Abstract
Climate change poses significant challenges to marginalised communities, particularly in regions with highly vulnerable populations like rural and tribal communities. This study aims to assess the livelihood vulnerability of tribal households to climate change impacts in the Chhindwara and Dhar districts in Central India, identifying key determinants and geographical variations in vulnerability. Primary data collection involved a multistage sampling procedure where a household survey was conducted across both districts, yielding a sample size of 535 respondents. The climatic data was collected from the India Meteorological department from 1954 to 2023. This study employs a mixed method, including innovative trend analysis for shifts in climatic patterns, standardised precipitation index-1 (SPI-1) for evaluating wet and dry conditions, LVI-IPCC framework applied using survey data to assess vulnerability, and multiple linear regression (MLR) model to determine the determinants of vulnerability. The results indicate significant changes in rainfall and temperature patterns in both regions, indicating increased vulnerability among tribal communities. SPI-1 analysis highlights the shift in precipitation patterns, with implications for agriculture and water availability. The LVI-IPCC results reveal a moderate level of vulnerability among surveyed households, with Dhar exhibiting higher vulnerability than Chhindwara. Furthermore, LVI-IPCC results were validated using other vulnerability assessment approaches. The MLR analysis highlights the significant influence of key determinants, such as primary income source, extreme weather events, access to safe drinking water, and livelihood strategies, on vulnerability, emphasising the importance of addressing socioeconomic disparities and enhancing adaptive capacity. Integrating primary and secondary data enables an inclusive investigation of vulnerability determinants and geographical variations within the study area. It offers evidence-based policy recommendations for augmenting resilience and encouraging sustainable development among tribal communities facing climate change challenges.
Similar content being viewed by others
Introduction
The Intergovernmental Panel on Climate Change (IPCC) 6th Assessment Report predicts a worldwide temperature rise of 1.5 °C, which is expected to intensify climatic threats and disaster1,2. This temperature rise is associated with more severe climate events, such as higher storm surges, flash flooding, severe droughts, land erosion, forest degradation, and relocation of indigenous communities3,4. These occurrences create a significant challenge to the livelihoods of millions of indigenous people2. Developing nations like India, which heavily rely on agriculture and climate-sensitive resources such as water, biodiversity, and forestry, confront additional difficulties because of climate change5,6. These issues include increasing demands on agriculture, ensuring food security, improving infrastructure, maintaining public health, and preserving forest ecosystems7. Several climatic and non-climatic factors impact food security8 and vulnerability. These factors include increasing temperatures, shifting rainfall patterns9, the accessibility of natural resources, socioeconomic changes, gender inequality, social networks, government interferences, geopolitical shifts, loss of traditional knowledge, innovation, and the adoption of new information10,11.
The repercussions of climate change have a higher effect on marginalised populations, incorporating poor, young, old, sick, and tribal communities12. Tribal communities, which mainly depend on regional natural resources like forests, are more exposed to the effects of climate change than urban people13. Their close relationship with nature for livelihoods, culture, and health intensifies their susceptibility14. Forest ecosystems provide diverse economic and social benefits, including job opportunities, forest resources, and cultural protection15. Approximately 100 million people in India reside in forested areas, mostly tribal communities that sustain themselves by collecting and selling non-timber forest products (NTFPs)14,16. These items play a crucial part in their lives globally. Forest-dependent populations, such as nomadic tribes, are among the most vulnerable to the impacts of climate change on forests17,18. India’s tribal population constitutes 8.6%, while in Madhya Pradesh, 21.1% belongs to scheduled tribes, with 43 distinct tribal groups living there19. Major tribal communities in the research include the Bhil, Gond, Pardhan, Bharia, Mawasi, and Kharia. The Bhil is the most tribal populous (37.7%), followed by the Gond at 35.6% of the total scheduled tribal population. These tribal communities are severely impacted by climate change, worsening their current social and economic issues.
It is important to comprehend the factors contributing to livelihood vulnerability to address the local climate-related concerns20. A comprehensive and complex method is important to evaluate vulnerability, concentrating on three components: exposure, sensitivity, and adaptive capacity5,11,12,21 (Fig. 1). Exposure consists of variations in climate and extreme natural events, and sensitivity encompasses land and infrastructure, food security, social security, water access, and health, and adaptive capacity includes awareness, socio-demographic profiles, financial stability, livelihood strategies, and social networks. Birkmann et al. (2022) also developed the World Risk Index, which assesses risk by combining exposure to natural hazards with vulnerability factors, including susceptibility, lack of coping, and adaptive capacities. An indicator-based method is commonly taken to quantify these factors, suggesting context-based understandings of socially controlled causes of vulnerability, community requirements, and adaptive solutions. Several approaches exist for measuring vulnerability: quantitative model-based techniques22, qualitative participatory models22, and indicator-based methods. These methodologies may be coupled to offer thorough vulnerability evaluations. Qualitative techniques depend on interviews and focus group discussions to reflect regional perceptions of vulnerability23, whereas quantitative model-based models employ methodologies such as the Ricardian method and GIS-based tools to analyse risk from a natural sciences viewpoint24. Indicator-based methods integrate qualitative and quantitative methodologies, including data from censuses, surveys, and climatic records2,12. Indexes like the Agricultural Vulnerability Index, Socioeconomic Vulnerability Index, Climate Change Vulnerability Index, Livelihood Vulnerability Index, Multidimensional Livelihood Vulnerability Index, and Human Development Index are essential tools in climate vulnerability analysis12. Methods for the Improvement of Vulnerability Assessment framework aims to enhance the understanding of vulnerability by considering key factors like exposure, susceptibility, and lack of resilience while addressing its multidimensional aspects, including physical, social, ecological, economic, cultural, and institutional themes25.
Recent researchers have directed climate vulnerability measurements in India using various indices, such as the Socioeconomic Vulnerability Index26,27, Socio-ecological Vulnerability28, Infrastructural Vulnerability Index26, Climate Change Vulnerability Index29, Composite Vulnerability Index27,30,31, Livelihood Vulnerability Index5,11,14,21,32,33,34, the Potential Livelihood Vulnerability Index35, Household Vulnerability Index36,37, and Composite Livelihood Vulnerability Index38. However, research focused on the susceptibility and variables impacting the vulnerability of tribal households in India is quite rare. Kumar et al. (2023) employed eight primary components of the LVI to estimate tribal family livelihood vulnerability in Himachal Pradesh, revealing variances in vulnerability due to differences in adaptation, sensitivity, and exposure to climate change. Roy et al. (2023) utilised the LVI-IPCC method to estimate climate vulnerability across tribal and non-tribal communities in Tripura, observing that tribal households were more exposed and susceptible owing to higher sensitivity and weaker adaptation capability. Deb & Mukherjee (2022) used the vulnerability index at the household level among major tribal groups (Santal, Munda, and Oraon) in the Himalayan region of West Bengal, report variables including the lack of basic infrastructure, absence of ration, and poor medical services as increasing family vulnerability. Das & Basu (2022) assessed the climate change livelihood vulnerability of Munda, Santal, Lodha, and Bhumij tribal communities in West Bengal, India, using the LVI and Beta regression model to find its determining factor. The study found that the Lodha community had the highest LVI, indicating greater vulnerability than the other tribes. Yadava & Sinha (2020) investigated climate change vulnerability in Madhya Pradesh, showing that economic circumstances, educational status, and professions effectively affected household susceptibility. Jha et al. (2017) emphasised the favourable benefits of MGNREGA initiatives in reducing vulnerability allied to climatic variability, agriculture, water, and family economic conditions.
Existing studies on climate change impact primarily focus on rural and agricultural communities, frequently ignoring the specific vulnerabilities of tribal populations42. assessed vulnerability through global indexes but have often missed the cultural, social, and economic factors that increase vulnerability in tribal communities. This study addresses the gap by concentrating on tribal households and their nuanced association with climate variability. Furthermore, limited research uses trend analysis or composite indices2,5,12,29, and few incorporate methods such as trend analysis, drought index, the LVI-IPCC framework, and the multiple linear regression model to provide a more robust and holistic view of vulnerability. By integrating these approaches, this study offers a more comprehensive assessment of socioeconomic and environmental factors. Moreover, it presents a convenient methodological framework, encompassing local circumstances to inform global research on vulnerability in rural and tribal populations. The study contributes not only to the Indian context but also to international debates on climate change adaptation, facilitating targeted policy actions to minimise vulnerability and promote sustainable development among tribal communities. Despite using micro-level samples, this study can be generalised to the macro level, particularly in Asia and Africa, where a significant proportion of the indigenous population exists. This study focuses on these research gaps by measuring tribal livelihood vulnerability in the Central Indian region of Chhindwara and Dhar districts using the LVI-IPCC methodology. There are the following objectives: (a) assess the livelihood vulnerability of tribal households in Chhindwara and Dhar districts using the LVI-IPCC framework, (b) validate the LVI-IPCC results, (c) determine the important factors affecting the vulnerability of tribal households in the study areas using multiple linear regression model, (d) compare the vulnerability levels between the two districts to understand regional differences and (e) provide policy recommendations to enhance adaptive capacity and resilience among tribal communities.
