Abstract
The precise prediction of football match outcomes holds significant value in the sports domain. However, traditional prediction methods are limited by data complexity and model capabilities, struggling to meet the demands for high accuracy. Quantum neural networks (QNNs) leverage the unique quantum properties of quantum bits (qubits) such as superposition and entanglement. They have enhanced information processing capabilities and potential pattern mining abilities when dealing with vast, high-dimensional, and complex football match data. This makes QNNs a superior choice compared to traditional neural networks and other advanced models for football match prediction. This study focuses on a deep learning (DL)-based QNN model, aiming to construct and optimize this model to analyze historical football match data for high-precision predictions of future match outcomes. Specifically, detailed match records from 2008 to 2022 of major European football leagues were obtained from the “European Football Database” public dataset on Kaggle. The data includes various factors such as match outcomes, team information, player stats, and match venues. The data are cleaned, standardized, and feature-engineered to meet the input requirements of neural network models. A multilayer perceptron model consisting of an input layer, multiple hidden layers, and an output layer is designed and implemented. During the model training phase, gradient descent is used to optimize weight parameters, and quantum algorithms are integrated to continuously adjust network weights to minimize prediction errors. The model is trained, parameter tuning is completed, and performance is evaluated using the training, validation, and independent test sets. The model’s effectiveness is measured using indicators such as F1 score, accuracy, and recall. The study results indicate that the optimized QNN model significantly outperforms other advanced models in prediction accuracy. The optimized QNN model has an improvement of more than 20.5% in precision, an enhancement of over 23.2% in recall, and an increase of over 22.3% and 21.8% in accuracy and F1 score. Additionally, the model predicts the championship probabilities for Spain, France, England, and the Netherlands in the European Championship as 31.72%, 27.61%, 22.58%, and 18.09%, respectively. This study innovatively applies the optimized QNN model to outcome prediction in football matches, validating its effectiveness in the sports prediction field. It provides new ideas and methods for football match outcome prediction while offering valuable references for developing prediction models for other sports events. By integrating public data with DL technology, this study lays the foundation for the practical application of sports data analysis and prediction models, holding significant theoretical and practical value. Furthermore, future research can further explore the integration of QNN models with mathematical analysis systems, expanding their application scenarios in the real world. For example, sports betting agencies are provided with more accurate risk assessments, assisting teams in formulating more scientific tactical strategies, and optimizing event organization arrangements, to fully leverage their potential value.
Similar content being viewed by others
Introduction
Football, as one of the most popular sports globally, its unpredictability of match outcomes has long been a topic of significant interest. Accurate prediction of football match outcomes can enhance the viewing experience for fans and holds substantial value for sports betting, team strategy planning, and event organization. However, football match results are influenced by various complex factors, such as team strength, match environment, tactical arrangements, and player conditions, making the task of predicting match outcomes highly challenging1. Traditional prediction methods primarily rely on simple statistical analysis and expert experience, but they have shown clear limitations when confronted with large volumes of complex data and nonlinear relationships. With the rapid development of big data and artificial intelligence technologies, deep learning (DL) methods have demonstrated immense potential in prediction tasks2. DL models can automatically learn features from data, improving prediction accuracy to some extent, but they still fail to fully capture the high complexity and dynamics of football match data. As an innovative emerging technology, quantum neural networks (QNNs) possess unique advantages over traditional machine learning (ML) and even some advanced DL models. Unlike DL models based on classical bits and traditional computing architectures, QNNs perform computations using principles of quantum mechanics3. In QNNs, quantum bits (qubits) can simultaneously exist in multiple states through superposition, enabling an exponential increase in computational power and allowing for more efficient processing of complex data patterns. This characteristic enables QNNs to explore a broader solution space than classical models, which is crucial for handling the numerous variables and uncertainties in football match predictions. Moreover, quantum gate operations in QNNs can introduce entanglement between qubits. Entanglement is a quantum phenomenon where the states of two or more qubits exist in an interdependent manner, meaning the state of one qubit cannot be described independently of the others. This entanglement feature allows QNNs to capture nonlinear relationships and interactions between different factors in a football match, which are often overlooked or inadequately modeled by traditional methods. For example, the subtle correlations between a player’s physical condition and their performance on the field can be better represented and analyzed through the quantum entanglement mechanisms in QNNs. Additionally, the complex impact of tactical strategies on team dynamics can also be more effectively captured using these mechanisms. In the context of football prediction, the importance of quantum computing is becoming increasingly evident4. A vast amount of data related to football matches, including historical results, player statistics, team lineups, and various environmental factors, requires substantial computational power to process and extract meaningful patterns. Quantum computing, with its inherent parallelism and ability to process complex quantum states, provides a promising approach to handling this data influx. By leveraging the unique features of QNNs, previously inaccessible hidden relationships and trends within the data can be uncovered, leading to more accurate and reliable football match outcome predictions. This has significant implications for enhancing fan experience and the success rate of sports betting. Also, it offers valuable insights for teams to optimize tactical decisions and training plans, as well as for event organizers to better plan and manage football events5. The practical application of QNNs in scenarios such as real-time match analysis or integration with sports betting systems can further enhance the relevance of this study. For instance, analyzing player status and tactical changes in real-time during a match can provide immediate decision support to coaching teams; The combination with the betting systems can offer more accurate odds predictions to users, improving both the user experience and commercial value. Implementing such practical applications can validate the effectiveness of QNNs in football prediction while advancing the application and development of quantum computing technologies across broader domains.
