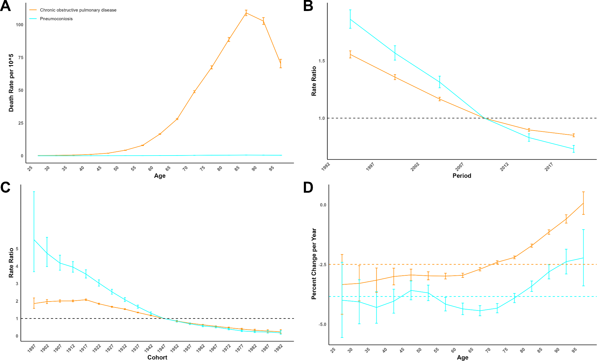
Fig. 3

APC effects on occupational PMGF-attributed CRD mortality by causes: age-specific mortality (A), period RR (B), cohort RR (C), and net drift/local drift (D).

APC effects on occupational PMGF-attributed CRD mortality by causes: age-specific mortality (A), period RR (B), cohort RR (C), and net drift/local drift (D).