Fig. 17
From: A fuzzy rank-based deep ensemble methodology for multi-class skin cancer classification

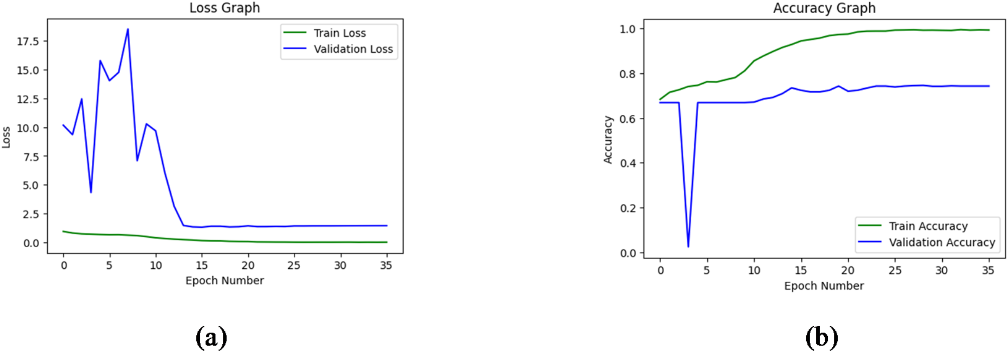
(a) Train versus validation loss; (b) Train versus validation accuracy curve for MobileNetV2 model on DermaMNIST dataset.
From: A fuzzy rank-based deep ensemble methodology for multi-class skin cancer classification

(a) Train versus validation loss; (b) Train versus validation accuracy curve for MobileNetV2 model on DermaMNIST dataset.