Rahman (2020) conducted an in-depth exploration of the application of traditional statistical methods in predicting football matches. They primarily collected historical performance data of teams over multiple past seasons, encompassing wins, losses, draws, goals scored, and goals conceded. They also considered players’ average performance data over a certain period, such as goals per match, assists, and pass success rates6. Liu et al. (2022) focused on the application of machine learning algorithms in football prediction. By constructing decision tree models, they classified and predicted various features of teams and players. This model attempted to automatically extract valuable information and patterns from large datasets, but it did not perform well when handling high-dimensional, multivariable data with complex nonlinear relationships. For example, when dealing with factors such as the level of coordination between players, the overall tactical style of the team, and adaptability to specific opponents, which were difficult to quantify, decision tree models struggled to accurately capture and analyze these aspects, thereby affecting prediction accuracy7. Zuo (2022) extensively studied the attempts to use DL-based neural network models in predicting football matches. These models used multilayer neuron structures to automatically learn complicated patterns and features from data. However, in football match predictions, the outcomes were influenced by numerous uncertain factors, such as referee decisions, unexpected player injuries, and critical mistakes during the match. Current DL neural network models still had room for improvement in capturing these sudden and unpredictable situations. Additionally, the models’ ability to respond to the inherent uncertainties and momentary changes in football matches was insufficient, leading to less-than-ideal performance in actual predictions8. Cuperman et al. (2022) innovatively proposed a football match prediction method that integrated multiple data sources. This approach not only included traditional team and player data but also incorporated social media data to reflect fan expectations and public opinion trends, along with detailed tactical analyses of the teams. However, in practical applications, the remarkable differences in data formats, quality, and reliability among various sources made the data fusion process extremely complex9. Jin (2022) conducted specialized research on the impact of player condition and injuries on football match outcomes. By analyzing data on players’ physical condition before matches, recent training performance, and past injury history, the study aimed to assess their potential impact on match results10. Newman et al. (2023) employed complicated mathematical models to predict football match outcomes. These models considered numerous micro and macro factors and solved prediction results by establishing intricate equations and algorithms. However, the models’ high computational complexity required substantial computing resources and time, posing significant challenges for practical applications. Furthermore, the complex model structures resulted in poor interpretability and operability, making them difficult to understand and apply widely in actual football prediction scenarios11. Sarlis and Tjortjis (2020) explored the application of data science and sports analytics in the field of basketball, focusing on evaluating data mining and ML techniques used in the American basketball league and European leagues. The study provided in-depth evaluation methods for team and player performance by analyzing existing basketball performance indicators. They also discussed how to leverage these indicators to optimize team lineups, enhance athletes’ career performance, and support future predictions. The research outcomes offered valuable tools for domain experts and decision-makers, enabling them to better understand strengths and weaknesses in games, optimize performance indicators, and make more informed team-building decisions12. Papageorgiou et al. (2024) compared the effectiveness of 14 ML models in predicting basketball performance based on 18 advanced basketball statistics and key performance indicators. The study conducted individualized predictive analyses for 90 high-level players. Using a custom evaluation indicator, the weighted mean absolute percentage error (WMAPE), the models were ranked, with tree-based models performing best across most prediction indicators. Among them, Extra Trees achieved the lowest WMAPE of 34.14%. Ultimately, the study achieved a 3.6% improvement in mean absolute percentage error on unseen data, providing effective methodological support for basketball performance prediction13. In summary, predicting football match outcomes has long been a subject of interest due to its significant value to stakeholders such as fans, sports bettors, team tactical planners, and event organizers. Traditional prediction methods, such as simple statistical analysis and expert judgment, have proven to be inadequate when faced with the multitude of complex and interrelated factors in football matches. Although contemporary ML and DL methods have made certain advancements, they still fall short in handling highly complex, dynamic, and uncertain data relationships. The emergence of QNN models presents a new opportunity to fill the gaps in the field of football match prediction. However, no studies to date have elucidated the precise key gaps that QNN models address and resolve in this domain. Previous research has discussed the limitations of traditional and some contemporary methods, but lacks an in-depth analysis of the unique advantages and targeted aspects of QNN models. For instance, in dealing with the complex associations between team tactics and player in-game conditions, as well as the subtle influences of match environmental factors, traditional methods often struggle to accurately model and predict. In addition, they face challenges in accounting for the immediate changes in match dynamics caused by unexpected incidents, such as player injuries or critical referee decisions. QNN models, with their qubit superposition and entanglement characteristics, theoretically have a stronger capability to capture these complex and variable relationships, potentially breaking through current predicaments and providing more accurate forecasting results. At present, there is a need to integrate the QNN model into the risk assessment system of sports betting and provide more forward-looking guidance for team strategy formulation. Despite the advantages of this model compared to current practices, there has yet to be a systematic and in-depth study. This is precisely the direction that this study aims to explore in depth, to clarify the key role and value of QNN models in football match prediction.
In the face of the complex scenarios and numerous challenges currently encountered in football match prediction, the application of DL-based QNN models holds significant importance and value. This study aims to explore in depth how the QNN model can accurately address key issues in predicting football match outcomes, thus notably improving prediction accuracy and reliability. Specifically, the research is based on the following hypothesis. The QNN model leverages the unique quantum properties of qubits (superposition and entanglement) can effectively capture the nonlinear relationships and potential correlations among the numerous complex factors in football matches. These complex relationships are often difficult to analyze and handle using traditional prediction methods precisely. For example, it is hypothesized that the QNN model can accurately explain the subtle mechanisms through which a team’s tactical system influences individual player performance during the dynamic progression of a match. Additionally, it is expected to uncover the deep, intrinsic connections between fluctuations in players’ psychological states and the overall performance of the team. This would, in turn, overcome the inherent limitations of traditional models in handling such complex situations, offering a new potential path for accurate match outcome prediction. To validate this hypothesis, extensive historical match data are collected from authoritative datasets, and advanced data processing techniques and scientific model training methods are employed to advance the study. The specific research content includes in-depth exploration and refined analysis of historical match data, as well as the construction and optimization of a QNN model architecture and parameters tailored for football match prediction. Moreover, the model’s prediction performance can be continuously improved through multiple rounds of rigorous training and validation. Additionally, the study delves into the model’s stability and adaptability in various complex match scenarios, aiming to comprehensively address the challenges of accuracy, stability, and generalization in football match prediction. This study provides an innovative and efficient technical approach for predicting football match outcomes, opening new pathways for the development of sports event prediction models. Through rigorous experimental design and result validation, this study fully demonstrates the effectiveness and superiority of the QNN model in football match prediction. This achievement offers valuable reference and theoretical support for the football match prediction field. Meanwhile, it significantly advances the application and development of sports data analysis methods in predictive research. Furthermore, it lays a solid foundation for future related studies. Also, it is expected to stimulate further exploration and practice of innovative applications of quantum technology in the sports field, contributing to the scientific development of sports event prediction.
Application and design of QNN technology based on DL
Application concept of QNN technology in football prediction
In today’s highly digital and data-driven era, accurate predictions of football match outcomes have been a prominent research area. The emergence of QNN technology presents a new opportunity to solve this complex challenge14. Football match outcomes are influenced by multiple interrelated and dynamically changing factors, including team strength, player condition and ability, tactical arrangements, home and away conditions, and match environment. Traditional prediction methods are limited in capturing the complicated relationships between these factors accurately. The key advantage of QNN technology lies in its ability to process massive high-dimensional data and, through the unique properties of quantum states, uncover hidden patterns and nonlinear correlations within the data. It is applied to football prediction and can deeply analyze the combined effects of various factors on match outcomes15. For instance, by learning from massive historical match data, it can discern performance patterns of different teams under specific tactics and the nuances of player coordination. It can also keenly detect trends in player condition changes, thereby predicting their future performance more accurately16. Moreover, it can incorporate seemingly minor but potentially crucial factors like pitch conditions and weather into the model, constructing a comprehensive and detailed prediction framework that continuously self-optimizes to adapt to new data17. The QNN technology’s application concept in football prediction is presented in Fig. 1.
