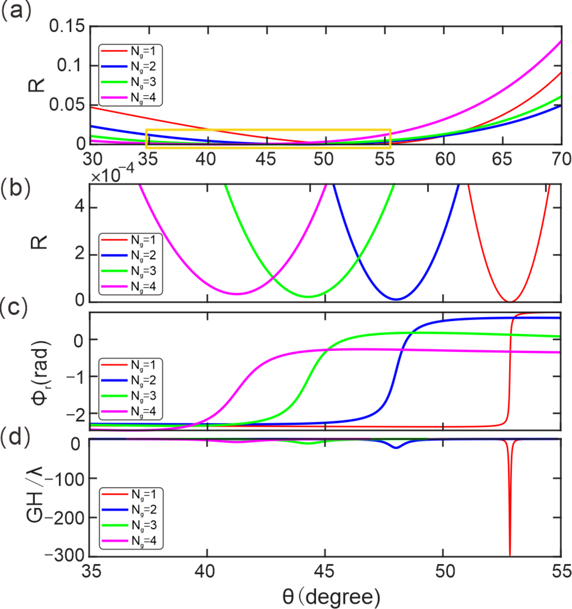
Fig. 5
From: Tunable GH shift based on hyperbolic metamaterials composed of graphene and dielectric

The reflectivity (a), magnified local reflectivity (b), reflection phase (c), and GH shift (d) at different layers of graphene. The other parameters are illustrated as follows: T = 300 K, τ = 0.5 ps, td = 50 nm and EF = 0.6 eV.