Fig. 2
From: An All-Metal Broadband Low SLL slot array antenna for use in 5G Sub-6 GHz networks

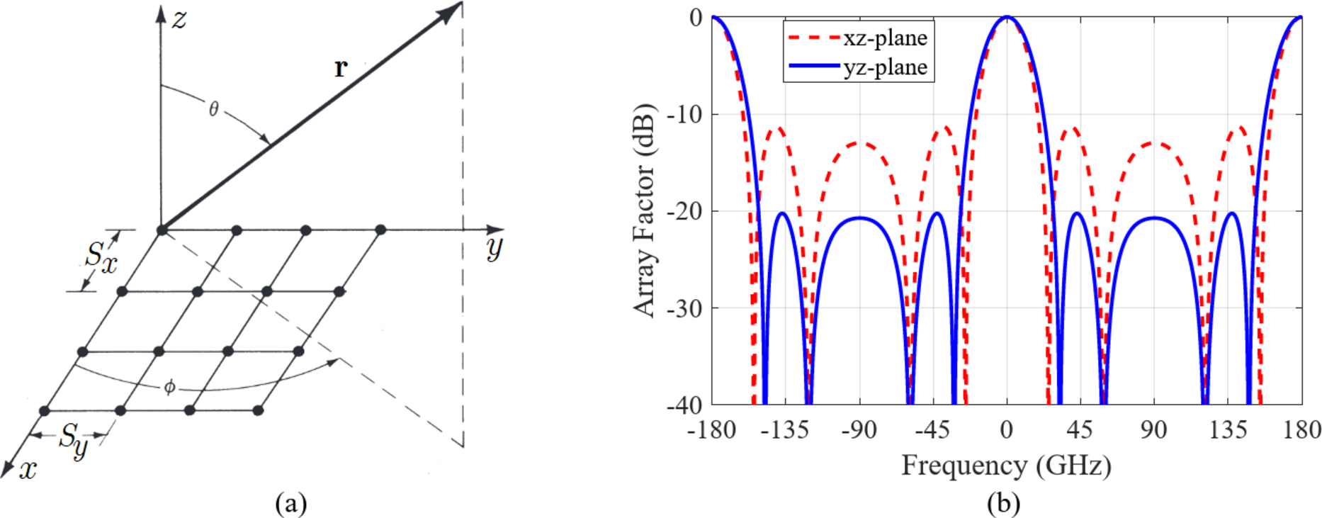
(a) Geometry of 4 × 4-element planar antenna array. (b) Normalized AF in principal planes.
From: An All-Metal Broadband Low SLL slot array antenna for use in 5G Sub-6 GHz networks

(a) Geometry of 4 × 4-element planar antenna array. (b) Normalized AF in principal planes.