In Fig. 1, the QNN model architecture constructed in this study presents a complex system that integrates quantum mechanics concepts with neural network architecture. It aims to leverage the quantum states’ superposition and entanglement properties to handle the multidimensional and dynamically changing complex information involved in football match prediction18. From a network hierarchy perspective, the model consists of the input, hidden, and output layers, with each layer working in close collaboration to drive the processing and transfer of information. The input layer serves as the data entry point, responsible for receiving preprocessed raw data sourced from various key aspects of the football match. These data encompass recent team goals, conceded goals, player fitness data, recent match performance scores, and environmental data from the match venue19. When converting these classical data into quantum states for input into the model, a quantum computing-based encoding method is employed, assigning appropriate quantum state symbols to each input data. This transformation process is completed within the “Quantum State Input Module”. Classical data is quantized through specific quantum gate operations and qubit representations, allowing the data to enter the model in quantum state form and participate in subsequent quantum computing processes20. The hidden layers play a critical role in feature extraction and the modeling of complex relationships. The architecture includes multiple layers to enhance the model’s expressiveness and learning depth. Neurons within the hidden layers interact through weight connections, encompassing traditional scalar weights and quantum-state correlations introduced by quantum operations. Solid lines represent conventional neuron connections, with weights optimized through classical training algorithms, such as gradient descent, to adjust the signal strength between neurons, thereby learning the linear relationships within the data. Dashed lines represent entanglement relationships between quantum states, realized through quantum gate operations, allowing qubits to form non-local associations and capture complex nonlinear relationships within the data. This is crucial for modeling intricate scenarios in football match prediction, such as the subtle interactions between team tactics and player performance, or the potential impact of players’ psychological states on the progression of the match21.
The number of neurons in the hidden layers is dynamically optimized based on the size and complexity of the dataset. Moreover, it is fine-tuned during training, ensuring that the model can fully extract the latent features and patterns from the data while avoiding overfitting. Additionally, to facilitate differentiation and understanding of the various computational layers’ functions, color coding is used (e.g., purple, orange, green, grey), where each color of a neuron may handle different types of information. For instance, purple neurons focus on processing team tactical information, while orange neurons focus on individual player status. However, the specific functional assignments are adaptively adjusted according to the model’s training and optimization process. The output layer is responsible for generating the final prediction results. In the context of football match prediction, the output may include predictions for match outcomes (win, loss, or draw), goals scored, and goals conceded. These output results are closely linked to the quantum state output from the hidden layers. The quantum states are converted into interpretable classical prediction values through specific quantum measurement operations and post-processing steps. For example, in predicting match outcomes (win, loss, draw), the probability distribution of quantum states is sampled and statistically analyzed. The final match result prediction can be derived by combining it with the decision rules learned during model training. For goal and conceded goal predictions, relevant numerical information is extracted from the quantum states. Meanwhile, meaningful and accurate predicted values are obtained through reverse quantum encoding and data scaling operations. The entire model follows a feedforward mechanism, where information is processed and transformed sequentially through each layer without feedback loops. This ensures the model’s computational efficiency and stability and facilitates the control and optimization of the training process. Through such an architectural design and information processing flow, the QNN model can fully leverage the characteristics of quantum mechanics to efficiently process and analyze complex information in football matches. Thus, it can achieve more accurate and reliable predictions compared to traditional models. This provides an innovative and effective technical approach for football match prediction, with significant theoretical research value and practical application potential.
Technical analysis of the QNN
As an innovative model that combines the advantages of quantum computing and neural networks, the QNN demonstrates unique effectiveness in football match prediction tasks, effectively addressing many of the challenges faced by traditional methods. Quantum computing, based on qubits and the principles of quantum superposition and entanglement, provides significant computational advantages, laying a solid foundation for QNNs in handling complex data. In the context of the complex, multi-dimensional data involved in football prediction, QNNs leverage the superposition property of quantum states. This allows multiple data points to exist simultaneously in different states and cover a wide range of potential possibilities. For instance, when analyzing team tactical strategies, the outcomes of different tactical arrangements can exist as superposition states within the quantum system. Combined with the entanglement property of quantum states, the model can tightly link factors such as player status and match environment. For example, a player’s physical condition, mental state, and factors related to the match—such as weather conditions and home-court atmosphere—can mutually influence each other through quantum entanglement. This means that small changes in one factor can instantaneously affect other factors via entanglement. This superposition and entanglement of quantum states enable QNNs to capture complex data relationships that traditional models struggle to detect, thereby deeply mining the value of the data and supporting accurate predictions. The architecture of QNNs goes beyond traditional predictive models, capable of integrating dynamically changing and interrelated factors such as tactical strategies, player status, and match environment. Traditional models often struggle to process the complex interactions and dynamic changes between these factors in real-time. Whereas, QNNs can rapidly and flexibly adjust each factor’s weight allocation and correlation analysis by utilizing the unique properties of qubits. For example, when a tactical change occurs suddenly during a match, QNNs can instantly update their understanding of the relationship between tactics and player performance through quantum gate operations. This can quickly adapt to the new dynamics of the match. In the case of unexpected events, such as player injuries, QNNs can immediately reassess the overall team strength and match progress based on the rapid transitions of quantum states. Compared to the delays and limitations of traditional models when facing uncertainty, QNNs exhibit greater adaptability and flexibility, remarkably enhancing the accuracy and reliability of predictions22. While learning from vast historical data, QNNs maintain their adaptability to uncertainty. Leveraging the unique capabilities of quantum computing, QNNs can extensively explore the solution space in fewer training iterations, efficiently uncovering hidden patterns in historical match data. For instance, through DL of historical data, QNNs can accurately identify subtle patterns, such as the goal-scoring tendencies of specific player combinations in particular match situations. Additionally, when faced with uncertainties in football matches, such as player injuries or the introduction of new tactics, QNNs quickly adjust model parameters using the flexibility of quantum states, enabling them to immediately adapt to new match conditions. This is because the state of qubits can be rapidly reconfigured with new information, whereas traditional models, due to their fixed structures and parameters, often struggle to handle uncertainties, leading to increased prediction errors. QNNs effectively overcome this limitation, consistently maintaining high predictive performance23. The quantum neuron units (QNEs) and quantum weights in QNNs are crucial components that enable their powerful capabilities. QNEs perform complex transformations on input signals through quantum gate operations, converting features such as the current number of goals and historical match results into quantum state representations. This allows data to participate in the model computation in quantum form. Quantum weights, in turn, leverage quantum entanglement to enable weight sharing and dynamic adjustment, ensuring that the relationships between different features can influence one another within the quantum states. For example, when considering the relationship between the current number of goals and historical head-to-head records, quantum weights can dynamically adjust the contribution of these features to match outcome predictions. This adjustment is based on the degree of their entanglement in quantum states. This mechanism allows QNNs to capture non-linear interactions and quantum correlations that traditional linear models cannot detect, thus providing strong support for accurate football match outcome predictions. Compared to traditional ML or statistical models, QNNs demonstrate remarkable advantages in capturing hidden patterns and subtle non-linear relationships within football prediction data. Traditional models often rely on linear combinations or simple non-linear functions to process data, which struggle to uncover the underlying value in highly complex interrelationships within football match data. These models are also prone to getting trapped in local optima, limiting their ability to fully explore the data space. In contrast, QNNs, based on the superposition and entanglement properties of quantum states, overcome the limitations of traditional approaches, enabling a deeper exploration of more profound hidden patterns. For example, when analyzing the synergistic effects of a team’s offensive and defensive strategies, QNNs can capture how subtle changes in the attacking strategy influence defending players’ positioning and performance through quantum entanglement. Such complex and subtle relationships are often overlooked or difficult to accurately model in traditional models. QNNs can more comprehensively and accurately explore the data space, identifying those subtle yet critical non-linear relationships that traditional models miss, thereby providing more accurate, thorough, and in-depth information for football match prediction. This opens new pathways for the development of football match prediction, with the potential to drive significant advancements and breakthroughs in the field24.
