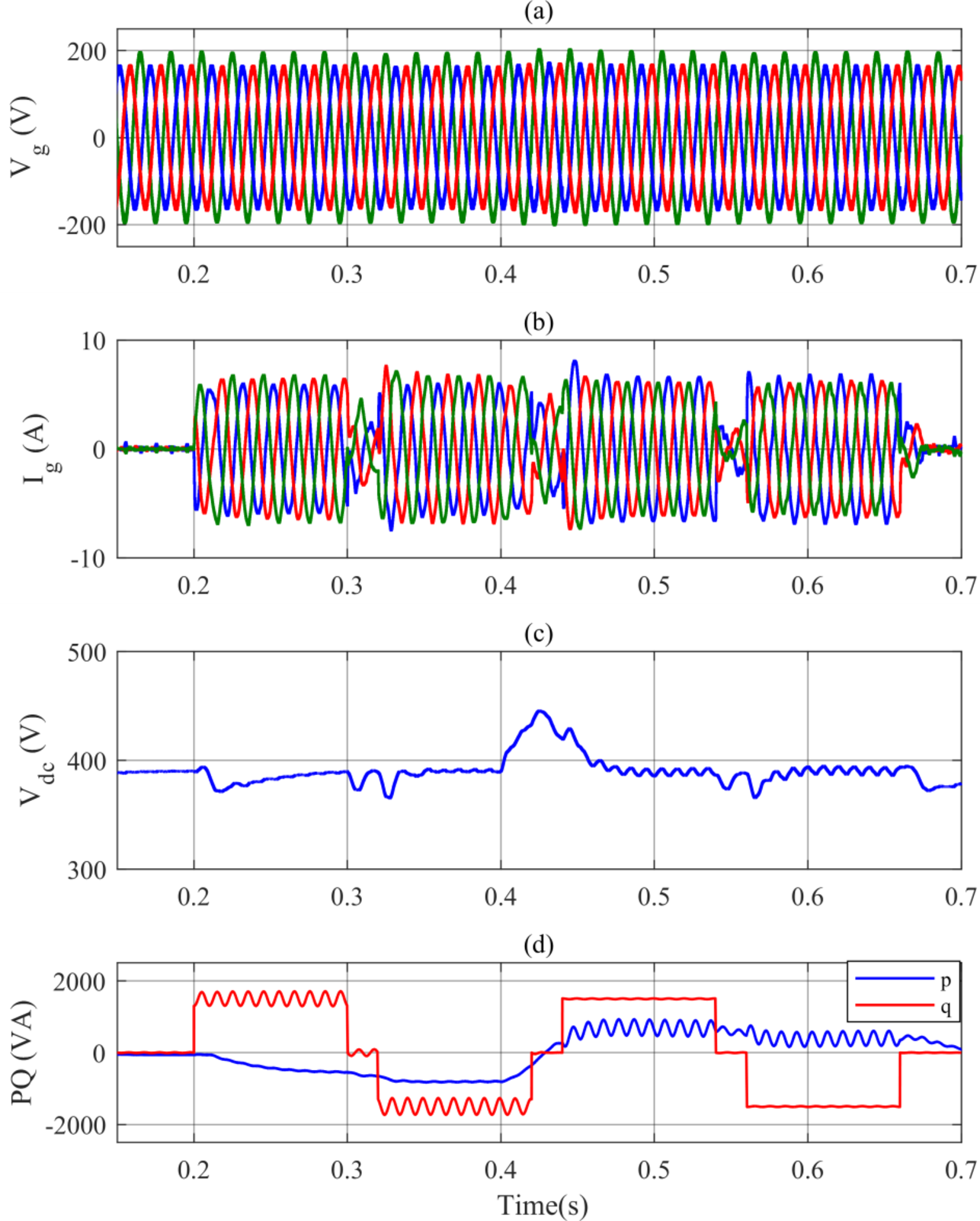
Fig. 18

Waveforms related to frequent step changes of reactive power. (a) PCC voltages, (b) grid currents, (c) DC-link voltage, (d) active and reactive powers of converter.

Waveforms related to frequent step changes of reactive power. (a) PCC voltages, (b) grid currents, (c) DC-link voltage, (d) active and reactive powers of converter.