Abstract
This present study deals with the cross-linking of fungal β-glucosidase on Al2O3 nanocrystals (NCs) synthesized in C. cajan for in-suit genistein production. The Cajanus cajan leaves were dried and used to prepare their extract at 65 °C by agitation for 30 min. For enzyme production under submerged culture, 50 mL of medium at pH 8.6 with an inoculum volume of 2 mL; was incubated for 72 h with optimized parameters at 30 °C. The Al2O3 NCs were synthesized by adding 30 mM Al2NO3 to 25 mL of leaf extract with NaOH at 65 °C for 50 min which enhanced the β-glucosidase specific activity when immobilized. Genistein by biotransformation was obtained using both free (0.67 ± 0.42 mg/mL) and Al2O3 immobilized β-glucosidase (1.3 ± 0.66 mg/mL) for 48 h. The substrate level and enzyme concentration were 2.5 and 1 mL respectively. The UV visible spectra for leaf extract; free and cross-linked β-glucosidase and Al2O3 NCs were at 225, 235, 300, and 210 nm. The bands for Al2O3 NCs were achieved at 500–750 cm− 1 which showed the FTIR analysis to check the change in functional groups of free and Al2O3 cross-linked β-glucosidase. In XRD analysis, peaks depicted the crystalline structure of Al2O3 NCs ranging from 10–50°. The size of NCs was confirmed by using different magnifications (1.01, 2.00, 3.00, 5.00, 7.02, and 10 K X) of SEM images obtained. For zeta potential measurements, the peak was obtained at ˗21.0 mV.
Similar content being viewed by others
Introduction
Enzymes play a crucial role in modern industries because of their efficient and specific properties1. Among these, β-glucosidase enhances the estrogenic activity by converting glycoside to aglycone isoflavone. The enzyme immobilized on metallic nanocrystals (NCs) can improve its stability as required for effective biotransformation of sophoricoside to genistein2. The Al2O3 NCs were being used for the first time to immobilize genistein. Naturally, the leaves of Cajanus cajan common name “Pigeon pea” L. Mill sp. contain a substantial amount of sophoricoside which can be extracted in liquid media. Further, the sophoricoside3 can be microbiologically converted to genistein using an extracellular β-glucosidase from A. oryzae4,5. The A. oryzae is known for its subtle character due to its presence between intra plus interspecies and also its structure analogous to that of A. flavus. It has a sturdy competence to secrete huge amounts of hydrolytic enzymes plus post-translational modification6,7. β-Glucosidase is apprehensive about the succession of glycosidic bonds and their cleavage8. β-Glucosidase is a set of enzymes that are classically divided in GH1 as well as GH3 families, by less occurrence in GH families9,10. The β-glucosidase enzyme is responsible for β-glycosidic linkage hydrolysis in amino, aryl, and oligo groups11. Β-Glucosidases used for synthetic special effects also play an important role in both biological as well as biotechnological processes12. β-D-Glucoside glucohydrolase is the systemic name of β-glucosidase and is found in miscellaneous Aspergillus species for its production13. C. cajan is also known as the ‘orphan crop’ and ‘poor people’s meat’ because of its great protein content and amino acids such as methionine, lysine as well as tryptophan, and is a vital source of dietary vitamins plus minerals, particularly B vitamins. Pea plant is liable to a variety of fungal diseases such as foot, root as well as collar rots14,15. Extracts from two pea cultivars increased the activity of several enzymes, importantly β-glucosidase and xylanase. C. cajan was mainly used for many years to treat diabetes, sores, skin irritation, hepatitis, measles, jaundice, and dysentery as well as to expel bladder stones and stabilize the menstrual period16. Pigeon pea leaves in Chinese folk medicine are widely used to stop the blood, as a painkiller furthermore to kill parasites. It has many therapeutic applications as antioxidant, anticancer, antitumor, antimalarial, and antibacterial properties17.
Different analytical techniques such as SEM as well as XRD were used for the determination of NCs size and other properties18,19. UV-visible spectroscopy is used for the quantization of NCs with accuracy20. Zeta potential measurements were used for the establishment of the size of NCs at extremely different levels. Scanning electron microscopy (SEM) was performed on cross-linked enzymes in toting up to carry the control by use of the XL-30 ESEM model2. The XRD analysis is employed through copper anode radiation by using a diffractometer21.
The research depends on the cross-linking of β-glucosidase from Aspergillus oryzae and the green synthesis of Al2O3 NCs from C. cajan. Remarkably, the study manifests the foremost exploitation of C. cajan which is also known as “pigeon pea”, to take it as a resource of sophoricoside for in-suit genistein production. Moreover, it was the earliest illustration to employ for Al2O3 NCs synthesis of C. cajan leaf extracts. An exclusive immobilization method for cross-linking of β-glucosidase by Al2O3 NCs was formed as Al2O3 NCs endow with chemical stability, mechanical strength, and high surface area plus used for the biotechnological and biomedical processes. The in-suit produced genistein is a precious and helpful amalgam that contains considerable due to its capability to have a chemical structure similar to that of estradiol also called phytoestrogen and health benefits for the sake of treatment of many diseases. The pioneering advancement has the prospective to improve the in-suit genistein production by the proficient employment of sophoricoside and the immobilization method for cross-linking of β-glucosidase on Al2O3 NCs.
Materials and methods
All chemicals and reagents used in the present study were of analytical grade and were obtained from the chemical store of IIB, GC University Lahore.
Collection of C. Cajan L. Mill sp. leaves
The cleaned and washed leaves of C. cajan were obtained from the Government College University Botanic Garden, Lahore (N 31° 33’ 24.102”, E 74° 19’ 40.8432”).
Preparation of leave extracts
The fully dried leaves of C. cajan were ground into semi-amorphous powder. Twenty-five mL (25mL) of distilled water with 0.5 g of leaf powder was placed in a conical flask of 100 mL and kept for agitation at 80–120 rpm for 30 min at 30 °C. After that, the extract was centrifuged at 3500 rpm for 20 min using a centrifuge model Sigma Laboratory Centrifuges 3K30.
Optimization of different extracting parameters of C. Cajan leaves
The leaf powder (0.5 g) was added in each flask containing 25 mL of distilled water, deionized water, potassium acetate buffer, phosphate buffer, and weakly alkaline distilled water plus saline peptone. Then the saline-peptone water was used as an optimized extracting agent. The peptone (0.85% w/v) and NaCl (0.05% w/v) were added to 100 mL of distilled water at natural pH for the preparation of saline-peptone. The saline peptone water with six different levels was (6.25 mL, 12.5 mL, 18.75 mL, 25 mL, 31.25 mL, 37.5 mL) set on agitation at different temperatures i.e. 40 °C, 50 °C, 60 °C, 70 °C for 75 min at 80–120 rpm.
