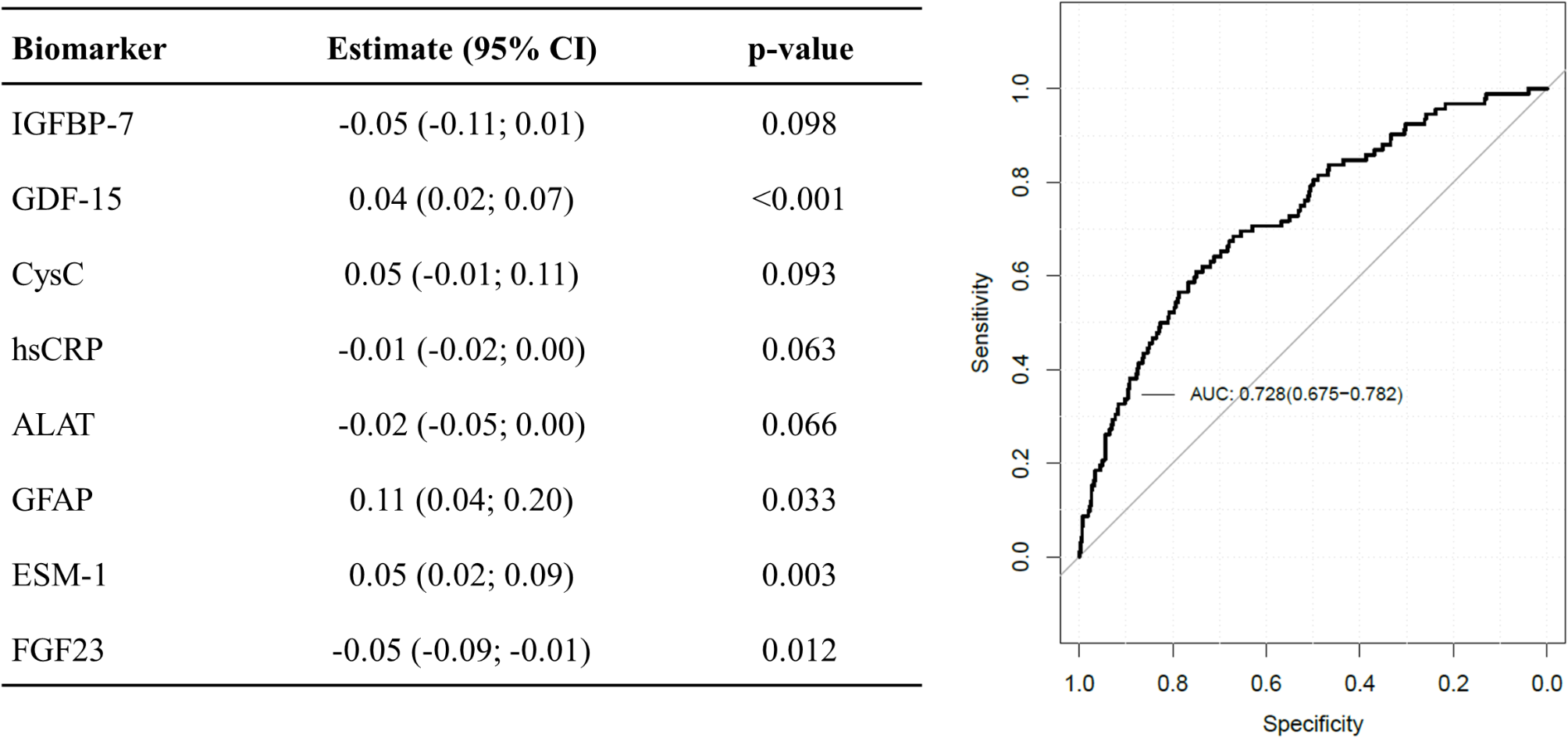
Fig. 4
From: Biomarker and cognitive decline in atrial fibrillation: a prospective cohort study

Multivariate regression model by stepwise selection (left) and AUC for the selected model (right) for cognitive decline. Estimates show the change in the risk of cognitive decline per 1-unit change of the natural logarithm of the respective biomarker.