A QNE is the basic component in a QNN that converts an input signal into an output signal and adjusts its parameters through training. The core concepts of QNE encompass quantum input, quantum weight, and quantum activation function. It can be assumed that the input vector is \(\:\overrightarrow{\varvec{x}}=({\varvec{x}}_{1},{\varvec{x}}_{2},\ldots,{\varvec{x}}_{\varvec{n}})\), the quantum weight vector is \(\:\overrightarrow{\varvec{w}}=({\varvec{w}}_{1},{\varvec{w}}_{2},\ldots,{\varvec{w}}_{\varvec{n}})\) and the quantum activation function is \(\:{\varvec{f}}_{\varvec{Q}}\)25. The output \(\:\varvec{y}\) of QNE can be calculated as:
⊗ represents the multiplication of some quantum state. During training, the error function can often be expressed as the difference between predicted and real outputs, such as the mean square error:
\(\:{\varvec{y}}_{\varvec{j}}\) and \(\:{\varvec{t}}_{\varvec{j}}\) are the predicted and real output. The equation for parameter updating is similar to gradient descent in traditional neural networks:
\(\:\varvec{\alpha\:}\) refers to the learning rate. Based on this, assuming that one wants to predict the outcome of a football match (win, draw, and loss), the following characteristics are selected as inputs:
-
(1)
Team A’s recent goals \(\:{\varvec{x}}_{1}\);
-
(2)
Team A’s recent goals conceded \(\:{\varvec{x}}_{2}\);
-
(3)
Team B’s recent goals \(\:{\varvec{x}}_{3}\);
-
(4)
Team B’s recent goals conceded \(\:{\varvec{x}}_{4}\);
-
(5)
The number of wins of Team A in the historical meetings between the two teams \(\:{\varvec{x}}_{5}\);
-
(6)
The number of draws for Team A in the historical meetings between the two teams \(\:{\varvec{x}}_{6}\);
-
(7)
The number of losses for Team A in the all-time meetings between the two teams \(\:{\varvec{x}}_{7}\).
Let the quantum weight vector be \(\:\overrightarrow{\varvec{w}}=({\varvec{w}}_{1},{\varvec{w}}_{2},\ldots,{\varvec{w}}_{7})\) and the quantum activation function be \(\:{\varvec{f}}_{\varvec{Q}}\). The output prediction result \(\:\varvec{y}\) can be calculated by Eq. (4):
⊗ denotes the multiplication operation of quantum states, and the specific implementation method may vary depending on the quantum computing framework and algorithm used. To train and optimize weights, an error function \(\:\varvec{E}\) is defined, such as using a cross-entropy loss function:
\(\:{\varvec{t}}_{\varvec{k}}\) represents the one-hot encoding of the true outcome (win, draw, and loss); \(\:{\varvec{y}}_{\varvec{k}}\) refers to the corresponding probability predicted by the model26. The core of this football prediction concept of QNN is the comprehensive consideration of several key factors related to the match outcome. The team’s recent offensive and defensive performance, historical clash results, and other data are converted into input features, and complex interactive operations are carried out with quantum weights to capture the nonlinearity and potential quantum correlation between these factors27. The idea is more than simply linear combinations of data or traditional statistical analysis. The quantum states’ superposition and entanglement properties enable the model to explore hidden patterns and subtle relationships that are difficult to find with traditional methods28. For example, the variation trend of the number of goals scored and conceded by a team in a specific period may have a complex non-linear correlation with the match outcome, and QNN can effectively mine this correlation29,30,31.
Optimal design of QNN technology in football prediction
In quantum computing, optimizing qubits is crucial for enhancing system performance and computational efficiency. To achieve effective qubit optimization, the primary focus is on improving qubit quality32. This involves deeply exploring the physical implementation mechanisms of qubits, utilizing advanced materials and manufacturing processes to reduce environmental interference, thereby markedly extending their coherence time and stability. Additionally, carefully designing the qubit initialization process is essential. Customizing the selection of appropriate initial quantum state distributions based on specific computational tasks and data characteristics can lay a solid foundation for subsequent computational steps and accelerate algorithm convergence. At the quantum gate operation level, efforts are made to optimize their implementation by precisely controlling parameters and reducing operation time to minimize errors introduced by quantum gate operations. Moreover, designing innovative quantum algorithms that are highly compatible with specific qubit architectures can fully exploit the unique capabilities of qubits4. Introducing quantum error correction techniques is also a critical component; real-time monitoring and correction of errors during the computation process ensure the accuracy and reliability of quantum computing. Furthermore, cleverly integrating the strengths of classical computing to assist in the preprocessing and postprocessing stages of quantum computing can distinctly enhance overall computational efficiency without substantially increasing hardware costs. Lastly, from a hardware perspective, continuous improvements in the physical structure of quantum computing devices, optimizing the coupling strength and control precision between qubits, create favorable conditions for achieving more complex and precise quantum computing tasks33. Figure 2 illustrates the algorithm design for optimizing a two-layer neural network using qubits.
In Fig. 2, the algorithm defines the QNE and the prediction function. It processes the characteristics and weights of the input through quantum operations. By simplifying the definition of quantum circuits with the Pennylane library, QNN technology is optimized to improve its performance. The Pennylane library plays a crucial role in constructing and optimizing quantum circuits within the QNN framework. It provides a set of predefined quantum gate operations and quantum circuit templates. Hence, it significantly simplifies the process of building quantum circuits, lowers the technical barriers for developers, and reduces the amount of code and the likelihood of errors. Through efficient algorithm optimization and resource management, Pennylane can intelligently adjust the sequence and parameters of quantum gate operations to minimize errors and resource consumption. Thus, it substantially improves the quantum circuits’ operational efficiency and computational accuracy. This, in turn, enhances the overall performance of the QNN, accelerates model training and prediction processes, and offers strong support for the development of quantum ML applications.
