Fig. 6
From: An All-Metal Broadband Low SLL slot array antenna for use in 5G Sub-6 GHz networks

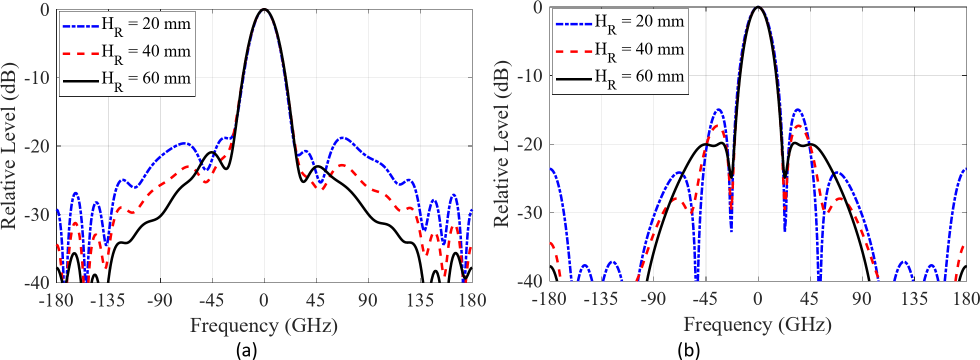
Normalized radiation pattern of cavity-backed slot array with sidewalls with different heights. (a) yz-plane and (b) xz-plane.
From: An All-Metal Broadband Low SLL slot array antenna for use in 5G Sub-6 GHz networks

Normalized radiation pattern of cavity-backed slot array with sidewalls with different heights. (a) yz-plane and (b) xz-plane.