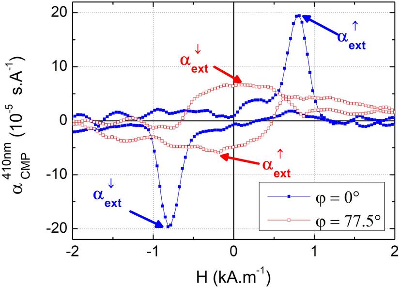
Figure 2

Magnetic field dependencies of converse magnetophotostrictive coupling coefficients. The FeGaLa/PMN-PZT converse magneto-photostrictive coupling coefficient, \(\alpha _{\textrm{CMP}}^\mathrm {410 \, nm}\), along \(\varphi ={0}^\circ\) (filled-in blue squares) and \(\varphi =77.5^\circ\) (red squares), as estimated from the magnetization M versus magnetic field H data presented in Fig. 1. For a given angle, \(\alpha ^\downarrow _\textrm{ext}\) is the converse magneto-photostrictive coupling coefficient extremum value when H decreases. For a given angle, \(\alpha ^\uparrow _\textrm{ext}\) is the converse magneto-photostrictive coupling coefficient extremum value when H increases. \(\varphi\) is the angle between the applied magnetic field H and the [100] direction of the substrate.