The concepts of quantum states, superposition, and entanglement in quantum mechanics offer a unique perspective for football match prediction. A quantum state can be viewed as an abstract description that encompasses multiple combinations of information simultaneously. In the context of football matches, this indicates that the multiple potential outcomes of a match can be considered together, overcoming the limitations of traditional prediction methods that presuppose a single deterministic result. The principle of superposition allows different match-related factors, such as team tactics and player conditions, to coexist in a superposed form within the system described by quantum states. These factors are only determined into a specific state when influenced by external observation or the actual progression of the match. For example, in pre-match analysis, a team’s offensive strategy may simultaneously encompass multiple potential choices. These choices are not mutually exclusive but exist in a superposition until specific scenarios during the match trigger the actual strategy to be executed. This approach provides a more comprehensive basis for analyzing a team’s potential actions and broadens the dimensionality of prediction information. Quantum entanglement describes non-local, strongly correlated interactions between different quantum systems. From the perspective of football matches, a team’s various components and influencing factors can be viewed as distinct quantum systems, such as individual player performance, team tactical cooperation, and the home environment atmosphere. These factors may exhibit entanglement, meaning that a change in one factor instantaneously affects other factors it is entangled with, even if they are physically independent. For example, the heightened enthusiasm of home supporters (home environment factor) may be entangled with the excitement and performance enhancement of home team players (individual player performance factor). This entanglement can have a combined effect on the match’s outcome. By considering this entanglement relationship during the prediction process, the model can more accurately capture the complex interactions between different factors, thus enhancing the accuracy and scientific basis of match outcome predictions. This offers a novel approach and framework for football match prediction, surpassing traditional analytical methods.
QNN demonstrates remarkable differences in architecture and performance compared to traditional neural networks, which provide it with practical advantages in football match prediction tasks. From an architectural perspective, traditional neural networks consist of classical neurons, with signals being transmitted and processed in the form of classical bits. Their network structure is typically based on a layered architecture, including input, hidden, and output layers, where information is transferred and transformed through weighted connections between neurons. In contrast, QNNs introduce qubits as the fundamental information processing units. Qubits possess unique quantum properties, such as the ability to exist in a superposition of 0 and 1. This allows a single quantum neuron in QNNs to simultaneously process multiple information pathways, significantly increasing the parallelism and efficiency of information processing. Additionally, the QNN architecture incorporates quantum gate operations, which are similar to the activation functions in traditional neural networks but feature quantum mechanical properties. These quantum gates can perform complex transformations and entanglement operations on qubits, enabling effective capture of complex relationships within the data. For example, when processing the numerous interrelated factors in a football match (such as player coordination, tactical compatibility, and player characteristics), quantum gate operations can exploit entanglement to uncover potential associations between these factors. However, traditional neural networks struggle to capture such highly complex and intertwined nonlinear relationships. In terms of performance, traditional neural networks often require a large amount of training data and extended training times to optimize weight parameters and achieve satisfactory prediction results. This is especially true when dealing with large-scale, high-dimensional data that involves complex nonlinear relationships. However, as data complexity increases, the performance improvement tends to plateau, and the model may become trapped in local optima, limiting prediction accuracy. In contrast, the QNN, with its qubit-based superposition and entanglement properties, can explore a broader solution space with relatively less training data and shorter training times. Hence, it can more effectively capture hidden patterns and relationships within the data. In football match prediction, the data is highly dynamic and uncertain. It contains many factors (such as sudden changes in player condition or unexpected events during the match) that are difficult to model accurately using traditional methods. Thanks to its powerful performance advantages, the QNN can more quickly and accurately adapt to these complex, variable data characteristics, significantly improving prediction accuracy and stability. For instance, when processing real-time match data updates, QNNs can adjust the prediction model more agilely, providing timelier and more precise forecasts of the match’s progress. Traditional neural networks may struggle to respond swiftly to rapid data changes, leading to an increase in prediction errors. In short, the differences in architecture and performance between QNN and traditional neural networks give QNN a clear advantage in football match prediction. Therefore, a more efficient and accurate solution can be offered to address complex football match outcome prediction problems.
Experimental design and experimental data
This study realizes the prediction of football match results by optimizing QNN technology, which can achieve the optimization of QNN technology and improve the prediction effect of football matches. Based on this, the model designed here is trained, tested, and evaluated. In this process, the designed mode is compared with other advanced models, to explore this model’s performance improvement effect. The comparison models selected in this study include the Convolutional Neural Network (CNN), Long-Short Term Memory (LSTM), (Back Propagation Neural Network (BPNN), Transformer, Convolutional Recurrent Neural Network (CRNN), and Connectionist Temporal Classification (CTC).
During the training process, this study utilizes four datasets. (1) The International Football Match Outcome (1872–2020) dataset, which covers 41,586 international football match outcomes from the first official match in 1872 to 2020. It includes various competitions from the Federation Internationale de Football Association (FIFA) World Cup and other international tournaments to regular friendly matches. (2) The Football League dataset, a vast collection spanning multiple seasons, numerous teams, and a large number of matches. For each match, it provides detailed information such as scores, goal scorers, possession rates, and shot attempts, as well as seasonal performance data for teams and individual statistics for players. This dataset contains hundreds of thousands of data points, offering ample material for in-depth analysis and precise prediction. (3) The Spanish Football League Match dataset, a substantial collection covering multiple seasons and including matches from various levels of leagues, such as La Liga and Segunda División, with thousands of matches involving numerous teams. Each match is rich in data, involving tactical arrangements, player performance, and referee decisions, providing robust support for research and forecasting. (4) The Football Match dataset, a comprehensive collection encompassing 9,074 matches from the top five European leagues across the 2011/2012 to 2016/2017 seasons, totaling 941,009 events. By integrating various data sources and performing reverse engineering on textual comments, it includes extensive match data covering over 90% of the matches. In processing these datasets, a series of rigorous steps are taken to ensure the quality and usability of the data, thereby enhancing the transparency of the study. Different methods are employed to address potential missing data issues in the datasets, based on the type and characteristics of the data. As an example of missing data from the International Football Match Outcome dataset, consider the case where weather conditions for a particular match are absent. If weather data for a match is missing, the first step is to compare the match with other games having similar characteristics, such as match time, location, and competition level. Then, the weather data from those matches are used to perform an initial imputation. If sufficient similar matches cannot be found for reference, external professional meteorological databases are utilized. Using historical weather data for the match location, combined with the approximate time range of the match day, the most likely weather conditions are inferred and used to fill in the missing data. In terms of feature engineering, various techniques are applied to extract the potential value from the data. For example, for the performance data of players, common indicators like goals and assists are considered, but the analysis is further refined by incorporating the player’s activity data on the field. The proportion of touches made by the player in high-intensity confrontation areas relative to the total touches is calculated to measure the player’s involvement and influence in critical areas. This is defined as the “key area touch rate.” For team data, in addition to analyzing regular statistics such as match results (win, loss, draw) and points, a “home advantage index” is constructed. This index takes into account factors such as the team’s goals scored, goals conceded, win rate, and audience attendance at home matches. Using a specific weighted algorithm, this index is derived to more accurately assess a team’s home-field advantage. Through these data imputation methods and feature engineering techniques, the quality of the dataset is optimized to the greatest extent. A solid data foundation is provided for the subsequent training of the football match outcome prediction model, thereby enhancing the overall reliability and scientific validity. Incorporating different datasets, such as the International Football Match Outcome and detailed European league data, markedly improves the predictive accuracy of the QNN model. The international match data covers teams’ styles, tactics, and player characteristics from different regions, enriching the model’s understanding of match outcomes under diverse football styles. European league data provides rich details, including long-term team performance, player injuries, and home-field advantage. Combining these datasets exposes the model to more scenarios and factor combinations, aiding in better learning of the complex relationships between match outcomes and various factors. Thus, the accuracy of predictions is enhanced for unknown match results, reducing biases and limitations resulting from a single data source.
