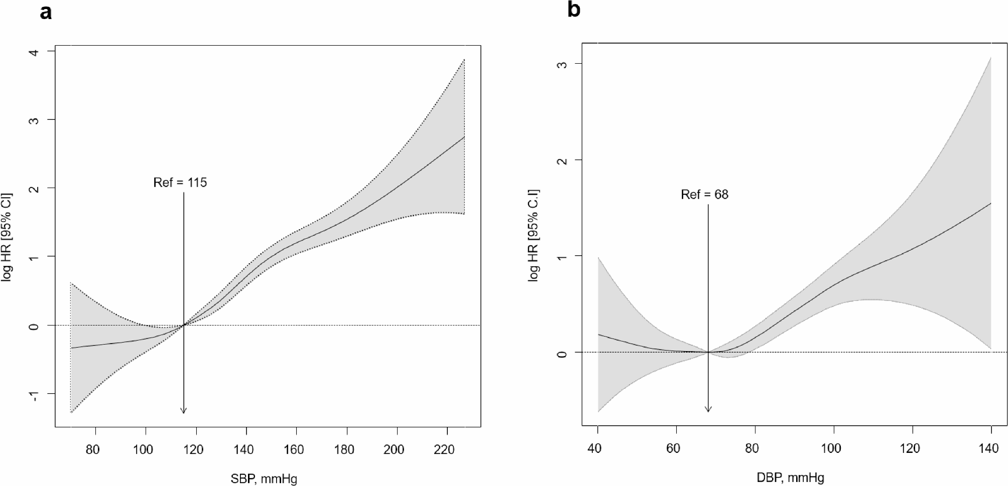
Fig. 2

Restricted cubic spine analyses for BP and ESRD patients. The HR for incident ESRD showed a linear relationship with a baseline of 115 mmHg for SBP (a) and a J-shaped curve with a nadir at 68 mmHg for DBP (b). The shaded areas represent the 95% confidence intervals. BP: blood pressure; ESRD: end-stage renal disease; HR; hazard ratio; SBP: systolic blood pressure; DBP: diastolic blood pressure.