Fig. 6
From: Effect of IAA on coumarins synthesis in Angelica dahurica under soil compactness stress

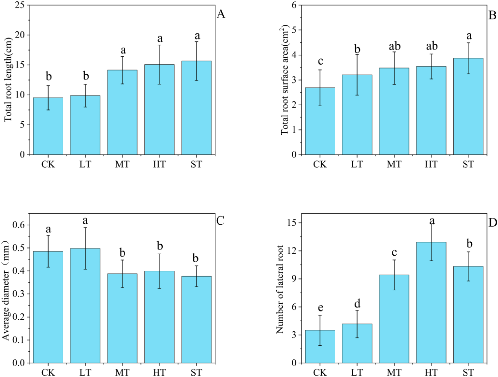
Total root length (A), total root surface area (B), average diameter (C) and number of lateral roots (D) in A. dahurica grown under different concentrations of IAA treatment. CK(control treatment, 0 mg/L), LT(low treatment, 0.3 mg/L ),MT (medium treatment, 0.6 mg/L), HT(high treatment, 0.9 mg/L) and ST(super-high treatment, 1.2 mg/L) represent treatment groups with different concentrations of IAA, respectively. Data are the mean values (n = 15). Letters represent significant differences between treatments (p < 0.05).