Production of extracellular β-glucosidase
Organism and fermentation procedure
Wild-type A. oryzae Isl-9 was acquired from the Culture Bank of the Department of Microbiology, Dr. Ikram-ul-Haq Institute of Industrial Biotechnology, GCU Lahore. The strains were preserved for a short term at 4 °C on the potato dextrose agar slants for use. The 250 mL Erlenmeyer flasks for submerged media were obtained for β-glucosidase production with 50 mL of medium consisting of 0.3 g/l sucrose, 0.4 g/l NH4Cl, 0.5 g/l NaCl, 0.1 g/l K2HPO4, as well as 0.05 g/l MgSO4 at (11 pH). The medium was then autoclaved for sterilization at 15 psi (121ºC) for 20 min. Then, 1 mL of conidial suspension was added to the cooled autoclaved media22 and incubated at 30ºC in a shaking incubator for 72 h23. After filtration, clear supernatant was stored at ˗4 °C for the enzyme assay as well as for biotransformation.
Optimizing parameters for β-glucosidase production
The cane sugar and beet sugar were employed as carbohydrate sources by using eight altered concentrations from 0.75, 1.5, 2.25, 3.75, 4.5, 5.25, to 6% w/v. The K2HPO4 and KH2PO4 were taken for the sake of potassium source with six different concentrations from 0.025, 0.05, 0.075, 0.1, 0.125, to 0.15% w/v. The submerged medium was incubated at four different temperatures 24 °C, 30 °C, 36 °C and 42 °C. At two different periods of 30 and 60 min, a β-glucosidase activity assay was obtained.
Biotransformation of natural sophoricoside to genistein
For biotransformation as shown in Figs. 1 and 25 mL of free and cross-linked enzyme supernatant was added with equivalent leaf extract having sophoricoside at basic pH in 250 mL of the conical flask4. After that, this aqueous solution was incubated for 73 h at 35ºC.
Biotransformation of sophoricoside to genistein.
Optimizing parameters for sophoricosidase biotransformation
The free and cross-linked β-glucosidase (2mL) separately was added in test tubes with six changed substrate levels (leaf extract) from 0.5, 1, 1.5, 2, 2.5 to 3mL and the volume made up to 5mL by adding distilled water along with the blank without leaf extract ran parallel to other test tubes for incubation.
Green synthesis of Al2O3 NCs
The green synthesis of Al2O3 NCs using plant extracts was obtained because the plant source was free from toxicants as well as was set up to be at low cost reported by Manikandan et al.24. The NCs were prepared by having 50 milliliters of Al2NO3 solution and stirred at 37 °C for 10 min while adding ten milliliters of leaf extract. The same method was also carried out to compare with distilled water. One molar NaOH was added drop-wise (till pH 11.0 was achieved) to the solution for its reaction with Al2NO3 as shown in Fig. 2. The change in the color of the solution from light yellow to dark yellow was acquired at 60 °C for half an hour correspondence to the synthesis of Al2O3 NCs. The NCs were then centrifuged at 6,000 rpm for 20 min to yield large pellets and the NCs were dried at room temperature19.
Green synthesis of Al2O3 NCs by reaction of Al2NO3 with NaOH in C. cajan leaf extract.
For efficient green synthesis of Al2O3 NCs, three different parameters were optimized. Six concentrations of Al2NO3 (15, 30, 45, 60, 75, and 90 mM) were employed and agitated at 65 °C for 30 min from 80 to 120 rpm.
Immobilization by cross-linking of β-glucosidase on Al2O3 NCs
For the immobilization through cross-linking method, Al2O3 NCs (100 mg) were added to 0.14 Units of β-glucosidase for 20 h in phosphate buffer saline (PBS) of 10 mM (pH 7.0) at 4 °C. The PBS ran thoroughly to Al2O3 immobilized β-glucosidase while unbounded enzymes and impurities were washed out by centrifugation at 6000 rpm for 5 min2.
Characterization analysis of Al2O3 NCs
Several characterization techniques were employed as UV-VIS spectroscopy, FTIR spectroscopy, XRD analysis, and SEM.
UV-VIS spectroscopy
UV visible spectroscopy was obtained using a UV visible spectrophotometer in the Nanotechnology Laboratory of the Department of Chemistry, GCU Lahore. The sample was all set by the above-mentioned optimized conditions. The diluted sample deliberated by light absorption by diverse rays with a variety of ranges of wavelength. The free and Al2O3 linked β-glucosidase was taken as 3 mL in a quartz cuvette and observed under a UV-VIS spectrophotometer from 200 to 800 nm range investigated by De Caro and Claudia25.
Fourier transform infrared spectroscopy
The analysis was employed to reveal the functional groups with capping as well as reducing characters. The diluted samples of free β-glucosidase and Al2O3 immobilized β-glucosidase were sent to the Centre for Advanced Studies in Physics (CASP), GCU Lahore. The spectrum was recognized on a machine model of Spectrum-100, Perkin-Elmer, and St. Louis, USA. The % transmittance was estimated to range from 4000 to 400 per centimeter at 25 °C26. A diminutive quantity of the samples was positioned on a holder. The signal from the machine was calculated for the both blank and the samples. The spectra were obtained for the presence of the peaks to show the change of functional groups, while on the other hand, detected data was transferred to the CD to save the information of the peaks.
XRD analysis
The liquid sample of nano-Al2O3-β-glucosidase was directed to the Central Research Laboratory, Lahore College for Women University (LCWU) for XRD analysis. The machine model (D8 discover, Bruker) was set at an angle from 10° to 80° with a scan speed of 0.05/s with 2 theta determining the crystalline nature of NCs that immobilize the enzyme. The detector produced at a wavelength of (0.160 nm) by having a Cu anode27. The sample in powder form was positioned on the holder and then x-ray crossed through the sample on the holder. The X-ray hit on the sample and diffracted all along causing interference and scattering.
SEM analysis
SEM was carried out for confirmation of size plus topography. The powder sample of Al2O3 immobilized β-glucosidase was delivered to Central Research Laboratory, LCWU. The SEM model was from ZEISS Company of EVOLS10. The size distribution of the Al2O3 immobilized enzyme was investigated. The sample was weighed down to the chamber in the machine. The beam of electrons passed through the chamber containing a sample of NCs and from different angles the signals were produced. The scanning electron micrographs were executed by different magnifications from 40,000X to 100,000X observed by Bejar et al.28.
Zeta potential measurement
For the zeta distributions, the sample was prepared in powdered form for analysis and was transferred to Lahore University of Management Sciences (LUMS), Lahore. The sonication process was done for the sample and then inspected by Zetasizer Nano ZS instruments model number (Malvern Instruments Ltd, Zetasizer Ver. 7.10). The examination was accomplished in a range from ˗150 mV to 150 mV apparent at 37 °C29. The measurement was attuned at 5.5 millimeters with the size of ˗21.0 mV.
