Fig. 4
From: Tunable GH shift based on hyperbolic metamaterials composed of graphene and dielectric

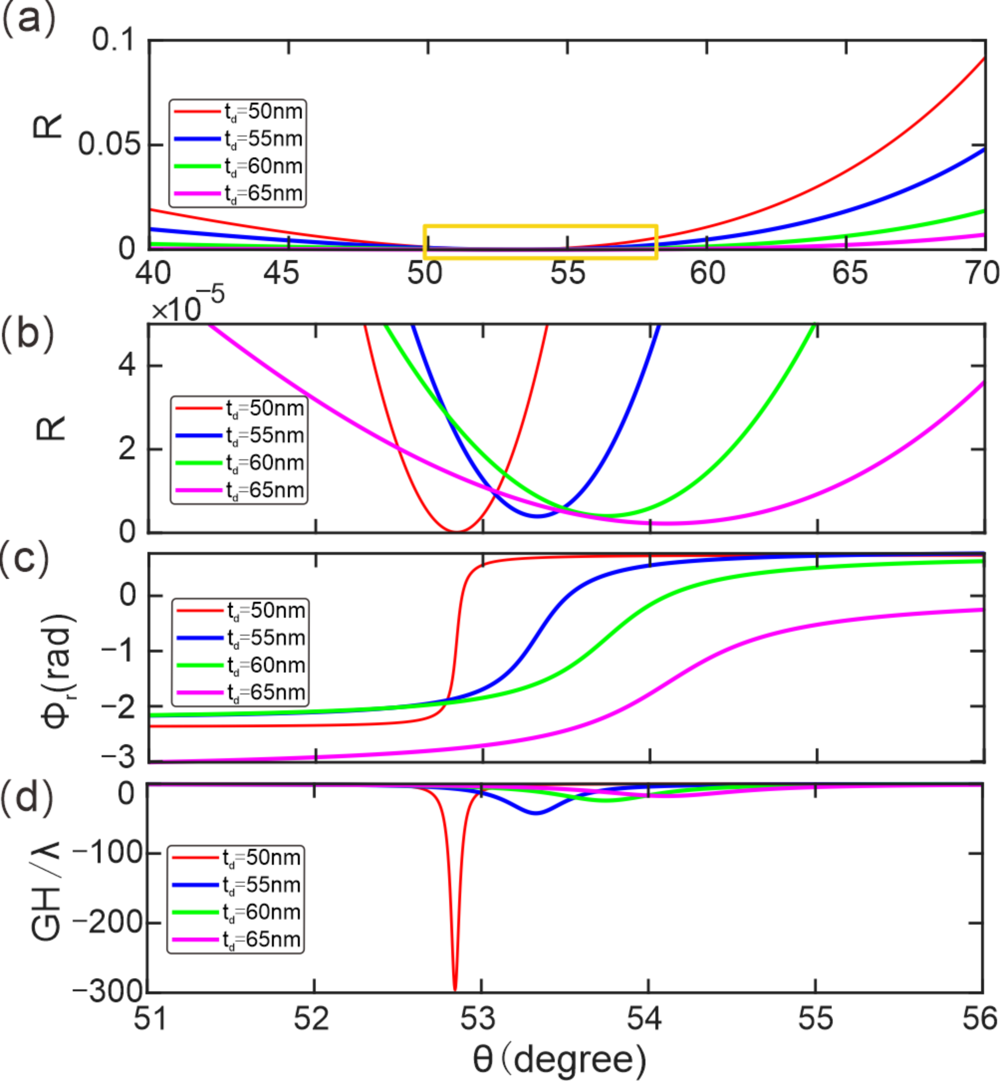
The reflectivity (a), magnified local reflectivity (b), reflection phase (c), and GH shift (d) at different thicknesses of the dielectric. The other parameters are illustrated as follows: T = 300 K, τ = 0.5 ps, tg = 0.5 nm and EF = 0.6 eV.