Fig. 5
From: Feasibility of the dynamic EIT technique for non-invasive monitoring of V/Q: a preliminary study

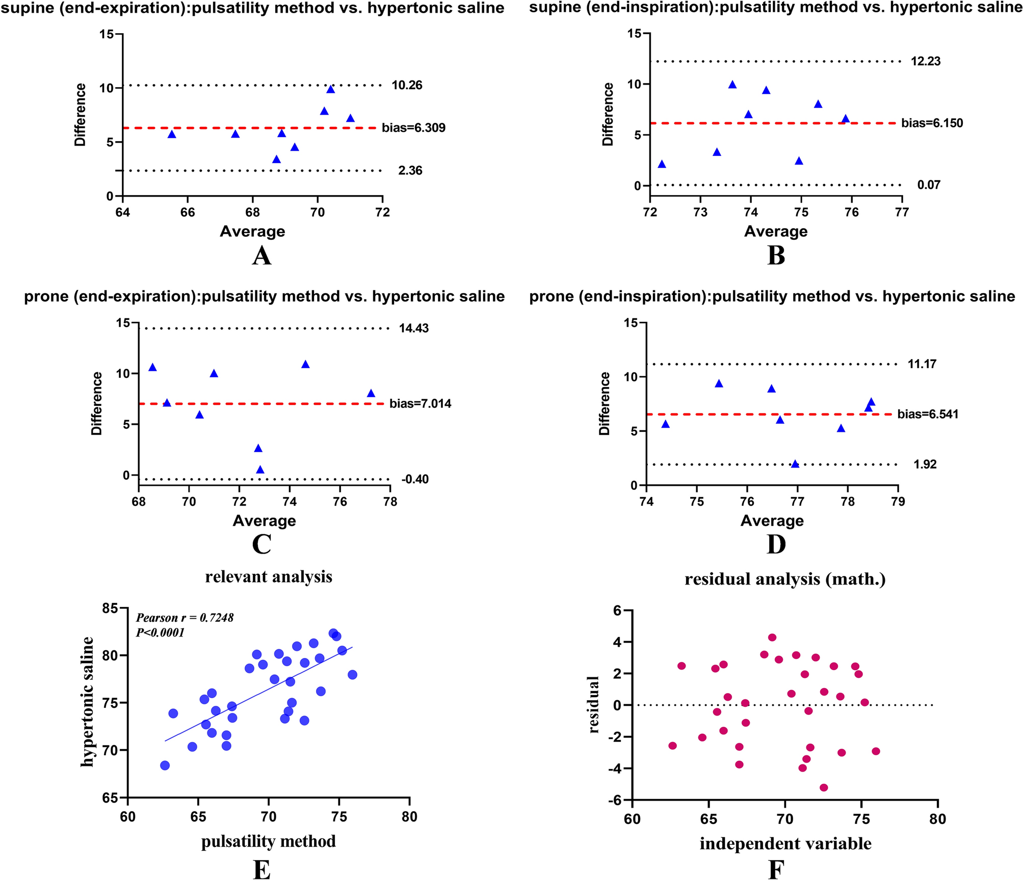
Bland–Altman plot of V/Q results. (A) Supine position during end-expiratory breath-hold; (B) Supine position during end-inspiratory breath-hold; (C) Prone position during end-expiratory breath-hold; (D) Prone position during end-inspiratory breath-hold; (E) Pearson correlation analysis; (F) Residual analysis.