β-Glucosidase activity assay and protein determination
The enzyme activity was evaluated by using the method presented by Watanabe et al.30 with minor adjustments. The one unit of enzyme was known as the mass of enzyme that yielded 1 µmol of p-NP per minute in the conditions provided by the assay. The enzyme activity progress was considered when 0.1% p-NPG (0.2 mL) was added to the 0.2 mL of phosphate buffer with pH 6 plus 0.1 mL of enzyme supernatant incubated at 30 °C. After that the reaction stopped with the addition of 1 M Na2CO3 (2.5 mL) and the reaction ran parallel to the blank31. The experiment was placed in duplicate. Moreover, the discharge was calculated at 400 nm. At the same time, an array of several concentrations of the reacted solution was employed to put up the standard curve by using Bradford’s reagent32.
Statistical analysis
All the investigations were carried out in triplicate with mean ± standard deviation. All plots were drawn using the Origin95 software. XRD was plotted using X’pert HighScore plus, and SEM sizing was completed using ImageJ software. The p-value < 0.05 was considered significant.
Results and discussion
Preparation of C. Cajan leaf extracts
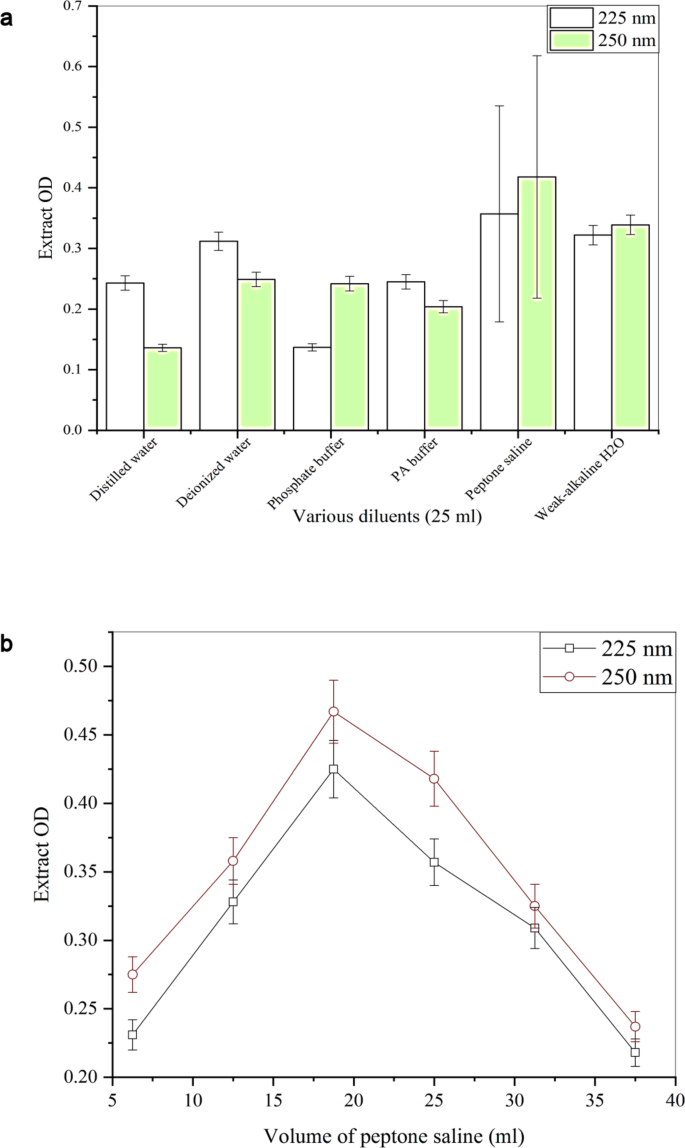
Effect of various diluents for leaf extraction
The partially amorphous leaves of C. cajan were employed to check the effect of different diluents to get the optimized option for leaf extraction preparation. The results are given in Fig. 3a. The peptone essentially used for the diluent as an optimized extractant includes 2% ethanol plus 0.1% (w/v) dextrose. Whereas peptone saline was all set by 0.085% (w/v) peptone along with 0.005% (w/v) NaCl. The outcome of the optimized value was achieved at a pH of 7. The peptone saline was exploited at OD of 0.357 as well as 0.418 among the wavelengths at 225 nm plus 250 nm correspondingly. The biggest pellet by peptone saline was obtained as (0.2 ± 0.07 mg/mL) by 225 nm moreover (0.2 ± 0.10 mg/mL). It could be due to the favorable activity of peptone-saline as the best hydrosylate while the other ethanol or aqueous extracts also show high antioxidant activity with high phenolic concentration. It revealed that they have important constituents using polar solvents as reported by Mahitha et al.33. Lastly, the peptone saline may have no extra worth than previous sources such as chloroform along with acetone. Other than this peptone reduced the unenthusiastic effects of oxidative tension in leaf tissues of C. cajan furthermore is highly important for having nitrogenous substances as well as is great for amino acids concentration34. In previous studies, petroleum ether, ethyl acetate, and n-butanol were also used for the preparation of leaf extracts as compared to the peptone-saline35. The leaf extract was used for the synthesis of NCs and peptone-saline produced smaller sizes of NCs than other diluents. So it’s important to consider the diluent which gives reliable results.
Preparation of extracts from the pre-treated C. cajan leaf powder by using various diluents (a), different volume of peptone-saline (b), and different temperatures (c) at pH 7.0 with volume of diluent 25 mL at 30 °C and error bars at ρ ≤ 0.05 indicating standard deviation amongst the values.
Effect of volume of peptone saline for leaf extraction
The outcomes of the volume of peptone saline for C. cajan leaves extraction were executed. The result is given in Fig. 3b. The variety of volume with several concentrations (6.25 mL, 12.5 mL, 18.75 mL, 25 mL, 31.25 mL, and 37.5 mL) was used for the extract preparation. The suitable outcome was as (0.31 ± 0.078 mg/mL) plus (0.34 ± 0.08 mg/mL) was achieved with 18.75 mL; also with the volume of peptone saline as 31.25 mL. However, 18.75 mL has a privileged fold of pellet while the other volumes with lower pellets and the ODs were 0.425 plus 0.467 at 225 as well as at 250 nm correspondingly. In Fig. 3b, 250 nm presents a red line that demonstrates the maximum peak with 18.75 mL whereas the minimum peak with 5.50 mL. The wavelength of 225 nm illustrated the black line which showed a similar result. The descriptive standard deviation was designed for 18.75 mL of volume attained at 225 nm for improved effect. Higher than the 31.25 mL, the extract commotion reduced to 0.218 at a wavelength of 225 nm. The extract by acetone confirmed the utmost yield of 17.72 mL which is more relevant to peptone saline slightly than the extract from chloroform and ethyl acetate36. The leaf extract preparation of C. cajan was arranged with 150 mL of ethanol solutions using maceration33. Depending upon the treatment dose groupings, different volumes of solvent and solute were acquired by Manzo and Vitor37 for the preparation of extracts. 300 mL of methanol and water were used as solvents for the preparation of extracts with C. cajan leaf extract by Rinthong and Maneechai38. Yield of extraction depends on the well-defined optimized volume of diluent which gives controlled and quantified results. With the increase or decrease in volume, the necessary components are discharged from the solvent.