Results and discussion
Preliminary results
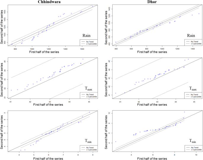
Table 1 reveals the results of the ITA for the Chhindwara and Dhar districts, concentrating on critical climatic variables such as rainfall, maximum (Tmax), and minimum (Tmin). In Chhindwara, rainfall exhibits a negative trend (−0.072) (Fig. 2) with a non-significant slope (−0.239), showing consistency in rainfall patterns. Conversely, Dhar demonstrates a non-significant decreasing trend in rainfall (−0.193) (Fig. 2) with a higher slope (−0.476). The consistent rainfall in Chhindwara implies a continuous water supply, essential for rain-fed agriculture and a primary income source for tribal communities. However, the decreasing rainfall trend in Dhar highlights worries about water shortages, which could result in lower agricultural yields, influence livestock production, and affect freshwater availability for domestic use. This situation demonstrates the susceptibility of tribal populations to variations in rainfall patterns, demanding adaptation strategies such as water storage, effective irrigation technology, and crop diversification to reduce the challenges associated with rainfall variability43. The findings align with previous studies representing a decreasing trend in annual rainfall over the past century in Central and Central West India44,45,46,47,48,49,50.
95% level of significance
Both districts exhibit a significant rise in Tmax, with positive ITA values of 0.106 and 0.070, respectively. The Tmax slopes are positive and statistically significant (p < 0.001), demonstrating a warming trend in both districts. The significant rising trends in Tmax (Fig. 2) across both districts indicate agricultural production and food security risks. Higher Tmax levels can increase evapotranspiration rates, resulting in soil moisture depletion and higher crop water stress, especially during critical growth periods51. Moreover, higher temperatures could worsen heat stress on cattle, impacting their health and production52. Tribal populations, generally involved in subsistence agriculture and animal husbandry, are more sensitive to climate-induced effects that could damage their food security and financial stability13. Adaptive methods such as accepting heat-tolerant agricultural varieties, better livestock management strategies, and creating climate-resilient livelihood choices may help minimise these issues. The results align with existing research, as Devi et al. (2020), Duhan et al. (2013), Kundu et al. (2017), Shukla et al. (2017), Shukla & Khare (2013), and56 have reported significant increases in Tmax and Tmin in Madhya Pradesh and Central India over periods ranging from 45 to 105 years.
The analysis demonstrates divergent patterns in Tmin across these districts. Chhindwara exhibits a significant negative trend (−0.253) in Tmin, indicating a decreasing trend (Fig. 2) but with a smaller slope (−0.005). On the other hand, Dhar demonstrates a significant increasing trend (0.805) (Fig. 2) in Tmin, followed by a remarkable slope (0.015). The conflicting changes in Tmin between Chhindwara and Dhar further complicate the climatic perspective of tribal livelihoods. While the cooling evenings in Chhindwara may offer a little relief from daytime heat stress, the warmer nights in Dhar might affect biological processes and agricultural systems. Changes in Tmin might affect crop ecology, change insect dynamics, and shift the harvesting period, providing issues for traditional farming techniques and indigenous knowledge systems57. Temperature patterns can affect traditional activities of tribal livelihoods, such as collecting non-timber forest products (NTFPs) and seasonal activities58. Tribal communities can become more resilient to climatic variability and change by promoting agroecological practices, protecting biodiversity-rich areas, and reviving traditional ecological knowledge59. The ITA findings underline the complex relationship between climatic variability and tribal livelihoods in Chhindwara and Dhar. While rainfall patterns remain mostly consistent in Chhindwara but indicate signs of a decrease in Dhar, both districts detect significant rising trends in Tmax, followed by different patterns in Tmin. These climatic variations present various challenges for tribal communities relying on agriculture and natural resources, demanding adaptation strategies and policy interventions to promote resilience and minimise the detrimental implications of climate change on livelihood sustainability.
The SPI-1 results for Chhindwara (Fig. 3a) and Dhar (Fig. 3b) districts offer essential insight into the climatic conditions that directly affect the daily lives of tribal inhabitants in these areas. SPI-1 is a frequently used drought indicator that quantifies precipitation variations from normal circumstances over one month. Positive SPI-1 values suggest above-average precipitation, despite negative values implying below-average precipitation. Examining the SPI-1 values uncovers variations in rainfall amounts, which significantly impact rainfed farming, water supply, and the overall well-being of ecosystems60, all necessary to the survival of tribal communities61. For example, periods with positive SPI-1 values, such as February 2014 in both districts and March 2015 in Dhar, indicate favourable conditions for agricultural production, which can aid tribal farming communities that depend on rain-fed agriculture. In contrast, the negative values of SPI-1, as seen in multiple months during 2014 and 2015 in both districts and specifically in December 2015 in Chhindwara and March 2019 in Dhar, demonstrate a lack of rainfall. It can result in crop failures, water scarcity, and increased vulnerability for tribal communities that rely on subsistence agriculture62.
SPI-1 results emphasise precipitation irregularity, evidenced by fluctuating values across months and years. Such erratic patterns pose challenges, affecting crop productivity and water availability and intensifying food insecurity and poverty among tribal communities63. Extreme events, like 2014 (Dhar) and 2018 (Chhindwara), underline increased climate risks, demanding adaptive measures64. Integrating SPI-1 results into this research improves understanding of climate-tribe relations. It helps identify vulnerable areas, prioritise adaptation, and enhance tribal resilience. Incorporating indigenous knowledge empowers communities to respond effectively, preserving traditions and managing resources sustainably59. SPI-1 analysis advises evidence-based policies, promoting inclusive development and prioritising tribal welfare amidst climate unpredictability.
Household characteristics
The demographic characteristics of sampled households in Chhindwara and Dhar districts reveal significant differences in age distribution, tribal groups, gender representation, family size, educational status, occupations, and income levels. In Chhindwara, most of the households were 25–54 years old (77%) (Fig. 4), while in Dhar (73%) (Fig. 5). Bhil and Bhilala tribes are predominant in Dhar, constituting 50% and 47% respectively (Fig. 5), whereas in Chhindwara, the Gond tribe were in the majority (77%) (Fig. 4). There was a lower representation female respondent in both districts (Chhindwara 29% and Dhar 27%). Family sizes tend to be larger in Chhindwara, with 76% having 4–6 members (Figs. 4) and 54% in Dhar (Fig. 5). Regarding educational status, a higher proportion in Chhindwara (76%) (Fig. 4) have primarily educated compared to Dhar (54%) (Fig. 5). In terms of occupations, farming is common in both districts, with 37% in Chhindwara and 47% in Dhar, other than labour work, business, NTFP collection, and other work. Income distribution (Fig. 6a) reveals that a higher percentage of households in Chhindwara earn less than 50,000 rupees (45%) compared to Dhar (36%). The Lorenz curve shows similar income distribution among surveyed households, reflecting relative income equality (Fig. 6b). Targeted poverty reduction and livelihood promotion efforts are crucial for encouraging inclusive development and social cohesion to address socioeconomic disparities among tribal communities65 in both districts.
Contributing factors and LVI-IPCC
The results of the indexed value (Table A1, as provided in the supplementary material) present a comprehensive categorisation of contributing factors, major components (Fig. 7), and sub-components of vulnerability assessment within the Chhindwara and Dhar districts, offering valuable insights into the complex nature of vulnerability among the surveyed households (n = 535). The indexed values thoroughly evaluate various factors, including exposure to climatic variability, hazards caused by severe events, and implications for adaptation strategies and resilience-building initiatives. Rainfall and temperature are key hazard indicators due to their direct impact on exposure, sensitivity, and adaptive capacity. Variability in rainfall and temperature affects agriculture, water availability, and health, core aspects of tribal livelihoods.
Exposure
The average exposure index of household livelihood to climate variability and hazards is 0.348. Dhar (0.360) is higher than Chhindwara (0.336), indicating a marginally increased vulnerability to climate-related hazards in the Dhar district. This increased exposure suggests that tribal populations in these regions are particularly vulnerable to environmental stresses such as unpredictable rainfall, temperature variations, and natural hazards, possibly compromising agricultural output, water accessibility, and livelihood stability. It emphasises the increased hazard faced by tribal communities, greatly dependent on rain-fed agriculture and natural resources, thereby accenting the urgent need for targeted adaptation strategies and resilience-building initiatives66. Climatic variability reveals similar levels in both districts, emphasising the variability in rainfall and temperature patterns, which can critically impact rain-fed agriculture, a leading livelihood for tribal communities. The mean standard deviation of average rainfall by month is nearly equal in both districts (Chhindwara = 0.293 mm, Dhar = 0.298 mm), indicating consistent variations in monthly rainfall. The standard deviation of Tmax and Tmin temperatures shows significant variation in Dhar (Tmax= 0.459 °C, Tmin= 0.557 °C) compared to Chhindwara (Tmax= 0.376 °C, Tmin= 0.576 °C), indicating prominent temperature extremes in Dhar. These variations can poorly affect crop yields and water availability, aggravating the vulnerability of tribal communities, such as Gond, Mahasin, Mawasi, and Bhariya in Chhindwara and Bhil and Bhilala in Dhar who depend greatly on these natural resources.
