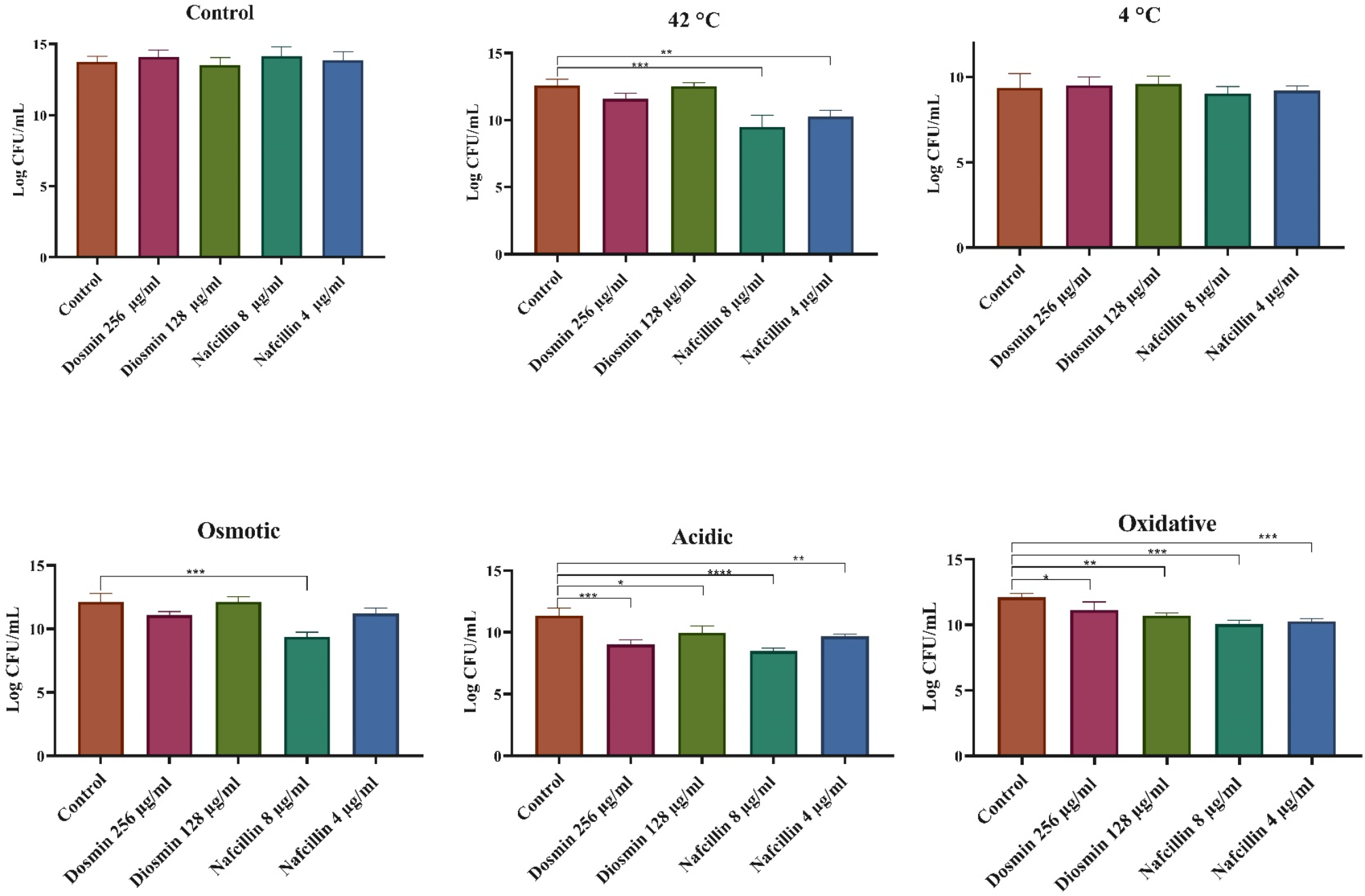
Fig. 5

Effect of diosmin and nafcillin on the survival of S. typhimurium ATCC 14028 in different stress condition. Error bars indicate the standard deviation (SD) of three independent experiments.

Effect of diosmin and nafcillin on the survival of S. typhimurium ATCC 14028 in different stress condition. Error bars indicate the standard deviation (SD) of three independent experiments.