Fig. 3
From: Identification of shared genetic loci for asthma, allergic rhinitis, and pollinosis in East Asians

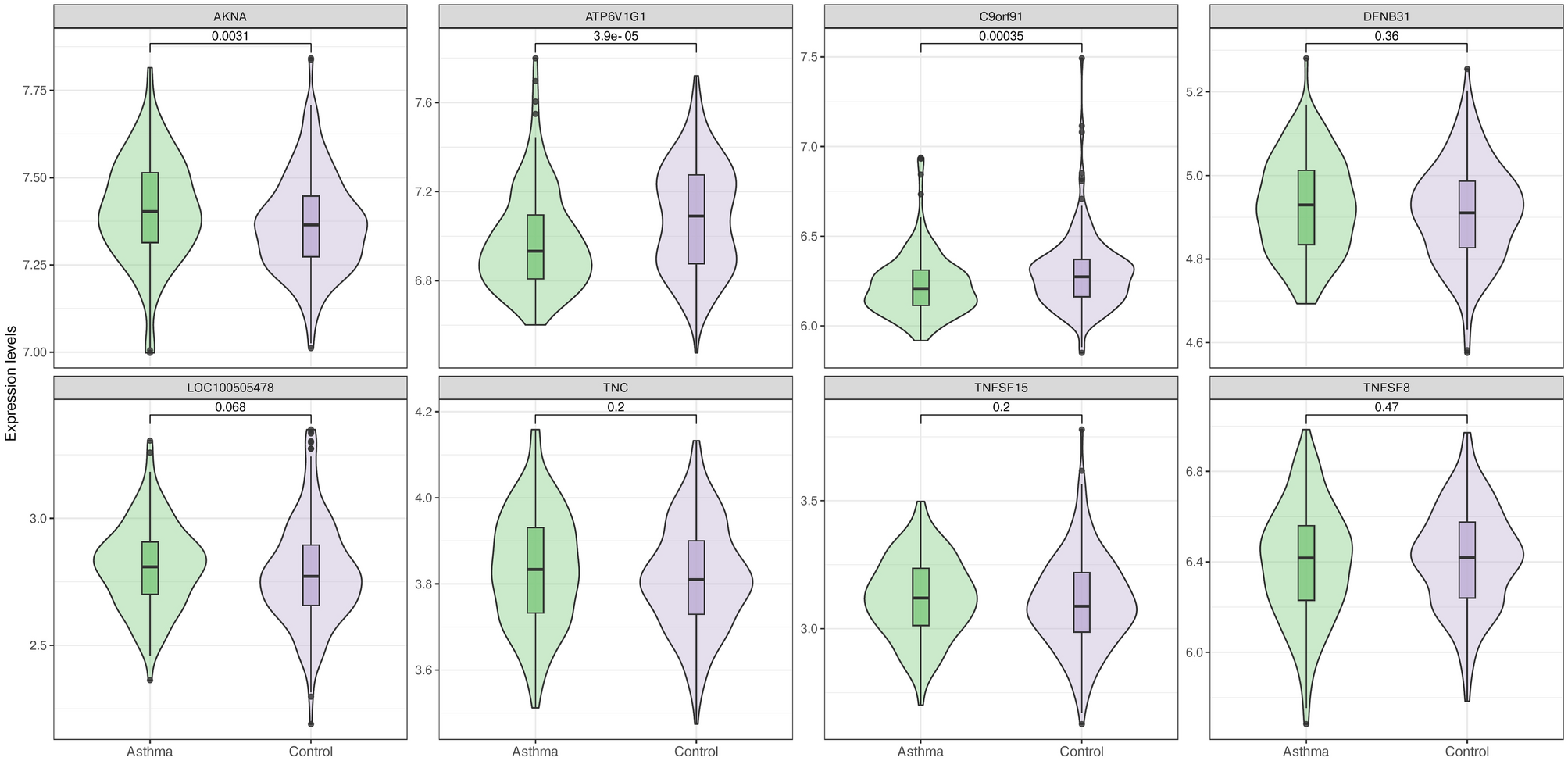
Differential gene expression levels of candidate genes at the 9q32 locus in asthma patients compared to controls. This figure shows the expression levels of candidate genes located at the 9q32 locus, including LOC100505478, TNC, TNFSF15, TNFSF8, AKNA, ATP6V1G1, C9orf91, DFNB31, in asthma patients and healthy controls. Each panel displays the expression data for one gene. The X-axis represents the gene expression levels, and the Y-axis divides the samples into two groups: asthma patients and controls. The dots represent the data points for individual samples, while the lines show the average (mean) expression levels for each group. This allows for comparison of gene expression between asthma patients and controls, highlighting differences that may be associated with the condition.