Effect of different temperatures for leaf extraction
The result for different temperatures of C. cajan leaf powder for the extraction preparation was executed as given in Fig. 3c. Different temperatures (40 °C, 50 °C, 60 °C, and 70 °C) were employed for leaf extraction for other optimized conditions for its preparation. The great appropriate pellets were achieved as (0.64 ± 0.07 mg/mL) plus (0.89 ± 0.08 mg/mL) for optimization and the ODs were 0.717 plus 0.972 at 225 nm as well as 250 nm at 60 °C. Fig shows the highest peak of 60 °C at 250 nm along with the lowest peak of 40 °C. The same results were obtained at 225 nm which has a maximum peak at 60 °C. The result is in association with the conclusions made by Nagati et al.39 who attained agitation of extract at 60 °C, while 40 °C was reported by Raghuwanshi et al.40. The solubility of the extracts increases with the increase in temperature however too high temperature can cause impurities and loss of solvent41. The same optimal temperature (60 °C) condition was also reported by Nehra et al.36.
Production of β-glucosidase from A. oryzae Isl-9 strain under submerged culture
Effect of different carbohydrate sources
The different sources of carbohydrate were used in submerged fermentation media intended for the β-glucosidase production and their effects are given in Fig. 4a. Different concentrations from 0.75, to 6% (w/v) with 0.75% (w/v) differentiation of sucrose such as cane sugar as well as beet sugar were evaluated by submerged culture. The concentrations utilized were for confirmation of both sources to gain the prime production of mycelia mass. The largest pellets with 4.5% (w/v) were acquired by both carbohydrate sources used and then compared. The utmost activity of β-glucosidase at 3.5 ± 0.10 U/mg was achieved using cane sugar as a source of sucrose. The highest production of mycelia mass was considered as 2.03 ± 1.06 mg/mL having the greatest peak with cane sugar whereas 1.88 ± 0.85 mg/mL of production was obtained by beet sugar with the lowest peak. But if the sucrose concentration is increased or decreased, the cell mass production also decreases. It may be due to the increase or decrease of other nutrient source concentrations in fermentation media which can cause inappropriate conduct to A. oryzae Isl-9 during shaking investigated by Carlile et al.42. The same outcome was revealed in Yu et al.43 studies for the production of β-glucosidase while Liao et al.44 presented a production of β-glucosidase with 2% (w/v). Olajuyigbe et al.45 reported the β-glucosidase production with 1% (w/v) under submerged culture.
Effect of different carbohydrate sources (a), and different potassium sources (b) on the production of β-glucosidase from A. oryzae Isl-9 under submerged culture with K2HPO4 0.1% (w/v) in 60 min at 30 °C and error bars at ρ ≤ 0.05 indicating standard deviation amongst the values.
Effect of different Potassium sources
The effects from different sources of potassium were evaluated for the enzyme production by submerged fermentation through A. oryzae Isl-9 strain and the comparison between potassium sources used is given in Fig. 4b. These potassium sources were KH2PO4 and K2HPO4 with different concentrations from 0.025, to 0.15% (w/v) with a variation of 0.025. The high β-glucosidase production was achieved by using KH2PO4 (0.075% w/v). The maximum β-glucosidase production was attained by large pellets construction with this potassium source than any other sources. The highest β-glucosidase activity at 4.01 ± 0.87 U/mg was acquired by optimized KH2PO4 concentration whereas β-glucosidase activity at 3.38 ± 0.98 U/mg was obtained with K2HPO4 concentration. The highest peak with KH2PO4 was obtained as 2.67 ± 0.96 mg/mL while the lowest peak was 2.25 ± 0.89 mg/mL with K2HPO4. The potassium source KH2PO4 played an important role in the maintenance of pH in fermentation media and both sources provided phosphates to microbe in media attaining optimal conditions. The cellular transport enhanced in the media is also ascribed by KH2PO4. The concentration of KH2PO4 is (0.5% w/v) utilized for the production of β-glucosidase via submerged fermentation media production. Later the 0.3% (w/v) concentration of KH2PO4 was used in Molina et al.46 investigation. Results are related to Olajuyigbe et al.45 as 0.08% (w/v) concentration of KH2PO4 was utilized for better production of the enzyme.
Effect of different time intervals
The variation between periods for the β-glucosidase activity assay and their effects are given in Fig. 5a. The β-glucosidase produced by submerged culture medium through A. oryzae strain Isl-9. The reaction solution was all set in test tubes having 0.1 mL of filtrate from submerged medium, phosphate buffer (0.2 mL), p-NPG (0.2 mL), and then 2.5 mL of Na2CO3 was used as blockage for the reaction with periods of 30 and 60 min for incubation. Then comparison between these two time periods was evaluated to find out the highest β-glucosidase activity. With 60 min, the highest β-glucosidase activity was achieved as 2.58 ± 0.67 U/mg, and lower β-glucosidase activity was acquired by a 30 min time period. In this Fig, the time of incubation with 60 min showed the utmost peak of 2.31 ± 0.07 mg/mL and the smallest peak of 2.06 ± 0.04 mg/mL with 30 min. The results showed a resemblance to the work of Almeida et al.47. The enzyme activity was attained by evaluating the quantity of p-NP freed from p-NPG.
Effect of different time intervals (a), and different temperatures (b) on the production of β-glucosidase from A. oryzae Isl-9 under submerged culture with cane sugar 4.5% (w/v), KH2PO4 0.075% (w/v) at 30 °C and error bars at ρ ≤ 0.05 indicating standard deviation amongst the values.