Further examination of hazards gives insights into the frequency of climatic events such as floods, droughts, and hailstorms from the last 10 years. Dhar reports a higher occurrence of floods (0.094) and drought (0.350) in the last 10 years compared to Chhindwara (0.051 and 0.314, respectively). Both districts experience the same frequency of hailstorm incidents (0.405). These hazard indicators imply Dhar is more prone to floods and droughts, which can rigorously interrupt agricultural cycles and food security for tribal households. Dhar’s higher exposure and variability indexes indicate a need for targeted interventions to improve resilience against climatic events. Initiatives such as introducing drought-resistant crops, developed water management practices, and robust early warning systems could mitigate the impacts of climate variability67. Incorporating traditional knowledge with modern agricultural practices could improve the adaptive capacity of tribal communities59. While these districts face significant climatic challenges, Dhar’s a little higher vulnerability imposes focused efforts to reinforce resilience and adaptive capacity among its tribal populations. Addressing these vulnerabilities through community-based approaches and sustainable practices can advance more resilient and equitable development paths, confirming the long-lasting welfare of these marginalised communities.
Sensitivity
The average sensitivity index within the Chhindwara and Dhar districts is 0.446, providing crucial insights into the vulnerability of tribal communities to various climatic stressors. Chhindwara (0.452) shows slightly higher sensitivity than Dhar (0.440), indicating comparable levels of vulnerability to environmental change. The higher sensitivity of the Chhindwara district is mostly because of the substantial variation in the sub-components of land, infrastructure, and water. Land and infrastructure are important factors in the sensitivity index. Chhindwara has a higher percentage of households than Dhar without access to electricity (4.6% and 1.5%, respectively) and residing in Kutcha houses (72% and 30.3%, respectively). The inadequate housing and absence of essential services exacerbate the vulnerability of these communities, making them more vulnerable to climate change68. These results are consistent with36 argument that rural households often lack the economic capacity to build a pucca house. Access to basic infrastructure is essential for health, social, and economic development. Investments in water infrastructure, such as rainwater harvesting and community water purification systems, are necessary for enhancing resilience69. Food security is a major issue, with 54% of Chhindwara households and 65.7% of Dhar households requiring adequate food for the year. The higher food sensitivity index in Dhar (0.583) compared to Chhindwara (0.457) stresses Dhar’s severe food insecurity problem. Tribal households struggling to find food are also greater in Dhar (34.3%) than in Chhindwara (27.5%). These proportions exhibit a precarious food situation, with inferences for health and welfare. The problem of water accessibility exposes extensive challenges, particularly in Chhindwara, where 97.7% of households report groundwater depletion, compared to 79.2% in Dhar. Increasing water shortages are a severe problem, affecting 92% of households in Chhindwara and 78.8% in Dhar. Limited access to safe drinking water sources (such as hand pumps, wells, and tap water through Pradhan Mantri Jal Nal Yojna) and high dependence on rain-fed agriculture (75.9% in Chhindwara and 37.6% in Dhar) further aggravate water insecurity. Agricultural productivity also decreased due to water scarcity.
Health indicators indicate large discrepancies, with a substantial percentage of families in both districts not having access to sanitary latrines and not practising preventive health care. The distance to the nearest health centre remains a barrier, particularly in Chhindwara, which averages 8.64 km compared to 3.32 km in Dhar. Chronic disease occurrence, although relatively low, includes another level of vulnerability. A study by70 stated that climate-related disasters like storms, floods, heat waves, and wildfires are expected to exacerbate public health risks. The Social Security index reveals disparities in the benefits of government schemes (such as Indira Gandhi Old Age Pension, Widows Pension, Ladli Bahna Yojna, and Kisan Samman Nidhi). A larger number of households in Dhar (99.6%) did not benefit from the Mahatma Gandhi National Rural Employment Guarantee Act (MGNREGA) than in Chhindwara (44.4%). Similarly, a substantial percentage of households in both districts were not receiving benefits from the Public Distribution System (PDS). Enhancing programs like MGNREGA, skill development programs, and PDS can improve employment opportunities and mitigate socioeconomic vulnerabilities to promote food security27. High dependency on firewood or dung cake as the primary energy source for cooking (93.9% in Chhindwara and 87.2% in Dhar) indicates perpetual reliance on traditional and less efficient energy sources. These results highlight the complex character of sensitivity in tribal communities, encompassing inadequate infrastructure, food and water insecurity, health issues, and limited social security. Addressing these vulnerabilities requires targeted interventions that improve infrastructure and access to essential services and ensure food and water security. Tailored approaches influencing local knowledge and involving tribal communities in decision-making can encourage resilience and promote sustainable development71. Recognising and mitigating these sensitivities are necessary for decreasing vulnerability and improving the livelihood of tribal communities in the study area.
Adaptive capacity
The indexed value of adaptive capacity indicators for these districts gives valuable insights into the socioeconomic and livelihood patterns of tribal communities. The average adaptive capacity index is 0.483, indicating notable differences between Chhindwara (0.495) and Dhar (0.472) districts, with significant implications for the tribal communities. Chhindwara has a lower percentage of household heads who have not attended school (36.4%) than Dhar (47.4%), indicating a better educational status among tribal people, which is important for adaptive capacity. However, both districts exhibit similar dependency ratios and percentages of female-headed households, implying a similar family structure. Agriculture as a primary source of income is more widespread in Dhar (46.7%) than in Chhindwara (36.8%), reflecting the increased reliance on climate-sensitive livelihoods in Dhar. Awareness level of climate change is noticeably greater in Chhindwara (52.0%) than in Dhar (35.6%). This awareness gap shows Dhar may need specific education and communication strategies to increase climate change preparation.
The usage of weather forecasting and familiarity with early warning systems are also higher in Chhindwara, indicating a more robust integration of climate information into agricultural activities. Sen et al. (2021) observed that access to and use of weather forecasting and climate info vary. Livelihood diversification is somewhat greater in Dhar (0.461) than in Chhindwara (0.419), exposing an enormous diversity of income-generating activities. However, more family members work outside Dhar (35.4%) compared to Chhindwara (26.1%), implying greater mobility and possibly better access to outside employment opportunities in Dhar. This mobility could offer extra income sources, enhancing household resilience. However, this also suggests a reliance on migration for income, which can have social implications such as family separation and reduced community cohesion73. Migration in the last year for work or education was almost similar and less in both districts.
Most families have not undertaken training or skill development programs (98.1% in Chhindwara and 96.7% in Dhar). This lack of capacity-building opportunities impedes people’s ability to diversify their livelihoods or strengthen their current abilities, restricting their adaptive capacity and long-term resilience. Phuong et al. (2023) discussed that involving marginal communities in training programs enhances their awareness of climate change and improves their adaptability. Both districts reveal comparable financial stability characteristics, with a strong dependence on borrowing (68.2% in Chhindwara and 76.6% in Dhar) and a greater portion of households below the poverty line (65.1% in Chhindwara and 70.4% in Dhar). The absence of permanent jobs is higher in both districts (93.1%), reflecting the unstable nature of employment. Chhindwara has a greater social network index (0.525) than Dhar (0.474), suggesting stronger community cohesiveness and possible support networks. However, access to transport facilities, communication, and the main market is typically higher in Dhar, which may enhance economic activity and access to services. Cong et al. (2016) highlighted that increasing media access fulfils societal accountability by raising awareness and bridging the gap between regional observations and global incidents. Also, Nguyen & Leisz (2021) observed that diverse media sources are important for strengthening social networks, indirectly enhancing household adaptability. A complex interaction of educational status, climate change awareness, livelihood diversification, and social networks determines the adaptation capacity of tribal households in both districts. Enhancing adaptive capacity involves a broad strategy, including improving education and climate knowledge, encouraging different livelihood alternatives, and boosting financial stability and social networks. Targeted interventions, such as skill development programs, access to climate information, and infrastructure developments, are essential for developing resilience among these vulnerable communities. Focusing on these characteristics may lead to more sustainable and reasonable development, eventually strengthening the capacity of tribal communities to persist and adapt to climatic change and variability.
LVI-IPCC
The LVI-IPCC offers a synthesised measure of vulnerability, amalgamating various components across exposure, sensitivity, and adaptive capacity for Chhindwara and Dhar districts (Fig. 8). The average LVI-IPCC value of −0.060 suggests a moderate level of vulnerability to climate-related risks among the surveyed households. This index provides valuable insights into the nuanced vulnerability profiles of tribal communities and the geographical heterogeneity of vulnerability within the study area (Fig. 9). All the Tehsils were categorised into 4 groups based on the quartile value of the index, representing low, medium, high, and very high76. Dhar (−0.049) exhibits a higher LVI-IPCC value than Chhindwara (−0.072), indicating a greater vulnerability to climate change and its impact among the surveyed households. The same results were also obtained from the Vulnerability Index (VI) for Dhar (0.336) and Chhindwara (0.309). The results underscore the intricate relationship of environmental, socioeconomic, and institutional factors shaping vulnerability dynamics within these districts. The higher LVI-IPCC value in the Dhar district may be attributed to various underlying factors that increase the vulnerability of tribal households. One significant aspect is the region’s susceptibility to climate variability and hazards, such as mean maximum temperature, floods, and droughts, exacerbating vulnerabilities29 among tribal communities reliant on agriculture and natural resources for their livelihoods. Dhar’s relatively lower adaptive capacity index suggests limited resilience and coping mechanisms among tribal households to respond effectively to these climate variability and hazards.