Finally, this study uses detailed match records from 2008 to 2022 of major European football leagues, obtained from the Kaggle public dataset “European Football Database,” to train the model for predicting this year’s European Championship. However, several key issues, which have not been fully explored, arose during the research process. Since the data source relies solely on historical data from specific European football leagues, the limitations of this data may introduce potential biases. Differences between leagues in terms of playing style, team strength distribution, match rules, and competition environments may lead to patterns and features learned by the model. These patterns may not be fully applicable to predicting this year’s European Championship. For example, some leagues prioritize attacking play, while others emphasize defensive strategies. The European Championship, as a tournament that brings together national teams with diverse playing styles, may differ in characteristics from these specific leagues. If these potential biases are not adequately considered, the accuracy and reliability of the model’s predictions for the European Championship may be affected. Hence, future research should further analyze and address these potential issues arising from the data’s reliance on specific leagues and tournaments, to enhance the robustness and applicability of the model’s predictions.
Evaluation of the QNN model
Basic performance evaluation of the model
Based on the above experimental design, the designed model is compared and evaluated with the other six models. Firstly, the model’s calculation accuracy is analyzed, and the proposed model’s accuracy improvement effect compared with the other six models is explored through comparison. The comparative statistical results of model accuracy are depicted in Fig. 3.
Figure 3 illustrates that compared to the CNN, LSTM, BPNN, Transformer, CRNN, and CTC models, the designed QNN model demonstrates a significant advantage in accuracy, with an improvement of over 22.3%. Traditional models have certain limitations when predicting football match outcomes. For instance, while CNNs excel at processing grid-like data features, they struggle with effectively extracting key information. This challenge becomes particularly evident when mapping to match results, as football matches involve abstract and complex unstructured factors, such as players’ psychological states or team dynamics, which constrain their accuracy. Although LSTM models consider the temporal dimension of data, they lack flexibility in handling the complex interplay of long-term and short-term factors, as well as unexpected events. Their memory and updating mechanisms are not adaptive enough, leading to the neglect of crucial details and an inability to achieve ideal prediction accuracy. In contrast, the QNN model leverages qubits’ superposition and entanglement properties to process various types of data in a more comprehensive and complex manner. It can simultaneously analyze and integrate different states of multiple factors, overcoming the bottlenecks faced by traditional models when dealing with complex relationships. For example, when considering the synergistic effects between team tactics and player performance, the QNN model can quickly capture subtle changes in their relationship through quantum state transformations. Thus, it results in more accurate predictions of match progress, significantly improving accuracy. However, this study still has some limitations in exploring the QNN model. The evaluation analysis of the model does not delve deeply into misclassification cases. It does not provide a detailed analysis of the specific factors leading to misclassification, such as whether it is due to insufficient feature extraction or structural flaws in the model when handling certain data patterns. In addition, the model’s limitations in handling unexpected match events, such as player injuries, have not been sufficiently discussed. Player injuries significantly impact team tactics, player lineup, and match progress. Moreover, it remains to be investigated whether the QNN model’s prediction ability is affected by such events, and to what extent. A more thorough understanding and resolution of these issues are essential to further improving the QNN model’s performance and reliability in football match outcome prediction, allowing its advantages to be more fully realized. Figure 4 reveals the comparison results for model precision.
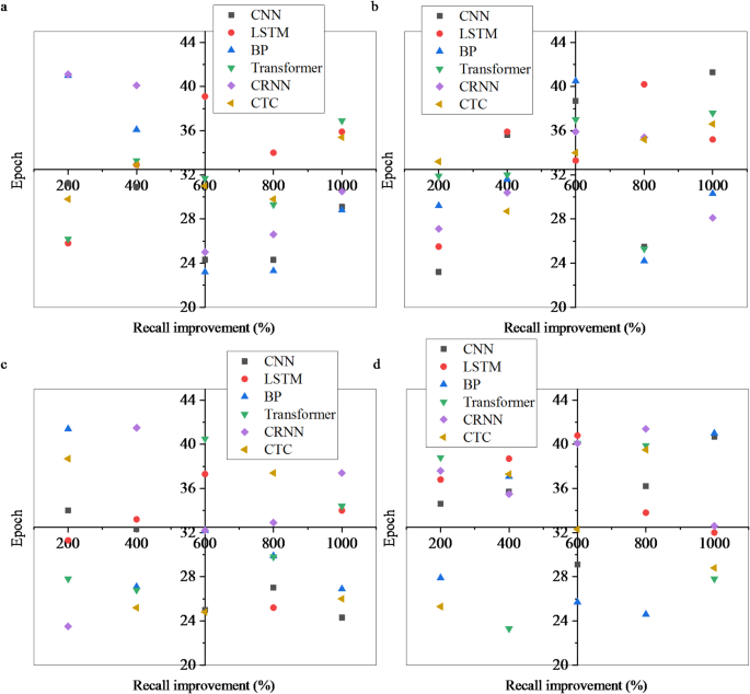
In Fig. 4, a thorough comparison reveals a significant finding in terms of precision. When comparing the designed QNN model with other related models, it is evident that the QNN model exhibits a remarkable improvement in precision. Some traditional models, such as CNNs, focus on extracting local features from the data. However, when dealing with complex scenarios like football matches, they may miss global information that influences the match outcome by concentrating on the local aspects. This results in limited precision, failing to cover all potential situations that could impact the match’s outcome, leading to the omission of cases that should have been correctly identified as positive instances. Although LSTM networks can handle sequential information, they are less effective in integrating multiple factors influencing the match over different periods. They may overlook intermittent or incidental factors and their relationship with the match outcome, thus affecting precision performance. The QNN model, leveraging qubit superposition and entanglement, evaluates complex factors in football matches from a more macro and comprehensive perspective. It considers not only regular tactical coordination and player status but also unexpected external factors. This enables the model to identify positive instances as comprehensively as possible, resulting in a precision improvement of over 20.5%. In specific scenarios, it reaches up to about 38%, demonstrating a remarkable advantage in precision over other models. The comparison results for models’ recall are suggested in Fig. 5.