Effect of different incubation temperatures
The effects of the different temperatures of incubation to produce the enzyme from A. oryzae strain through submerged fermentation were attained as given in Fig. 5b. The temperatures for the incubation were from 24 °C, 30 °C, 36 °C, to 42 °C for the comparison of optimization. The high β-glucosidase production was attained at 30 °C. The maximum β-glucosidase production was achieved by presenting large pellets with this optimized temperature than that of the pellets with other temperatures. The uppermost β-glucosidase activity at 5.55 ± 0.081 U/mg was obtained through 30 °C whereas the β-glucosidase activity for other 3 other temperatures was 4.79 ± 0.003, 4.58 ± 0.06 as well as 3.97 ± 0.008 U/mg. The temperature of 30 °C showed the highest peak with 5.0 ± 0.481 mg/mL and the peak with 4.51 ± 0.25 mg/mL was at 24 °C whereas the lowest peaks at 4.12 ± 0.48 mg/mL and 3.37 ± 0.59 mg/mL at 36 °C and 42 °C. The estimated incubation temperature (30 °C) was achieved as the enzyme became inactivated if the temperature became low or higher than this optimized temperature. The stability of the enzyme was significantly affected by other temperatures than this as high temperature can cause denaturation. This parameter was also followed in Yu et al.43 research studies. The effect of temperature was furthermore given by Yuksekdag et al.48 which has great influence on the specific enzyme activity. The temperature 32 °C was utilized by Molina et al.46 as an optimized temperature for the higher production of β-glucosidase with great specific activity.
Characterization of Al2O3 NCs
UV visible spectroscopy
The analysis showed absorbance that corresponds to different ranges of wavelength from 200 nm to 800 nm for several samples of various natures. The sample got enlightened through the rays passed by it; this showed the level of absorbance given by De Caro and Claudia25. The sturdy bands calculated under a wavelength of 300 nm for the Al2O3 NCs as given in Fig. 6a. In these spectra, it was presented the line with distilled water as a solvent to Al2NO3 has the lowest peak having 0.1 of absorbance with wavelength at 210 nm. The other line presented Al2NO3 in C. cajan leaf extract as a solvent having a maximum peak at 210 nm of wavelength and absorbance of 0.7. The ODs for both samples were 0.487 and 0.213 for leaf extract and distilled water respectively which showed a higher value for leaf extract as a solvent. The various concentrations of aluminum nitrate were taken for the comparison of optimized results intended for the green synthesis of aluminum oxide NCs as given in Fig. 6b. The spectra showed the green synthesis of Al2O3 NCs by using different concentrations of Al2NO3 for the synthesis of Al2O3 NCs. One line that presented 60 mM showed the maximum peak with 3.75 absorbance at 200 nm as well as the minimum peak with 3.0 absorbance at 225 nm of wavelength. The smallest peak with 75 mM was with an absorbance of 2.5 at 210 nm of wavelength. The optimized concentration of 30 mM with an absorbance of 3.0 showed its peak at 230 nm and the other larger peak with an absorbance of 3.25 at 215 nm of wavelength.
UV-VIS absorption spectrum (a) effect of different solutions (b) effect of different concentrations of Al2NO3.
Fourier transform infrared spectroscopy (FTIR)
By using FTIR spectra were gained with a decree (8 cm− 1). The transmission range was from 400 cm− 1 to 4000 cm− 1 used for FTIR26. These spectra presented the occurrence of formLess arrangement and also the chaotic structure between both free and cross-linked enzymes in the peaks. This showed the existence of an improved crystallized point after that presence for the Al2O3 NCs also distinguished in these spectra. Notably, the incorporation of Al2O3 nanocomposites is evident in the immobilized enzyme spectra, as indicated by distinct peaks at 561, 599, and 665 cm− 1. These peaks correspond to the Fe–O stretching vibrations and the Al–O stretching mode of AlO6, respectively, confirming the participation of these functional groups in the synthesis and stabilization of Al2O3 NCs. The results were in correspondence to Romero et al.49 as shown in Fig. 7.
Fourier transform infrared spectra for comparison between free and Al2O3 immobilized enzyme.
X-ray diffraction (XRD)
XRD method for Al2O3 NCs cross-linked β-glucosidase was employed as given in Fig. 8. This happened by the scan rate at 0.05/s from ranging in 10–80 degrees. The trial section started with the preparation of the sample in powdered form. The device produced a wavelength of 0.15406 nm by utilizing copper anode as presented by Tsybulya and Kryukovaa27, . The crystalline arrangement of Al2O3 NCs depicted peaks accessible at 10.17, 13.32, 17.83, 27.91, 32.25, 38.92, and 45.56 with real intensities of about 100, 85, 40, 22, 25, 35 and 20% respectively. The crystalline nature of Al2O3 NCs plays a pivotal role in enhancing the immobilization and activity of β-glucosidase, as the ordered lattice structure facilitates stable interactions between the enzyme and the support material. Similar trends have been observed results investigated from Talaei et al.50 who demonstrated the significance of crystallinity in nanocomposites for improving enzyme functionality. The size investigation by XRD has shown that NCs have 51.5 nm size. The similar results from XRD spectra were also analogous as evaluated by Piriyawong et al.51 investigation.
XRD patterns of Al2O3 NCs.
SEM
The Al2O3 NCs size distribution was acquired by calculating the sizes of all particles in the sample. All organic and inorganic subjects can be measured on the nanoscale of SEM. The results are shown in Fig. 9. Different magnifications for (1 μm at 5.00 KX in Fig. 9d μm at 1.01, 2.00, and 3.00 KX in Fig. 9a, b,c were exploited to have the micrographs from the sample containing Al2O3 NCs. The size of the particles in the sample was obtained through the software of image J as 41.8 nm as shown in Fig. 10. The cumulative particles known as aggregate were performed by different angles at 1 μm to obtain micrographs. The micrographs presented normally the nature as well as the shape of particles in the sample as presented by Guo et al.2.
SEM micrographs of Al2O3 NCs immobilized β-glucosidase resolved at different magnifications.
Histogram of size analysis of Nanoparticles.
Zeta potential measurements
The results are shown in Fig. 11. The highest peak for zeta potential was ˗21.0 mV which showed the NCs having a negative charge and dispersed in the medium. The negative value of zeta potential suggested that the NCs were stable. The particles in the sample with zeta potential was enough negative than ˗30 mV were usually measured secured and in 180 min, 0.8% v/v of concentration was sonicated providing similar results also investigated in Khoshnevisan and Barkhi52 studies. The stability observed can be attributed to the surface chemistry of the Al2O3 NCs, which provides sufficient repulsion between particles. The negatively charged surface arises from the deprotonation of hydroxyl groups or the adsorption of negatively charged species in the medium. Such behavior has been widely reported in the literature, where the surface charge of metal oxides like Al2O3 plays a crucial role in stabilizing NCs53.
Zeta potential distribution.