Socioeconomic indicators such as reduced financial stability, lower livelihood diversification, and restricted access to social security networks further aggravate vulnerability by reducing the capacity of tribal communities to endure and recover from the adverse impact of climate change.
Phuong et al. (2023) concurred that climate change irregularly affects households’ livelihoods depending on various sensitivities. The comparatively lower LVI-IPCC (−0.072) signifies a somewhat lower vulnerability among tribal communities in Chhindwara. It may be attributed to several factors, including better infrastructure, relatively higher levels of adaptive capacity, and more excellent socioeconomic stability than Dhar. The finding aligns with previous studies that enhanced infrastructure facilities and higher levels of adaptive capacity reduce the vulnerability to climate change impacts77,78,79. The availability of more robust social networks, along with higher levels of awareness and access to resources, could augment the resilience of tribal communities in Chhindwara, enabling them to better cope with climate change. The higher LVI-IPCC value in the Dhar district underlines the urgent need for targeted interventions and adaptive strategies to improve resilience and promote livelihood security among vulnerable tribal communities. Policymakers should prioritise investments in climate-resilient infrastructure, sustainable agriculture practices, and social security systems to mitigate risks and enhance adaptive capacity. Fostering community-based adaptation initiatives, integrating indigenous knowledge systems, and promoting participatory decision-making processes are essential for empowering tribal communities to cope with climate change impacts and achieve sustainable development goals. By addressing the underlying drivers of vulnerability and promoting inclusive development pathways, stakeholders can effectively reduce disparities and promote the well-being and resilience of tribal populations in Chhindwara, Dhar, and other similar contexts.
Determinants of LVI-IPCC
The MLR results present indicators affecting the livelihood vulnerability of tribal households (Table A2, as provided in the supplementary material). The relation between LVI-IPCC and contributing factors is shown in Fig. 10 for both districts. Based on the overall sample size (n = 535) from both districts, the analysis reveals that 10 out of 18 indicators significantly impact the livelihood vulnerability to climate change among tribal households (p< 0.05). Significant factors include the household head not attending school (β= −0.018), agriculture as the primary source of income (β = 0.022), number of extreme weather events (β = 0.008), lack of access to safe drinking water (β= −0.014), number of livelihood strategies (β = 0.005), lack of access to sanitary latrines (β= −0.014), not benefiting from the Public Distribution System (PDS) (β= −0.020), lack of access to communication or social media platforms (β= −0.032), familiarity with early warning systems for natural disasters (β = 0.013), and economic status (β= −0.018). The findings indicate that active and wealthy households significantly reduce the vulnerability of tribal households compared to inactive and low-income families. Households which are using weather forecasts for making farming decisions, familiar with the early warning system for natural disasters, participate in training or skill development programs to enhance their ability to generate income, have better access to communication and social media, and benefit from government schemes (such as Ladli Bahna Yojna and Kisan Samman Nidhi) exhibit lower vulnerability. These findings align with previous research, highlighting the importance of social networks and access to information in enhancing tribal communities’ capacity for climate change adaptation, thereby reducing their vulnerability2,75,80. Belay & Fekadu (2021) highlight that participation in training programs and establishing broad social networks raise tribal communities’ climate awareness, which is also a primary factor of climate change vulnerability among tribal households in this study.
The educational status of the household head significantly influences vulnerability. Specifically, the head of the household who has not attended school shows greater vulnerability (β = −0.012for Chhindwara and − 0.022 for Dhar). It aligns with previous literature that underlines the role of education in enhancing adaptive capacity and resilience. Educated household heads are likelier to access information, adopt modern agricultural practices, and make updated decisions during extreme weather events82. Enhancing educational opportunities and quality, especially through adult education and occupational training, can significantly influence household heads’ knowledge and skills83. Agriculture as the primary source of income is associated with decreased vulnerability (β = −0.019for Chhindwara and − 0.020 for Dhar). It proposes that assistance for agricultural activities, including access to high-yielding seeds, irrigation facilities, and market connections, can reinforce resilience. Agricultural assistance through subsidies, access to financial support, and extension services can enrich productivity and income stability84,85,86. Sustainable agricultural practices and diversification into high-value crops could further augment household income stability87.
From the environmental hazard perspective, the regression analysis illustrates that the frequency of natural hazards significantly increases vulnerability (β = 0.008 and 0.009 for Dhar). It emphasises the critical need for effective disaster risk management and climate adaptation strategies. Investment in early warning systems, community-based hazard preparation programs, and robust infrastructure can mitigate the detrimental effects of such events88. The findings show that people residing in Kutcha houses are more susceptible than those in Pucca. Living in Kutcha houses increases their vulnerability to property loss during natural hazards2,36. Lack of access to safe drinking water is an essential element of vulnerability in Dhar (β = −0.029) and overall (β = −0.014). Access to safe drinking water is essential for health, agricultural output, and overall prosperity. Investments in water infrastructure, such as rainwater harvesting, borewells, and cooperation water cleansing systems, are crucial for enhancing resilience improve access to safe drinking water, particularly in Dhar89. The lack of adequate food for the year did not significantly influence vulnerability; guaranteeing food security remains essential. Food security measures should concentrate on raising agricultural productivity, varying crops, and expanding storage facilities to reduce post-harvest damages90.
The various livelihood strategies certainly affect vulnerability in Dhar (β = 0.008) and overall (β = 0.005). Livelihood diversification decreases reliance on a single income source, thus enhancing financial stability and resilience to disasters2,12. Promoting agricultural activities, skill development programs and small business development can provide alternative sources of income91. Benefitting from the PDS significantly increases vulnerability in Chhindwara (β = −0.036) and overall (β = −0.020). The PDS is important in confirming food security and nutritional requirements, particularly for vulnerable communities. Enhancing the PDS, fixing timely distribution, and reducing lapses can boost efficiency92.
Another outcome from the regression analysis illustrates that lack of access to communication or social media platforms significantly increases vulnerability (β = −0.025for Chhindwara and − 0.035 for Dhar). Media access is essential for raising awareness and preparing people for the hazards associated with climate change. Improving digital literacy and increasing internet access can enhance communication and information broadcasting93. Familiarity with early warning systems for natural disasters shows a combined effect, lowering vulnerability in Chhindwara (β = −0.019) but raising it in Dhar (β = 0.034). It advises that while awareness is important, using these systems relies on their application and the community’s trust in them. Active communication, regular training, and community involvement are necessary for the success of early warning systems94. Households below the poverty line reveal higher vulnerability (β = −0.013for Chhindwara and − 0.020 for Dhar). Economic stability is necessary for resilience. Poverty reduction policies, containing social protection schemes, income generation programs, and financial inclusion strategies, are essential for improving the resilience of tribal households95.
Conclusion
This study provides valuable insights into the vulnerability of tribal communities in the Chhindwara and Dhar districts to climate change impacts. The vulnerability index highlights a moderate level of vulnerability, with Dhar exhibiting greater vulnerability than Chhindwara. Increased exposure to climate variability, socioeconomic disparities, and adaptive capacity significantly influence vulnerability. Limited access to education, infrastructure, safe drinking water, and social security further compounds vulnerability, underscoring the urgent need for targeted interventions. Chhindwara demonstrates relatively lower vulnerability, attributed to better infrastructure, higher adaptive capacity, and more excellent socioeconomic stability. More robust social networks, coupled with higher levels of awareness and access to resources, contribute to enhanced resilience among tribal communities in Chhindwara. Frequent natural hazards exacerbate vulnerability, emphasising the need for effective disaster risk management strategies. Addressing these vulnerabilities needs targeted interventions, including investments in climate-resilient infrastructure, promoting sustainable livelihoods, and enhancing social protection schemes. Integrating indigenous knowledge systems and fostering community-based adaptation initiatives are crucial for building resilience among tribal communities. The findings underscore the urgent need for holistic approaches considering the complex relationship of environmental and socioeconomic factors in reducing vulnerability and promoting sustainable development in tribal areas.
However, this research has certain limitations. The dependency on household survey data may result in respondent or memory bias. While practical, using the LVI-IPCC framework does not entirely align with the most recent conceptual advancements in vulnerability assessment. The historical climate data fails to capture future uncertainties due to rapid climate changes. Future research should incorporate more dynamic modelling techniques, integrate real-time climatic data, and expand the geographical scope to other vulnerable regions and tribal communities. Furthermore, adopting more recent risk-based frameworks will augment future vulnerability assessments’ robustness and relevance to broader global contexts.