Figure 5 suggests that through analysis and comparison, the QNN model exhibits significant superiority in terms of recall for key performance indicators. Compared to other similar models, the QNN model demonstrates a remarkable improvement of over 23.2% in recall, with a maximum improvement of approximately 40% under specific conditions and environments. This result confirms the model’s exceptional performance and competitiveness in football match prediction tasks. The model has achieved favorable results for core indicators. However, from a comprehensive and rigorous perspective, it is necessary to explore potential challenges that the QNN model might face in complex real-world scenarios. The football match process is inherently complex and unpredictable, with factors such as unexpected injuries to key players or subjective refereeing decisions potentially posing threats to the model’s prediction accuracy. However, from the model’s construction logic and training mechanism, a targeted and extensive data collection strategy is employed in the data preprocessing phase, incorporating matches with various player injuries and controversial decisions. This allows the model to learn the potential data features and complex patterns in these special circumstances during the training phase. Additionally, advanced data augmentation techniques based on Generative Adversarial Networks (GANs) are employed to appropriately and diversely expand data from these exceptional cases. These significantly enhance the model’s adaptability and generalization ability to various unexpected situations. From the architectural design perspective, an innovative adaptive dynamic adjustment module based on an attention mechanism is introduced. This module dynamically optimizes the model’s key parameters and internal structure based on real-time input data features. This ensures that the model can rapidly and accurately adjust its prediction strategy. This is particularly important when facing complex situations, such as significant changes in the team’s tactical system due to player injuries or unexpected shifts in match direction caused by refereeing decisions. In conclusion, uncontrollable external factors could theoretically impact the prediction performance of the QNN model. However, the series of innovative measures and fine-tuned optimizations in data processing and model architecture design have enabled the model to effectively handle these complex real-world challenges. This ensures the reliability and stability of its prediction performance in the highly uncertain task of football match prediction, offering a solid foundation for future related research and practical applications. Figure 6 shows the evaluation results for the model’s F1 score.
In Fig. 6, the comparative analysis of F1 scores indicates that the designed QNN model demonstrates a remarkable advantage over other models. Specifically, the F1 score of this model increases by over 21.8%, with the maximum improvement reaching approximately 36%. The F1 score considers both precision and recall, providing a more comprehensive reflection of the model’s performance. This result suggests that the QNN model achieves a good balance between precision and recall, significantly enhancing its overall performance and demonstrating stronger competitiveness and practical value. However, despite the model’s excellent performance in the current evaluation indicators, the complexity of football matches means that further exploration of potential limitations and countermeasures is still needed. The model’s predictive ability may face challenges under special circumstances. For example, during a match, real-time data is continuously updated, with changes in player status, temporary tactical adjustments, and unexpected events all affecting the outcome. For the QNN model, handling real-time data updates primarily relies on its unique quantum computing characteristics. When new real-time data is input, the QNN model can quickly encode and process this information by leveraging qubits’ superposition and entanglement properties, converting the data into quantum state representations. In quantum states, different data features can simultaneously exist in multiple states and be interrelated, allowing the model to consider the combined impact of several real-time factors. For example, when a player suddenly gets injured during a match, this real-time information is input into the model. Meanwhile, it can swiftly adjust the weight distribution and interrelations of relevant factors (such as team lineup, tactical arrangement, player mentality, etc.) through quantum gate operations. Utilizing the rapid transitions of quantum states, the model can immediately update its understanding and prediction of the match situation, allowing it to quickly adapt to dynamic changes in the game. In this way, the QNN model exhibits advantages that traditional models find difficult to match in handling real-time data updates, greatly enhancing its practical applicability in real-time football match prediction.
Prediction and evaluation of football matches
Based on the above foundational model testing results, this study trains the model using detailed match records from major European football leagues between 2008 and 2022, obtained from the publicly available Kaggle dataset “European Soccer Database,” to predict this year’s European Championship. The prediction results for the European Championship are exhibited in Table 1.
In Table 1, the teams exhibit distinct characteristics and trends in terms of championship probability, average goals scored, and average goals conceded. Spain leads with a 31.72% probability of winning, scoring an average of 2.1 goals per game and conceding 0.8 goals, indicating a well-balanced and strong performance in both attack and defense. Spain’s stable attacking force and solid defense make them strong contenders for the championship. France has a 27.61% probability of winning, with an average of 2.3 goals scored and 1.0 goals conceded per game. While their attacking ability is decent, their defense may have some weaknesses, which could affect their chances of winning, as defensive stability is often crucial in high-level football events. England has a 22.58% probability of winning, scoring an average of 1.8 goals per game and conceding 0.6 goals. Their relatively weaker attack is offset by their strong defensive resilience, suggesting that the team may adopt a more conservative tactical strategy, relying on solid defense to secure victories. The Netherlands has an 18.09% probability of winning, with an average of 1.9 goals scored and 0.7 goals conceded. Their overall performance is rather average, and to compete with other top teams, they need to further improve their attacking and defensive efficiency to increase their chances of winning. Considering the results of the robustness tests for the data, these means, standard deviations, and confidence intervals offer a more comprehensive perspective, indicating that the predictions are subject to some variability. The uncertainty of football matches remains an important factor; even though the model’s predictions provide a valuable reference, real-world variables could still cause deviations from the expected outcomes. According to the QNN model’s predictions, Spain may have an advantage in tactical coordination and ball possession. Based on historical data, the model likely predicts a higher championship probability for Spain in the European Championship due to their effective execution of complex tactics and control of possession. France’s strength might lie in the individual abilities of their star players, who can change the course of a match at critical moments. England may benefit from their home advantage and the rise of young players in recent years, offering some stability in morale and physical fitness. The Netherlands’ traditional attacking style might be considered an advantage, but their relatively weak defense may be viewed as a disadvantage by the model. These insights offer a data-driven reference for evaluating the teams’ performances in the European Championship, helping teams tailor their strategies and enabling fans to form reasonable expectations.
