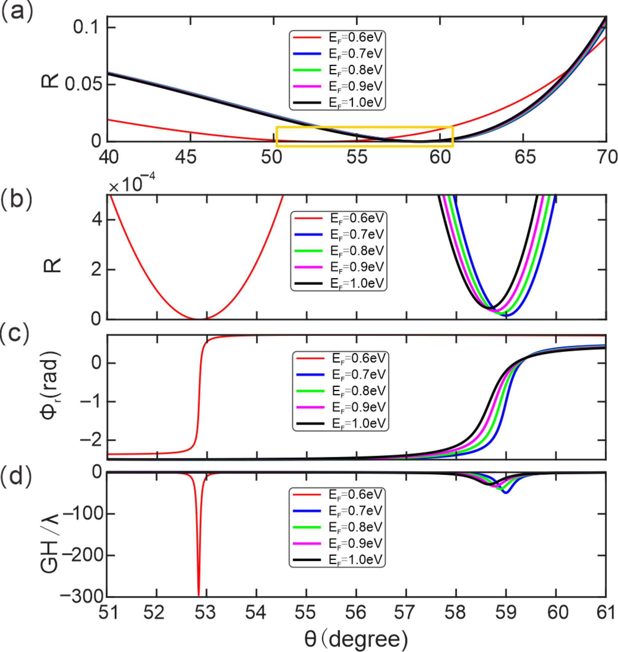
Fig. 3
From: Tunable GH shift based on hyperbolic metamaterials composed of graphene and dielectric

The reflectivity (a), magnified local reflectivity (b), reflection phase (c), and GH shift (d) at different Fermi energies. The other parameters are illustrated as follows: T = 300 K, τ = 0.5 ps, tg = 0.5 nm and td = 50 nm.