Methodology
Study area
The Chhindwara district is situated in the southern-central part of Madhya Pradesh (Fig. 11). It is a part of the Vindhyachal-Baghelkhand area, which is located between longitudes 78°01’E and 79°23’E and latitudes 21°27’N and 22°49’N. It is the biggest district in Madhya Pradesh, with an area of 11,815 km² (3.83% of the state’s total area). Narsimhapur, Nagpur, Amravati, Seoni, Hoshangabad, and Betul border it. The district is geographically subdivided into the Satpura Range, Chhindwara Plateau, and Sausar Forested Upland. The tributaries mainly drain it off the Narmada and Godavari rivers, namely the Kanhan, Pench, and Wardha rivers. Chhindwara has ample forest cover, making up over 39% (4608 km²) of its total area, according to the Forest Survey of India in 2021. These forests are mostly composed of Southern Tropical Dry Deciduous Forest. The climate is milder than the surrounding districts, characterised by four distinct seasons (summer, winter, monsoon, and post-monsoon) and average temperatures varying from 26 °C to 29 °C. The mean annual precipitation is 1159 mm. The total population is 2,090,922, with a prevalent rural majority of 75.8% and a population density of 177 people/km2. The district has a sex ratio of 964 females per 1000 males, a literacy rate of 71.2%, and scheduled tribes form 36.8% (769,778 persons) of the total population.
Dhar district is situated in the southwestern part of Madhya Pradesh and lies between longitudes 75°00’E and 75°26’E and latitudes 22°42’N and 23°10’N (Fig. 11). The district is surrounded by Indore, Ujjain, Ratlam, Khargone, Barwani, Jhabua, and Alirajpur districts. Dhar comprises 8,153 km² (2.64% of Madhya Pradesh’s total area), forming the 13th biggest district in Madhya Pradesh. The district is separated into 3 physiographic divisions: the Malwa, Vindhyachal range, and Narmada valley. The southern part lies in the Narmada catchment zone, while the Chambal and Mahi rivers drain to the north. Dhar has 7.9% (644 km²) of forest cover to the total geographical area (Forest Survey of India, 2021), mostly containing dry teak forest. The district receives a typically dry climate, with May being the warmest month (average Tmax 40 °C) and January the coldest (average Tmin 10 °C). The average annual rainfall is 854 mm. The total population of this district is 2,185,793, with a decadal growth rate of 25.6%. The rural population represents 81.1% of the total, with a population density of 268 persons/km². The sex ratio is 964 women per 1000 men, while the literacy rate is 59.0%. Scheduled tribes comprise 55.9% of the total population (1,222,814 persons).
Study area map. This Map was created by authors using software ArcMap 10.8 applying elevation data (https://www.usgs.gov/centers/eros/science/usgs-eros-archive-digital-elevation-shuttle-radar-topography-mission-srtm-1).
Selection of indicators
Selecting suitable indicators for assessing climate vulnerability is critically important, though there is no universally recognised set or uniform method40. Indicators must be relevant, easily quantifiable, and capable of reflecting exposure, sensitivity, and adaptive capacity levels96. A participatory technique is frequently employed to recognise contextually suitable components involving stakeholders97. Once identified, indicators are merged into a composite index providing a single measure of vulnerability normally scaled from 0 to 198. These indicators should be associated with research goals, data availability, and the characteristics of the studied system.
Following a comprehensive literature review, a pilot survey, and an initial assessment of climatic variability, we established a set of household vulnerability dimensions and indicators. We initially reviewed several studies2,5,10,11,12,14,21,36,99,100,101, which provided 10 major components and 40 sub-components. These components were used to construct the base for a pilot survey. However, following conversations with local environmentalists, agronomists, and economists and further questionnaire examination via pilot survey, revisions were made to represent the socioeconomic conditions of the study area. This study focused on estimating the tribal livelihood vulnerability in response to climate change and several socioeconomic indicators. We adopted a technique proposed by Hahn et al. (2009), which provides a comprehensive approach for scientifically analysing the connections between people and their social, environmental, and physical perspectives. The vulnerability assessment follows the IPCC’s framework, which explains vulnerabilities as a combination of exposure, sensitivity, and adaptive capacity. Twelve major components and 54 sub-components (Fig. 12) were chosen for this research, categorised into LVI-IPCC contributing factors to tribal household vulnerability (Table A3 as provided in the supplementary material).
The selected indicators comprehensively represent tribal livelihoods. Exposure included the years of floods, droughts, hailstorms they observed, and climate variability over the past decade (2014–2023). Sensitivity was assessed using land and infrastructure, food security, social security, water access, and health. The five major components evaluated adaptive capacity through awareness, socio-demographic profiles, financial stability, livelihood strategies, and social networks. This structured approach allows for a systematic assessment of livelihood vulnerability due to climate variability tailored to the exclusive requirements and characteristics of the tribal communities studied. The indexes for these indicators were constructed so that greater values indicate higher vulnerability.
Data collection
This study combines primary and secondary data analysis, focusing on all Tehsils within Chhindwara (13) and Dhar (9) districts in Central India. Primary data were collected using a multistage purposive random sampling method. First, the districts were selected due to their significant tribal populations and very high vulnerability to climate change31,102. Second, all 22 Tehsils were included. Third, tribal residential villages (26 from Chindwara and 27 from Dhar) were chosen from each Tehsil (Fig. 13), and finally, approximately 10 tribal households from each village were randomly selected. We used Cochran’s (1977) sample size formula to select the sample size76. As per this method, the minimum sample size is 385, with a confidence interval of 95% and an error value of ± 5%. The sample was distributed in 2 districts: 261 households from Chhindwara and 274 from Dhar, comprising 535 households. The sample households were surveyed using semi-structured interview schedule to evaluate their livelihood vulnerability due to climate variability. A key respondent from each village was also interviewed to verify household responses. Data collection occurred from January to April 2024, including participants of all ages (excluding < 18 years) and genders. For their convenience, interviews were conducted in Hindi, and all information was documented in writing. Verbal informed consent was obtained from all subjects or their legal guardians. Before starting the survey, we confirmed that all methods were carried out in accordance with the relevant guidelines and regulations of the Indian Institute of Technology Indore. All the experimental protocols, including the survey method and data collection process, were approved by the Indian Institute of Technology Indore, ensuring adherence to ethical research practices. The survey also gathered information on access to essential utilities such as water, schools, hospitals, drainage systems, transport facilities, banks, and the main market. Secondary data, such as rainfall and temperature from 1954 to 2023, were sourced from the India Meteorological Department.
Location of visited villages. The maps were generated using Google Earth Pro (version 7.3) on desktop software (https://www.google.com/intl/en_in/earth/about/versions/#earth-pro).
Data analysis
Several methods were employed to analyse the collected data in this study (Fig. 14), ensuring robust and accurate results. Innovative Trend Analysis (ITA) was used to identify long-term climate variations. The Standardised Precipitation Index-1 (SPI-1) was applied to evaluate the dry and wet conditions from 2014 to 2023. The LVI-IPCC framework was applied to assess the field survey data. The LVI-IPCC results were validated using Jamshed et al. (2022) ’s vulnerability index (VI) method. The multiple linear regression (MLR) model defined the most important indicators affecting household vulnerability. Assumptions of multicollinearity and heteroscedasticity were tested before running the vulnerability and regression analysis. The indicators with collinearity of more than 0.8 have been removed, following Gujarati’s (1995) guideline that correlation coefficients above 0.8 indicate a significant multicollinearity issue. Heteroscedasticity was also checked using the Breusch-Pagan test to ensure the model’s validity. Data cleaning, conversion and preliminary analysis were conducted using MS Excel, while climate data was analysed with R-Studio. Data visualisations were performed using Origin 2024, facilitating a clear understanding of the findings.
Innovative trend analysis
ITA, introduced by Şen (2012), offers a graphical method to analyse meteorological and hydrological factors 101 changes. Unlike traditional approaches like the Mann-Kendall test, ITA is not constrained by data length, independence, or normality assumptions. This flexibility makes ITA more useful for analysing complex trends rather than merely detecting monotonic trends. ITA plots data in a Cartesian coordinate system, dividing the dataset into two equal parts104. The first half is drawn on the x-axis, and the second on the y-axis, ordered from smallest to largest values. The trend is then determined by the distribution of points relative to the identical line: points above the line indicate an inclining trend, while points below suggest a declining trend. It is computed by using Eq. 1.
n = total number of observations, Xi = value of the first sub-series, Xj = value of the second sub-series, and µ denotes the mean.
Standardised precipitation index (SPI)
The SPI is a widely recognised tool for characterising meteorological droughts across various timescales (1, 3, 6, and 12 months)104. Table A4 (as provided in the supplementary material) presents SPI drought conditions, where negative SPI values indicate below-average rainfall and positive values show above-average rainfall105. Since rainfall data often fits a gamma distribution, SPI is computed by applying the probability density function of the gamma distribution (Eq. 2) for the 1 month.
Where β, α, r, and Γ (α) represent the scale parameter, form parameter, rainfall quantity, and gamma function, respectively. The values of β and α can be acquired by Eqs. (3) and (4), respectively.
Where A = \(\:In\stackrel{-}{r}-\frac{\sum\:In\left(r\right)}{n}\), \(\:\stackrel{-}{r}\) shows mean rainfall.