Optimization of biotransformation of sophoricoside to genistein
Effect of substrate level
For the optimal substrate level intended to biotransform the sophoricosidase for in-suit genistein production by free β-glucosidase and Al2O3 NCs cross-linked β-glucosidase, its effects were employed. As an optimizing parameter, substrate level gained a significant role for further studies. The diverse phenolic compounds from the natural sources used in food technology and biological activities; act as anticancers54, anti-allergic, anti-inflammatory, antioxidant, and antidepressant55. The different volumes of substrate levels as C. cajan leaf extract from 0.5, 1, 1.5, 2, 2.5, to 3 mL) were utilized as 2 mL for both free β-glucosidase as well as the Al2O3 NCs cross-linked β-glucosidase. After that the volume in the test tubes containing both enzymes, the volume raised to 5 mL. The comparison between both free and Al2O3 NCs cross-linked β-glucosidase was obtained by spectrophotometer at 300 and 325 nm respectively as given in Fig. 12a. The process of biotransformation held for the 3 days at 35 °C through incubation at 160 rpm. The free and Al2O3 NCs cross-linked β-glucosidase with wavelengths of 300 and 325 nm created iso-flavones with 1.11 ± 0.38, 0.62 ± 0.36, and 1.2 ± 0.68 as well as 0.61 ± 0.39 mg/mL, correspondingly. The optimized level of substrate (C. cajan leaf extract) as 2.5% v/v was achieved at 300 nm. The Al2O3 NCs cross-linked β-glucosidase illustrated greater outputs than that of free β-glucosidase. The highest yield production of genistein was obtained with immobilized enzyme at 300 nm than free enzyme. It was the optimum level of substrate that produced a good yield of genistein; if the substrate level increased or decreased the yield decreased with it. There was a resemblance of the research results for this parameter to the Singhvi and Zinjarde56 investigation on biotransformation for conversion of glycosides to isoflavones. The C. cajan leaf extract level utilized in Mei et al.4 studies.
Effect of different substrate levels (a), and different enzyme concentrations (b) on the biotransformation of natural sophoricoside (in C. cajan leaf extract) to genistein by free and immobilized β-glucosidase with rate of biotransformation 72 h, enzyme concentration 2 mL (v/v) and error bars at ρ ≤ 0.05 indicating standard deviation amongst the values.
Effect of different enzyme concentrations
The effects of using the several changed concentrations of β-glucosidase were employed for the demonstration of optimal to convert natural sophoricoside to suit genistein production. Both the free β-glucosidase and Al2O3 NCs cross-linked β-glucosidase enzymes were compared to which one has the best production of genistein. The results demonstrated that the immobilized enzyme achieved superior genistein yields compared to its free counterpart under identical reaction conditions, as shown in Fig. 12b. These findings are consistent with previous studies highlighting the advantages of enzyme immobilization in improving catalytic efficiency, stability, and reusability. For the optimization study, various concentrations of enzymes (0.25, 0.5, 0.75, 1.0, 1.25, 1.5, 1.75, 2.0% v/v) were tested, maintaining a substrate concentration of 2.5% v/v and a reaction time of 48 h. The optimal enzyme concentration for both free and immobilized β-glucosidase was found to be 1.0% v/v. At this concentration, the immobilized enzyme achieved a maximum genistein yield which was significantly higher than the free enzyme. The superior performance of the Al2O3 NCs cross-linked enzyme can be attributed to the enhanced stability and reduced diffusional limitations provided by the immobilization matrix57. Moreover, the immobilized enzyme exhibited consistent activity over the extended incubation period of 72 h, maintaining its efficiency under continuous agitation at 35 °C. There was increased production of isoflavones with the immobilized enzyme achieving a concentration of 1.3 ± 0.66 mg/mL compared to 0.67 ± 0.42 mg/mL for the free enzyme and these results were similar to that of Pandjaitan et al.58. Compared to free enzymes, immobilized enzymes demonstrated a two-fold increase in isoflavone production suggesting their potential for industrial-scale applications.
Conclusion
Most patients want to seek natural compounds as an alternative medicine for treatment rather than anti-inflammatory drugs that are accompanied by undesirable effects. That’s why this study is an effort to find an innovative and cost-effective approach of producing genistein by immobilizing fungal β-glucosidase on Al2O3 nanocrystals synthesized using Cajanus cajan (pigeon pea) leaf extracts. The β-glucosidase production by submerged culture was performed and then the highest specific enzyme activity was obtained by immobilization on Al2O3 NCs synthesized by leaf extracts. Both the free β-glucosidase and Al2O3 NCs cross-linked β-glucosidase were compared for the in-situ production of genistein by natural sophoricosidase. All the results from different analyses are remarkably promising and futuristic for the long-lasting effects of genistein in cancer cells, the pathogenesis of asthma, obesity, arthritis, and neurodegenerative diseases. This method of genistein production is cost-effective and has a high yield with no side products. Moreover, these findings emphasize the green synthesis of nanocrystals, optimized enzyme activity, and biotransformation efficiency, offering substantial potential for applications in biomedicine and biotechnology.
Data availability
All the data is contained within the article.
References
Makkliang, F. et al. Transformation of Pueraria Candollei var. Mirifica phytoestrogens using immobilized and free β-glucosidase, a technique for enhancing estrogenic activity. RSC Adv. 11, 32067–32076 (2021).
Guo, Y. et al. Comparative studies on ZIF-8 and SiO₂ nanoparticles as carrier for immobilized β-glucosidase. Mol. Catal. 459, 1–7 (2018).
Hati, S., Ningtyas, D. W., Khanuja, J. K. & Prakash, S. β-Glucosidase from almonds and yoghurt cultures in the biotransformation of isoflavones in soy milk. Food Biosci. 34, 100542 (2020).
Mei, J. et al. A Biotransformation process for production of Genistein from Sophoricoside by a strain of Rhizopus oryza. Sci. Rep. 9, 6564 (2019).
Zhang, X. et al. Mechanism of differential expression of β-glucosidase genes in functional microbial communities in response to carbon catabolite repression. Biotechnol. Biofuels Bioprod. 15, 3 (2022).
Suleiman, W. B. A multi-aspect analysis of two analogous aspergillus spp. belonging to section Flavi: aspergillus flavus and aspergillus oryzae. BMC Microbiol. 23, 71 (2023).
Jin, F. J., Hu, S., Wang, B. T. & Jin, L. Advances in genetic engineering technology and its application in the industrial fungus aspergillus oryzae. Front. Microbiol. 12, 644404 (2021).
Shin, K. C. et al. Production of Daidzein and Genistein from seed and Root extracts of Korean wild soybean (Glycine soja) by Thermostable β-Galactosidase from Thermoproteus uzoniensis. Appl. Sci. 12, 3481 (2022).
Ariaeenejad, S. et al. A novel high glucose-tolerant β-glucosidase: targeted computational approach for metagenomic screening. Front. Bioeng. Biotechnol. 8, 813 (2020).
