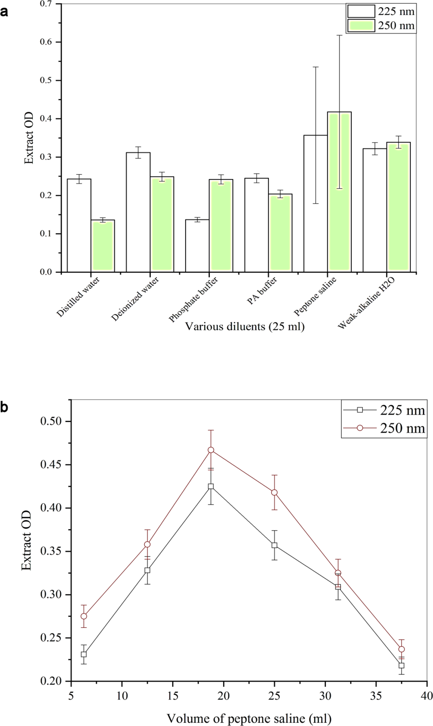
Fig. 3


Preparation of extracts from the pre-treated C. cajan leaf powder by using various diluents (a), different volume of peptone-saline (b), and different temperatures (c) at pH 7.0 with volume of diluent 25 mL at 30 °C and error bars at ρ ≤ 0.05 indicating standard deviation amongst the values.