Calculation of LVI-IPCC and VI
The LVI was computed based on constraints explained by the IPCC framework, incorporating Exposure, sensitivity, and adaptation capacity2,12,21. All the sub-indicators evaluated on various units (i.e. count, percent, ratio, index) were normalised (0 to 1) using Eq. 5.
Where, \(\:{Index}_{sc}\) denotes the normalised value of sub-components, X(a), X(max), and X(min) shows the actual, maximum, and minimum values for each household, respectively.
An equal weight was assigned to all sub-components and averaged to calculate the major indicators using Eq. 6.
Where, n = no. of sub- components, indexed by i, Indexsc = normalised value of sub-indicators, Msc = index value of sub-components.
After calculating the major components, the contributing factors were computed using Eq. 7.
Where, CFmc = IPCC-defined contributing factor (adaptation capacity, sensitivity, and Exposure), wi = weight for each indicator, Msc = index of the major indicators.
Once contributing factors were calculated, LVI-IPCC was computed by using Eq. 8.
Where LVI-IPCCmc is the LVI using the IPCC framework,
The LVI–IPCC value was rescaled from − 1 (least vulnerable) to + 1 (most vulnerable).
The vulnerability index was calculated using Eq. 9
Where, Ecf. = Exposure, Scf. = Sensitivity, and ACcf. = Adaptive capacity.
Multiple linear regression (MLR)
The MLR model was used to detect the primary factors most significantly impacting household vulnerability. This method is commonly used in empirical studies and predictive models that involve multiple explanatory variables2. It constructs an optimal regression equation by choosing explanatory variables with a significant linear impact on the dependent variable, making it a popular choice in climate change research2,36. The MLR was applied using Eq. 10.
Where, y represents the dependent variable,
β0 = intercept, x1, x2, ……xn = explanatory variable, β1, β2, ………, βn = partial regression coefficients, u = regression error term.
Eighteen explanatory variables were included to quantify their marginal effect on the LVI-IPCC (dependent variable) of households in this model. These variables included 4 socio-demographic variables (gender, household head’s education level, age, and agriculture as the primary income source); 1 variable for natural disasters (number of extreme weather events); 3 variables related to land and infrastructure (access to electricity, housing structure, and land holdings); 2 variables for livelihood strategies (number of livelihood approaches and participation in skill development programs); and 2 variables related to awareness (use of weather forecasts for farming decisions and awareness of local early warning systems). However, one variable each was considered for food, water, health, social security, social networks, and financial stability. The dependent variable in this analysis was the household vulnerability, represented by the LVI-IPCC index.
Data availability
The authors confirm that all the data supporting the findings of this study are available on request from the corresponding author.
References
Pörtner, H. O. et al. Climate Change 2022: Impacts, Adaptation and Vulnerability (2022).
Phuong, T. T. et al. Livelihood vulnerability to climate change: indexes and insights from two ethnic minority communities in central Vietnam. Environ. Chall. 10, 100666 (2023).
Shivam, Goyal, M. K. & Sarma, A. K. Analysis of the change in temperature trends in Subansiri river basin for RCP scenarios using CMIP5 datasets. Theor. Appl. Climatol. 129, 1175–1187 (2017).
Kuniyal, J. C. et al. Climate change impacts on glacier-fed and non-glacier-fed ecosystems of the Indian Himalayan region: People’s perception and adaptive strategies. Curr. Sci. 120, 888–899 (2021).
Venus, T. E., Bilgram, S., Sauer, J. & Khatri-Chettri, A. Livelihood vulnerability and climate change: a comparative analysis of smallholders in the Indo-Gangetic plains. Environ. Dev. Sustain. 24, 1981–2009 (2022).
Rautela, K. S., Kumar, D., Gandhi, B. G. R., Kumar, A. & Dubey, A. K. Long-term hydrological simulation for the Estimation of snowmelt contribution of Alaknanda river basin, Uttarakhand using SWAT. J. Water Supply Res. Technol.-Aqua 72, 139–159 (2023).
IPCC. IPCC-AR4. Climate Change 2007, the Scientific Basis, Contribution Ofworking Group-I to the Fourth Assessment Report of Intergovernmental Panel on Climate Change (IPCC) (2007).
Khangar, N. S. & Mohanasundari, T. Measuring the Environmental Impact of Maize, Sorghum, and Millets Production in Madhya Pradesh: A Comparative Analysis Using Life Cycle Assessment. In Environment and Sustainable Development. ACESD 2023. Environmental Science and Engineering (eds. Ujikawa, K. et al.). https://doi.org/10.1007/978-981-97-3320-0_12 (Springer, Singapore, 2024).
Singh, S., Kumar, D., Vishwakarma, D. K., Kumar, R. & Kushwaha, N. L. Seasonal rainfall pattern using coupled neural network-wavelet technique of Southern Uttarakhand, India. Theor. Appl. Climatol. 155, 5185–5201 (2024).
Panthi, J. et al. Livelihood vulnerability approach to assessing climate change impacts on mixed agro-livestock smallholders around the Gandaki river basin in Nepal. Reg. Environ. Change. 16, 1121–1132 (2016).
Joshi, N. C. & Rawat, G. S. An integrated approach for the identification and prioritization of areas based on their livelihood vulnerability index: a case study of agro-pastoral community from Western Indian himalaya. Mitig Adapt. Strateg Glob Chang. 26, 27 (2021).
Hahn, M. B., Riederer, A. M. & Foster, S. O. The livelihood vulnerability index: A pragmatic approach to assessing risks from climate variability and change—A case study in Mozambique. Glob. Environ. Change. 19, 74–88 (2009).
Sushant Impact of climate change in Eastern Madhya Pradesh, India. Trop. Conserv. Sci. 6, 338–364 (2013).
Das, S. K. & Basu, J. P. Tribal livelihood vulnerability due to climate change: a study across tribes of Paschim Medinipur district of West Bengal. SN Bus. Econ. 2 (2022).
FAO. Global Forest Resources Assessment.Progress towards Sustainable Forest Management (2012).
Pandey, A. K., Tripathi, Y. C. & Kumar, A. Non timber forest products (NTFPs) for sustained livelihood: challenges and strategies. Res. J. Forestry. 10, 1–7 (2016).
Pandey, A. K. & Kori, D. C. Non-destructive harvesting practices of Terminalia Arjuna (Arjuna), Phyllanthus emblica (Aonla) and Andrographis paniculata (Kalmegh). Indian Forester. 137, 1269–1279 (2011).
Shackleton, C. M., Pandey, A. K. & Ticktin, T. Ecological Sustainability for Non-Timber Forest Products: Dynamics and Case Studies of Harvesting (Routledge, 2015).
Census Census of India 2011-Provisional population totals. Government India (2011).
Ngu, N. H., Tan, N. Q., Non, D. Q., Dinh, N. C. & Nhi, P. T. P. Unveiling urban households’ livelihood vulnerability to climate change: an intersectional analysis of Hue City, Vietnam. Environ. Sustain. Indic. 19, 100269 (2023).
Rehman, S., Azhoni, A. & Chabbi, P. H. Livelihood vulnerability assessment and climate change perception analysis in Arunachal Pradesh, India. GeoJournal 88, 1427–1447 (2022).
Wisner, B. Vulnerability as concept, model, metric, and tool. In Oxford Research Encyclopedia of Natural Hazard Science. https://doi.org/10.1093/acrefore/9780199389407.013.25 (Oxford University Press, 2016).
Smit, B. & Wandel, J. Adaptation, adaptive capacity and vulnerability. Glob. Environ. Change 16, 282–292 (2006).
Panda, A. Vulnerability to climate variability and drought among small and marginal farmers: a case study in Odisha, India. Clim. Dev. 9, 605–617 (2017).
Birkmann, J. et al. Framing vulnerability, risk and societal responses: the MOVE framework. Nat. Hazards. 67, 193–211 (2013).
George, A. & Sharma, P. Socioeconomic and infrastructural vulnerability of Indian population: a district level study. GeoJournal 88, 1841–1871 (2022).
George, A., Sharma, P. & Pradhan, K. C. Spatiotemporal pattern of vulnerability to climate change in Madhya Pradesh, India. Appl. Spat. Anal. Policy. https://doi.org/10.1007/s12061-023-09535-w (2023).
Jha, S. K. & Negi, A. K. Socio-Ecological vulnerability of forest dependent communities to climate change along an altitude gradient in Western Himalayas. Indian Forester. 147, 106 (2021).
Ghosh, M. & Ghosal, S. Climate change vulnerability of rural households in flood-prone areas of Himalayan foothills, West Bengal, India. Environ. Dev. Sustain. 23, 2570–2595 (2021).
Sarun, S., Ghermandi, A., Sheela, A. M., Justus, J. & Vineetha, P. Climate change vulnerability in a tropical region based on environmental and socio-economic factors. Environ. Monit. Assess. 190 (2018).
Kumar, A., Kumar, A., Mann, K. & Mohanasundari, T. Analysing district-level climate vulnerability pattern in Madhya Pradesh, India, based on agricultural and socio-economic indicators. Environ. Monit. Assess. 196, 528 (2024).
Ahmad, M. et al. Assessing livelihood vulnerability to climate variability in the Himalayan region: a district-level analysis of Jammu Province, India. GeoJournal https://doi.org/10.1007/s10708-023-10829-2 (2023).