Modrackova, N., Vlkova, E., Tejnecky, V. & Schwab, C. Neuzil-Bunesova, V. Bifidobacterium β-glucosidase activity and fermentation of dietary plant glucosides is species and strain specific. Microorganisms 8, 839 (2020).
Hu, Y. et al. Study on the biochemical characterization and selectivity of three β-glucosidases from Bifidobacterium adolescentis ATCC15703. Front. Microbiol. 13, 860014 (2022).
Neesa, L., Islam, R., Jahan, N. & Zohora, U. S. Shahedur Rahman, M. Optimization of culture conditions and reaction parameters of β-glucosidase from a new isolate of Bacillus subtilis (B1). J. Appl. Biotechnol. Rep. 7, 152–158 (2020).
Jäger, S., Brumbauer, A., Fehér, E., Réczey, K. & Kiss, L. Production and characterization of β-glucosidases from different Aspergillus strains. at (2001).
Fuller, D. Q., Murphy, C., Kingwell-Banham, E., Castillo, C. C. & Naik, S. Cajanus cajan (L.) Millsp. Origins and domestication: the South and Southeast Asian archaeobotanical evidence. Genet. Resour. Crop Evol. 66, 1175–1188 (2019).
Perincherry, L., Ajmi, C., Oueslati, S., Waśkiewicz, A. & Stępień, Ł. Induction of Fusarium lytic enzymes by extracts from resistant and susceptible cultivars of pea (Pisum sativum L). Pathogens 9, 976 (2020).
Pal, D., Mishra, P., Sachan, N. & Ghosh, A. K. Biological activities and medicinal properties of Cajanus cajan (L) Millsp. J. Adv. Pharm. Technol. Res. 2, 207–214 (2011).
Orni, P. R., Ahmed, S. Z., Monefa, M., Khan, T. & Dash, P. R. Pharmacological and phytochemical properties of Cajanus cajan (L.) Huth.(Fabaceae): a review. Int. J. Pharm. Sci. Res. 3, 27–37 (2018).
Khan, I., Saeed, K. & Khan, I. Nanoparticles: Properties, applications and toxicities. Arab. J. Chem. 12, 908–931 (2019).
Dutt, A. & Upadhyay, L. S. B. Synthesis of cysteine-functionalized silver nanoparticles using green tea extract with application for lipase immobilization. Anal. Lett. 51, 1071–1086 (2018).
da César, I. Quantitation of genistein and genistin in soy dry extracts by UV-Visible spectrophotometric method. Quim. Nova. 31, 1933–1936 (2008).
Ghasemi Goorbandi, R., Mohammadi, M. R. & Malekzadeh, K. Synthesizing efficacious genistein in conjugation with superparamagnetic Fe3O4 decorated with bio-compatible carboxymethylated chitosan against acute leukemia lymphoma. Biomater. Res. 24, 9 (2020).
Ali, S. & Khalid, S. W. Kinetic and Parametric Optimization for the enhanced production of a Novel Fungal Exoinulinase under Liquid Culture. Pak J. Zool. 52, (2020).
Abdullah, R. et al. Enhanced production of ß-glucosidase by locally isolated fungal strain employing submerged fermentation. Biosci. j. (Online) 1552–1559 (2019).
Manikandan, V. et al. Green synthesis of pH-responsive Al2O3 nanoparticles: application to rapid removal of nitrate ions with enhanced antibacterial activity. J. Photochem. Photobiol Chem. 371, 205–215 (2019).
De Caro, C. & Claudia, H. UV/VIS Spectrophotometry - Fundamentals and Applications. (2015).
Djebaili, K., Mekhalif, Z., Boumaza, A., Djelloul, A. & XPS FTIR, EDX, and XRD analysis of Al2O3 scales grown on PM2000 alloy. J. Spectrosc. 868109 (2015). (2015).
Tsybulya, S. V. & Kryukova, G. N. New X-ray powder diffraction data on δ-Al2O3. Powder Diffr. 18, 309–311 (2003).
Béjar, L. et al. Study by SEM of Carbon Nanotubes Deposited by CVD using Al2O3 and TiO2 as catalysts. Microsc Microanal. 25, 2384–2385 (2019).
Clogston, J. D. & Patri, A. K. Zeta Potential Measurement. in Characterization of Nanoparticles Intended for Drug Delivery (ed McNeil, S. E.) 63–70 (Humana, Totowa, NJ, doi:https://doi.org/10.1007/978-1-60327-198-1_6. (2011).
Watanabe, A., Suzuki, M., Ujiie, S. & Gomi, K. Purification and enzymatic characterization of a novel β-1, 6-glucosidase from aspergillus oryzae. J. Biosci. Bioeng. 121, 259–264 (2016).
Chen, A. et al. Structural and catalytic characterization of TsBGL, a β-glucosidase from Thermofilum sp. ex4484_79. Front. Microbiol. 12, 723678 (2021).
Bradford, M. M. A rapid and sensitive method for the quantitation of microgram quantities of protein utilizing the principle of protein-dye binding. Anal. Biochem. 72, 248–254 (1976).
Mahitha, B. et al. In vitro antioxidant and pharmacognostic studies of leaf extracts of Cajanus cajan (L.) Millsp. Indian J. Pharm. Sci. 77, 170 (2015).
Emanuil, N. et al. Peptone-induced physio-biochemical modulations reduce cadmium toxicity and accumulation in spinach (Spinacia oleracea L). Plants 9, 1806 (2020).
Wu, N. et al. Antioxidant activities of extracts and main components of pigeonpea [Cajanus cajan (L.) Millsp.] Leaves. Molecules 14, 1032–1043 (2009).
Nehra, S., Singh, S., Sangwan, S. & Rani, S. Antioxidant activity of pod coat extracts of Pigeon pea (Cajanus Cajan L.) and their efficacy in Stabilization of Soybean Oil. J. Antioxid. Act. 2, 42–50 (2021).
Manzo, J. A. M. & Vitor, I. I. Antihyperglycemic effects of Cajanus cajan L.(pigeon pea) ethanolic extract on the blood glucose levels of ICR mice (Mus musculus l). Natl. J. Physiol. Pharm. Pharmacol. 7, 860 (2017).
Rinthong, P. & Maneechai, S. Total phenolic content and tyrosinase inhibitory potential of extracts from Cajanus cajan (L.) Millsp. Pharmacogn J. 10, (2018).
Babu Nagati, V. et al. Green synthesis and characterization of silver nanoparticles from Cajanus cajan leaf extract and its antibacterial activity. Int. J. Nanomater Biostruct. 2, 39–43 (2012).