Jha, S. K., Jana, P., Negi, A. K. & Negi, R. S. Livelihood vulnerability associated with forest fire in Pauri-Garhwal, Western himalaya. Open. Ecol. J. 11, 62–74 (2018).
Roy, N., Debnath, A., Nautiyal, S. & Sarma, M. Livelihood vulnerability to climate change in rural Tripura, India: A comparative study of the tribal and Non-Tribal households. Ecol. Environ. Conserv. 29, 46–57 (2023).
Jatav, S. S. Farmers’ perception of climate change and livelihood vulnerability: a comparative study of Bundelkhand and central regions of Uttar Pradesh, India. Discover Sustain. 5, 11 (2024).
Ghosh, M. & Ghosal, S. Determinants of household livelihood vulnerabilities to climate change in the Himalayan foothills of West Bengal, India. Int. J. Disaster Risk Reduct. 50, 101706 (2020).
Deb, P. & Mukherjee, R. Household vulnerability of tribal people to climate change in the part of Dooars region, West Bengal, India, 385–408. https://doi.org/10.1007/978-981-16-5681-1_15 (2022).
Das, M., Das, A., Momin, S. & Pandey, R. Mapping the effect of climate change on community livelihood vulnerability in the riparian region of Gangatic plain, India. Ecol. Indic. 119, 106815 (2020).
Kumar, P. et al. Vulnerability of tribal communities to climate variability in Lahaul and Spiti, Himachal Pradesh, India. Coğrafya Dergisi –. J. Geogr. 47, 29–43 (2023).
Yadava, R. N. & Sinha, B. Vulnerability assessment of forest fringe villages of Madhya Pradesh, India for planning adaptation strategies. Sustainability (Switzerland) 12 (2020).
Jha, S. K., Mishra, S., Sinha, B., Alatalo, J. M. & Pandey, R. Rural development program in tribal region: A protocol for adaptation and addressing climate change vulnerability. J. Rural Stud. 51, 151–157 (2017).
Birkmann, J. et al. Understanding human vulnerability to climate change: A global perspective on index validation for adaptation planning. Sci. Total Environ. 803, 150065 (2022).
Hazarika, A. et al. Climate change vulnerability of tribe managing Piper agroforestry systems in the Indian sub-Himalayan region. Agric. Syst. 216, 103914 (2024).
Devi, R. M., Patasaraiya, M. K., Sinha, B., Bisaria, J. & Dimri, A. P. Analyzing precipitation and temperature trends of Kanha and satpura tiger reserve, central India. Theor. Appl. Climatol. 140, 1435–1450 (2020).
Jain, S. K., Xu, C. Y. & Zhou, Y. Change analysis of all India and regional rainfall data series at annual and monsoon scales. Hydrol. Res. https://doi.org/10.2166/nh.2023.005 (2023).
Kundu, S., Khare, D. & Mondal, A. Interrelationship of rainfall, temperature and reference evapotranspiration trends and their net response to the climate change in central India. Theor. Appl. Climatol. 130, 879–900 (2017).
Pal, I. & Al-Tabbaa, A. Assessing seasonal precipitation trends in India using parametric and non-parametric statistical techniques. Theor. Appl. Climatol. 103, 1–11 (2011).
Rai, S. K., Kumar, S., Rai, A. K., Palsaniya, D. R. & S. & Climate change, variability and rainfall probability for crop planning in few districts of central India. Atmos. Clim. Sci. 04, 394–403 (2014).
Kumar, A. et al. Assessing seasonal variation and trends in rainfall patterns of Madhya Pradesh, central India. J. Water Clim. Change. 14, 3692–3712 (2023).
Kumar, A., Ray, T. & Mohanasundari, T. Exploring Climatic dynamics in Madhya Pradesh, India utilizing Long-Term gridded data (1951–2021): an integrated statistical and GIS modules. in Integrated Management of Water Resources in India: A Computational Approach. Water Science and Technology (eds Yadav, A. K., Yadav, K. & Singh) (2024)., V. P.) vol. 129 3–21 (Springer, Cham.
Sadok, W., Lopez, J. R. & Smith, K. P. Transpiration increases under high-temperature stress: potential mechanisms, trade‐offs and prospects for crop resilience in a warming world. Plant. Cell. Environ. 44, 2102–2116 (2021).
Herbut, P., Angrecka, S. & Walczak, J. Environmental parameters to assessing of heat stress in dairy cattle—a review. Int. J. Biometeorol. 62, 2089–2097 (2018).
Duhan, D., Pandey, A., Gahalaut, K. P. S. & Pandey, R. P. Spatial and Temporal variability in maximum, minimum and mean air temperatures at Madhya Pradesh in central India. Comptes Rendus - Geoscience. 345, 3–21 (2013).
Shukla, R. & Khare, D. Historical trend investigation of temperature variation in indira Sagar Canal command area in Madhya Pradesh (1901–2005). Int. J. Adv. Inform. Sci. Technol. (IJAIST)2 (2013).
Shukla, R., Khare, D., Tiwari, P., Mishra, P. & Gupta, S. Analysis of long term temperature trend for Madhya Pradesh, India (1901–2005). Curr. World Environ. 12, 68–79 (2017).
Kumar, A. et al. Exploring temperature dynamics in Madhya Pradesh: a spatial-temporal analysis. Environ. Monit. Assess. 195, 1313 (2023).
Skendžić, S., Zovko, M., Živković, I. P., Lešić, V. & Lemić, D. The impact of climate change on agricultural insect pests. Insects 12, 440 (2021).
Asamoah, O., Danquah, J. A., Bamwesigye, D., Appiah, M. & Pappinen, A. Assessing the influence of social factors on local perceptions of climate change, product value addition, multiple uses of NTFPs, and their influence on poverty alleviation in Ghana. Forests 15, 248 (2024).
Kala, C. P. Traditional ecological knowledge of tribal communities and sustainability of nature and natural resources in Pachmarhi biosphere reserve in India. Int. J. Ecol. 2022, 1–13 (2022).
Singh, S., Kumar, A. & Kumara, S. Assessment of drought in meteorological data using SPI and SPEI indicators for sustaining agricultural productivity in the Agra division of Uttar Pradesh, India, 285–303. https://doi.org/10.1007/978-3-031-36825-7_19 (2023).
Kumar, M. N., Murthy, C. S., Sai, S., Roy, P. S. & M. V. R. & On the use of standardized precipitation index (SPI) for drought intensity assessment. Meteorol. Appl. 16, 381–389 (2009).
Bhunia, P., Das, P. & Maiti, R. Meteorological drought study through SPI in three drought prone districts of West Bengal, India. Earth Syst. Environ. 4, 43–55 (2020).
Wahla, S. S. et al. Assessing spatio-temporal mapping and monitoring of Climatic variability using SPEI and RF machine learning models. Geocarto Int. 37, 14963–14982 (2022).
Kumar, N., Patel, P., Singh, S. & Goyal, M. K. Understanding non-stationarity of hydroclimatic extremes and resilience in Peninsular catchments, India. Sci. Rep. 13, 12524 (2023).
Jernigan, V. B. B., D’Amico, E. J., Duran, B. & Buchwald, D. Multilevel and Community-Level interventions with native Americans: challenges and opportunities. Prev. Sci. 21, 65–73 (2020).
Barron, J., Skyllerstedt, S., Giordano, M. & Adimassu, Z. Building climate resilience in rainfed landscapes needs more than good will. Front. Clim. 3 (2021).
Mall, R. K., Gupta, A. & Sonkar, G. Effect of climate change on agricultural crops. In Current Developments in Biotechnology and Bioengineering, 23–46. https://doi.org/10.1016/B978-0-444-63661-4.00002-5 (Elsevier, 2017).
Ajibade, I. & McBean, G. Climate extremes and housing rights: A political ecology of impacts, early warning and adaptation constraints in Lagos slum communities. Geoforum 55, 76–86 (2014).
Wallis-Lage, C. & Erdal, Z. K. Resilience through systems thinking for water infrastructure, 41–67. https://doi.org/10.1007/978-981-16-5493-0_4 (2022).
Cardona, O. D. et al. Determinants of risk: exposure and vulnerability. In Managing the Risks of Extreme Events and Disasters To Advance Climate Change Adaptation, 65–108. https://doi.org/10.1017/CBO9781139177245.005 (Cambridge University Press, 2012).
Musavengane, R. Using the systemic-resilience thinking approach to enhance participatory collaborative management of natural resources in tribal communities: toward inclusive land reform-led outdoor tourism. J. Outdoor Recreation Tourism. 25, 45–56 (2019).
Sen, L. T. H. et al. Farmers’ barriers to the access and use of climate information in the mountainous regions of Thừa Thiên Huế Province, Vietnam. Clim. Serv. 24, 100267 (2021).
Chen, C., Rylee, R. & Fan, C. C. Living together or apart? International migrants and family coresidence in Yiwu, China. Eurasian Geogr. Econ. 1–29. https://doi.org/10.1080/15387216.2023.2282701 (2023).
Cong, P., Huu Manh, D., Huy, A. & Thi Ly Phuong, H. Thi Tuyen, L. Livelihood vulnerability assessment to climate change at community level using household survey: A case study from Nam Dinh Province, Vietnam. Mediterr. J. Soc. Sci. https://doi.org/10.5901/mjss.2016.v7n3s1p358 (2016).
Nguyen, Y. T. B. & Leisz, S. J. Determinants of livelihood vulnerability to climate change: two minority ethnic communities in the Northwest mountainous region of Vietnam. Environ. Sci. Policy. 123, 11–20 (2021).
Jamshed, A., Birkmann, J., Rana, I. A. & McMillan, J. M. The relevance of City size to the vulnerability of surrounding rural areas: an empirical study of flooding in Pakistan. Int. J. Disaster Risk Reduct. 48, 101601 (2020).
McMartin, D. W. et al. Limitations of water resources infrastructure for reducing community vulnerabilities to extremes and uncertainty of flood and drought. Environ. Manage. 62, 1038–1047 (2018).
Filho, W. L. et al. Assessing the impacts of climate change in cities and their adaptive capacity: towards transformative approaches to climate change adaptation and poverty reduction in urban areas in a set of developing countries. Sci. Total Environ. 692, 1175–1190 (2019).
Piya, L., Maharjan, K. L. & Joshi, N. P. Community vulnerability to climate change. In Socio-Economic Issues of Climate Change, 133–151https://doi.org/10.1007/978-981-13-5784-8_10 (Springer Singapore, 2019).
Son, H. & Kingsbury, A. Community adaptation and climate change in the Northern mountainous region of Vietnam: A case study of ethnic minority people in bac Kan Province. Asian Geogr. 37, 33–51 (2020).
Belay, D. & Fekadu, G. Influence of social capital in adopting climate change adaptation strategies: empirical evidence from rural areas of Ambo district in Ethiopia. Clim. Dev. 13, 857–868 (2021).
Lu, J. et al. Explaining the use of online agricultural decision support tools with weather or climate information in the Midwestern united States. J. Environ. Manag. 279, 111758 (2021).
Deribew, A. et al. The effect of household heads training on long-lasting insecticide-treated bed Nets utilization: a cluster randomized controlled trial in Ethiopia. Malar. J. 11, 99 (2012).
Malimi, K. Agricultural input subsidies, extension services, and farm labour productivity nexus: evidence from maize farmers in Tanzania. J. Agric. Econ. 74, 874–898 (2023).
Khangar, N. S. & Thangavel, M. Assessment of environmental impacts: a life cycle analysis of wheat and rice production in Madhya Pradesh. Agron. Res. 22. https://doi.org/10.15159/ar.24.011 (2024).
Khangar, N. S. & Thangavel, M. Assessment of the environmental impacts of soybean production within fields in Madhya Pradesh: a life cycle analysis approach. Integr. Environ. Assess. Manag. vjae052. https://doi.org/10.1093/inteam/vjae052 (2025).
Mustafa, M. A., Mayes, S. & Massawe, F. Crop diversification through a wider use of underutilised crops: A strategy to ensure food and nutrition security in the face of climate change. In Sustainable Solutions for Food Security, 125–149. https://doi.org/10.1007/978-3-319-77878-5_7 (Springer International Publishing, 2019).
Velazquez, O., Pescaroli, G., Cremen, G. & Galasso, C. A review of the technical and Socio-Organizational components of earthquake early warning systems. Front. Earth Sci. (Lausanne) 8 (2020).
Pamidimukkala, A., Kermanshachi, S., Adepu, N. & Safapour, E. Resilience in water infrastructures: A review of challenges and adoption strategies. Sustainability 13, 12986 (2021).
Rahut, D. B., Aryal, J. P., Manchanda, N. & Sonobe, T. Expectations for household food security in the coming decades: A global scenario. In Future Foods, 107–131. https://doi.org/10.1016/B978-0-323-91001-9.00002-5 (Elsevier, 2022).
Singh, N., Sangeet, Kaur, R. & Singh, P. An analysis of transformation of agro-skills into income through vocational trainings. Indian J. Econ. Dev. 13, 623 (2017).
Devanand, P. et al. Advanced distribution management system: improving distribution efficiency through an integrated approach. IEEE Power Energ. Mag. 18, 55–62 (2020).
Camargo, R. Z., Lima, M. C., Torini, D. M. & Education Media and internet: challenges and possibilities based on the concept of digital literacy. Revista Brasileira De Psicodrama. 27, 106–116 (2019).
Zhang, M. et al. Brief communication: effective earthquake early warning systems: appropriate messaging and public awareness roles. Nat. Hazards Earth Syst. Sci. 21, 3243–3250 (2021).
Korostelina, K. V. & Barrett, J. Bridging the digital divide for native American tribes: roadblocks to broadband and community resilience. Policy Internet 15, 306–326 (2023).
Doorn, N. Resilience indicators: opportunities for including distributive justice concerns in disaster management. J. Risk Res. 20, 711–731 (2017).
Salter, J., Robinson, J. & Wiek, A. Participatory methods of integrated assessment—a review. WIREs Clim. Change 1, 697–717 (2010).
Balica, S. F., Wright, N. G. & van der Meulen, F. A flood vulnerability index for coastal cities and its use in assessing climate change impacts. Nat. Hazards. 64, 73–105 (2012).
Baffoe, G. & Matsuda, H. An empirical assessment of households livelihood vulnerability: the case of rural Ghana. Soc. Indic. Res. 140, 1225–1257 (2018).
Ha-Mim, N. M., Hossain, M. Z., Rahaman, K. R. & Mallick, B. Exploring Vulnerability–Resilience–Livelihood Nexus in the face of climate change: A Multi-Criteria analysis for Mongla. Bangladesh Sustain. 12, 7054 (2020).
Huong, N. T. L., Yao, S. & Fahad, S. Assessing household livelihood vulnerability to climate change: the case of Northwest Vietnam. Hum. Ecol. Risk Assess. Int. J. 25, 1157–1175 (2019).
Kumar, A. & Mohanasundari, T. Assessing district-level climate vulnerability in Madhya Pradesh, central India: an integrated environmental and socio-economic approach. Theor. Appl. Climatol. 155, 3449–3471 (2024).
Şen, Z. Innovative trend analysis methodology. J. Hydrol. Eng. 17, 1042–1046 (2012).
Niazkar, M. et al. Drought analysis using innovative trend analysis and machine learning models for Eastern black sea basin. Theor. Appl. Climatol. 155, 1605–1624 (2024).
Mckee, T. B., Doesken, N. J., Kleist, J. The relationship of drought frequency and duration to time scales. In Eighth Conference on Applied Climatology (1993).
Yadava, R. N. & Sinha, B. Developing energy access index for measuring energy poverty in forest fringe villages of Madhya Pradesh, India. Sustain. Energy Technol. Assess. 31, 167–178 (2019).
Author information
Authors and Affiliations
Contributions
Amit Kumar: Conceptualisation, data collection, data analysis, methodology, and original draft writing.T. Mohanasundari: Supervision, Visualisation, Conceptualisation, methodology, and final manuscript review.
Corresponding authors
Ethics declarations
Competing interests
The authors declare no competing interests.
Additional information
Publisher’s note
Springer Nature remains neutral with regard to jurisdictional claims in published maps and institutional affiliations.
Electronic supplementary material
Below is the link to the electronic supplementary material.
Rights and permissions
Open Access This article is licensed under a Creative Commons Attribution-NonCommercial-NoDerivatives 4.0 International License, which permits any non-commercial use, sharing, distribution and reproduction in any medium or format, as long as you give appropriate credit to the original author(s) and the source, provide a link to the Creative Commons licence, and indicate if you modified the licensed material. You do not have permission under this licence to share adapted material derived from this article or parts of it. The images or other third party material in this article are included in the article’s Creative Commons licence, unless indicated otherwise in a credit line to the material. If material is not included in the article’s Creative Commons licence and your intended use is not permitted by statutory regulation or exceeds the permitted use, you will need to obtain permission directly from the copyright holder. To view a copy of this licence, visit http://creativecommons.org/licenses/by-nc-nd/4.0/.
About this article
Cite this article
Kumar, A., Mohanasundari, T. Assessment of livelihood vulnerability to climate change among tribal communities in Chhindwara and Dhar district, Central India. Sci Rep 15, 8843 (2025). https://doi.org/10.1038/s41598-025-90769-8
Received:
Accepted:
Published:
Version of record:
DOI: https://doi.org/10.1038/s41598-025-90769-8
Keywords
This article is cited by
-
Impacts of climatic change on agroecological systems in the Western Himalaya
Discover Agriculture (2026)
-
Delineation of flood vulnerable zones using AHP and GIS techniques in climatically vulnerable Sagar Island, Indian Sundarban Delta
Discover Geoscience (2025)
-
Assessing household level climate change induced livelihood vulnerability of rural workers using IPCC approach: evidence from Dimapur district, India
Mitigation and Adaptation Strategies for Global Change (2025)
-
Climate change impact assessment on livelihood vulnerability of tribal communities: a systematic review
Mitigation and Adaptation Strategies for Global Change (2025)
