Raghuwanshi, A., Dudeja, S. S. & Khurana, A. L. Effect of temperature on flavonoid production in pigeonpea [Cajanus cajan (L) Millsp] in relation to nodulation. Biol. Fertil. Soils. 17, 314–316 (1994).
Zhang, Q. W., Lin, L. G. & Ye, W. C. Techniques for extraction and isolation of natural products: a comprehensive review. Chin. Med. 13, 1–26 (2018).
Carlile, M. J., Watkinson, S. C. & Gooday, G. W. 8 - Fungi and Biotechnology. in (eds. Carlile, M. J., Watkinson, S. C. & Gooday, G. W. B. T.-T. F. (Second E.) 461–542Academic Press, London, (2001). https://doi.org/10.1016/B978-012738445-0/50025-3
Yu, H. L., Xu, J. H., Lu, W. Y. & Lin, G. Q. Identification, purification and characterization of β-glucosidase from apple seed as a novel catalyst for synthesis of O-glucosides. Enzyme Microb. Technol. 40, 354–361 (2007).
Liao, J., Zhang, S. & Zhang, X. Effects of mixed adding crude extracts of β-glucosidases from three different non-saccharomyces yeast strains on the quality of Cabernet Sauvignon wines. J. Fungi. 8, 710 (2022).
Olajuyigbe, F. M., Nlekerem, C. M. & Ogunyewo, O. A. Production and characterization of highly thermostable β-glucosidase during the biodegradation of methyl cellulose by Fusarium oxysporum. Biochem. Res. Int. 3978124 (2016). (2016).
Molina, G., de Lima, E. A., Borin, G. P., de Barcelos, M. C. S. & Pastore, G. M. in Chapter 7 - Beta-Glucosidase from Penicillium. 137–151 (eds Gupta, V. K. & Rodriguez-Couto, S. B. T. N.) (Elsevier, 2018). https://doi.org/10.1016/B978-0-444-63501-3.00007-7
Almeida, J. M., Lima, V. A., Giloni-Lima, P. C. & Knob, A. Passion fruit peel as novel substrate for enhanced β-glucosidases production by Penicillium Verruculosum: potential of the crude extract for biomass hydrolysis. Biomass Bioenerg. 72, 216–226 (2015).
Yuksekdag, Z., Cinar Acar, B., Aslim, B. & Tukenmez, U. β-Glucosidase activity and bioconversion of isoflavone glycosides to aglycones by potential probiotic bacteria. Int. J. Food Prop. 20, S2878–S2886 (2017).
Romero Toledo, R., Ruíz Santoyo, V. & Moncada Sánchez, D. Martínez Rosales, M. Effect of aluminum precursor on physicochemical properties of Al2O3 by hydrolysis/precipitation method. Nov Sci. 10, 83–99 (2018).
Talaei, A. J. et al. Fabrication of inorganic alumina particles at nanoscale by a pulsed laser ablation technique in liquid and exploring their protein binding, anticancer and antipathogenic activities. Arab. J. Chem. 14, 102923 (2021).
Piriyawong, V., Thongpool, V., Asanithi, P. & Limsuwan, P. Preparation and characterization of alumina nanoparticles in deionized water using laser ablation technique. J. Nanomater. 1–6 (2012). (2012).
Khoshnevisan, K. & Barkhi, M. Information about zeta potential. Encycl Membr. 2063–2064 (2015).
Manjunath, L. S. et al. Strontium oxide–barium oxide–Aluminium oxide ternary nanocomposite: photoluminescence and electrochemical analysis for display and supercapacitor applications. Mater. Sci. Eng. B. 305, 117378 (2024).
Tuli, H. S. et al. Molecular mechanisms of action of genistein in cancer: recent advances. Front. Pharmacol. 10, 1336 (2019).
Amer, A., Kashfa, B. & Bibi, A. Microbial β-glucosidase: sources, production and applications. J. Appl. Environ. Microbiol. 5, 31–46 (2017).
Singhvi, M. S. & Zinjarde, S. S. Production of pharmaceutically important genistein and daidzein from soybean flour extract by using β-glucosidase derived from Penicillium Janthinellum NCIM 1171. Process. Biochem. 97, 183–190 (2020).
Das, R., Dwevedi, A. & Kayastha, A. M. Current and future trends on polymer-based enzyme immobilization. Polym. Support Enzym Immobil. Lond. UK Elsevier 1–25 (2021).
Pandjaitan, N., Hettiarachchy, N. & Ju, Z. Y. Enrichment of Genistein in soy protein concentrate with b-glucosidase. J. Food Sci. 65, 403–407 (2000).
Acknowledgements
The authors extend their appreciation to the Researchers Supporting Project number (RSP2025R418), King Saud University, Riyadh, Saudi Arabia.
Funding
This research received no external funding.
Author information
Authors and Affiliations
Contributions
A.I: Conceptualization, methodology, software, data curation, writing – original draft; S.A., M.U.A: Methodology, validation, investigation, resources, visualization, supervision, draft revision for reviewers’ comments; M.U.H., Z.S.: Software, data curation, project administration, formal analysis, visualization; S.E: Methodology, investigation, validation, project administration; B.A. R.M.A. M.S.E.: Software, data curation, writing - review and editing, visualization; M.A.J., T.M.: Data curation, validation, formal analysis, resources, funding acquisition.
Corresponding authors
Ethics declarations
Competing interests
The authors declare no competing interests.
Additional information
Publisher’s note
Springer Nature remains neutral with regard to jurisdictional claims in published maps and institutional affiliations.
Rights and permissions
Open Access This article is licensed under a Creative Commons Attribution-NonCommercial-NoDerivatives 4.0 International License, which permits any non-commercial use, sharing, distribution and reproduction in any medium or format, as long as you give appropriate credit to the original author(s) and the source, provide a link to the Creative Commons licence, and indicate if you modified the licensed material. You do not have permission under this licence to share adapted material derived from this article or parts of it. The images or other third party material in this article are included in the article’s Creative Commons licence, unless indicated otherwise in a credit line to the material. If material is not included in the article’s Creative Commons licence and your intended use is not permitted by statutory regulation or exceeds the permitted use, you will need to obtain permission directly from the copyright holder. To view a copy of this licence, visit http://creativecommons.org/licenses/by-nc-nd/4.0/.
About this article
Cite this article
Ali, S., Ejaz, A., Hayyat, M.U. et al. Cross-linking of fungal β-glucosidase on Al2O3 nanocrystals synthesized using Cajanus cajan L. Millsp. extracts for in suit genistein manufacture. Sci Rep 15, 6810 (2025). https://doi.org/10.1038/s41598-025-89973-3
Received:
Accepted:
Published:
Version of record:
DOI: https://doi.org/10.1038/s41598-025-89973-3