Discussion
This study successfully constructs and optimizes a QNN-based football match prediction model, demonstrating significant performance advantages over other advanced models. The model shows notable improvements in accuracy, precision, recall, and F1 score, providing valuable insights for predicting the probability of winning and performance of teams in the European Championship. Compared to traditional models, QNN offers unique advantages in football match prediction. While traditional CNNs excel at extracting local features, they are limited when processing complex global information in football matches. LSTM models, with their ability to handle long sequence data, struggle to accurately capture the long-term dynamic changes of various factors in football matches. Although the Transformer model effectively captures long-range dependencies, it still faces challenges in handling the high complexity of football data. In contrast, QNN, utilizing the quantum states’ superposition and entanglement properties, can simultaneously process large amounts of complex information. Meanwhile, it reveals nonlinear relationships between various factors and provides more precise insights into the dynamics of the match. As a result, it demonstrates higher accuracy and adaptability in football match prediction. However, further investigation into the model’s performance and potential issues in practical applications is crucial to assess its utility and future development accurately. From a technical perspective, although QNN has strong computational potential, it is currently limited by quantum hardware. The fragility of qubits makes them susceptible to environmental noise, which restricts the accuracy and stability of computations. Furthermore, the high hardware costs and the challenges of widespread application remain significant obstacles. This necessitates ongoing investment in research and development to enhance hardware performance and explore more efficient quantum algorithms. Additionally, integration strategies with classical computing should be explored to reduce reliance on specialized hardware, thereby improving the model’s practicality and scalability. For instance, research into new quantum error-correcting codes and quantum gate optimization techniques could enhance the reliability and efficiency of QNNs in complex real-world environments. In the unique context of football matches, numerous difficult-to-quantify factors exert profound effects on match outcomes, presenting challenges for the QNN model. For example, team morale, as an abstract psychological state, has a significant impact on performance but is difficult to measure accurately with current data collection and quantification methods. During winning or losing streaks, fluctuations in morale may lead to changes in players’ technical execution, tactical implementation, and team coordination. However, these subtle yet critical influences are often not captured by traditional data indicators, making it difficult for the QNN model to fully grasp the potential relationship between morale and match outcomes. Similarly, the complexity and unpredictability of off-field events also pose challenges for the QNN model. Negative media coverage, unexpected personal issues with players, traffic, weather, and broader societal factors can all indirectly or directly interfere with match progression and players’ psychological states, thereby impacting match outcomes. However, due to these off-field factors’ unstructured and uncertain nature, they are often difficult to incorporate into traditional datasets and model frameworks. This calls for innovative data processing and modeling approaches to enhance the model’s adaptability and explanatory power with respect to these complex factors. Moreover, the quality and representativeness of data cannot be overlooked. Although this study uses multiple datasets, the dynamic and diverse nature of football match data means that data bias and inadequacies remain ongoing issues. Emerging tactics, rule changes, and unique match scenarios may be underrepresented in historical data, affecting the model’s ability to predict rare or novel match situations. Therefore, future research should focus on expanding data collection channels, integrating multi-source data, and applying advanced data preprocessing techniques to improve data quality and representativeness, ultimately optimizing model performance.
This study focuses on football match prediction. However, the potential of the QNN model extends far beyond this application. In other sports, QNN also holds broad application prospects. For example, in basketball, the fast-paced nature of the game, frequent player position changes, and complex tactical plays generate data with high dimensionality and complexity. Leveraging the superposition and entanglement properties of quantum states, QNNs can simultaneously process real-time player states, team tactics, and various dynamic information throughout the game. This effectively uncovers non-linear relationships and enables accurate predictions of key indicators such as match outcomes and player scores. In tennis, factors such as players’ physical exertion, technical performance, and psychological fluctuations intertwine, making it difficult for traditional models to analyze comprehensively. The QNN model, with its quantum computing advantages, can holistically consider these complex factors, predicting match progression and player performance. Beyond the realm of sports, QNN also has potential applications in the financial sector. Financial market fluctuations are influenced by a multitude of factors, including macroeconomic indicators, corporate financial health, and investor sentiment, all of which present high complexity and dynamism. The QNN model can process multidimensional data simultaneously, uncover hidden non-linear relationships between various factors, and improve the accuracy of financial risk prediction and investment decision-making. In the healthcare sector, faced with complex patient symptoms, genetic data, and medical history, the QNN model can more efficiently analyze this information, assisting doctors in diagnosing diseases and formulating treatment plans.
Quantum computation, while providing the QNN model with powerful computational capabilities, also comes with significant resource demands. The operation of quantum hardware requires extremely demanding physical environments, such as ultra-low temperatures near absolute zero and high-precision qubit control techniques. These requirements substantially increase the costs of hardware construction and maintenance while limiting the deployment scale and application range of quantum computers. Additionally, quantum algorithms often require a large number of qubits and complex quantum gate operations, placing high demands on both the quantity and quality of qubits. Currently, the preparation and control technologies for qubits still face many challenges. The number and stability of qubits fall short of meeting the requirements for large-scale computation, thus limiting the efficiency of quantum computation in practical applications. Furthermore, the quantum error correction process is also highly complex and resource-intensive. Since qubits are highly susceptible to interference from environmental noise, which can cause computational errors, complex quantum error correction codes are necessary to ensure the accuracy of calculations. However, the error correction process consumes substantial qubits and computational time, exacerbating the strain on computational resources. These limitations in computational resource requirements severely restrict the broader adoption and development of the QNN model in practical applications and urgently call for technological innovation and algorithm optimization to address them. Despite these limitations, this study provides a clear direction for future exploration. As quantum technology advances and interdisciplinary research deepens, developing more powerful, robust, and practical QNN models is anticipated. By integrating multimodal data, optimizing model architectures, and improving algorithms, such models can more accurately capture the complex factors and potential patterns in football matches. Thus, these models can provide more valuable predictive and analytical support for football-related decision-making and advancing technological progress and scientific development in the sports event prediction field.
Conclusion
This study focuses on enhancing football match prediction performance and optimizing QNN technology. The designed QNN model is trained and tested using four datasets and compared with advanced models such as CNN, CTC, Transformer, CRNN, LSTM, and BPNN. The study mainly revolves around two key aspects: the base performance evaluation and football match prediction evaluation. In the base performance evaluation phase, the study thoroughly compares and analyzes indicators such as F1 score, precision, recall, and accuracy. In the football match prediction evaluation, after training the model with specific datasets, the study attempts to predict the outcomes of European Championship matches. The results indicate that, regarding base performance evaluation, the designed QNN model outperforms the other six comparison models. Specifically, accuracy increases by more than 22.3%, while precision, F1 score, and recall improve by over 20.5%, 21.8%, and 23.2%, respectively, demonstrating strong stability. In the European Championship prediction, the model successfully predicts key indicators such as the winning probabilities, average goals scored, and goals conceded by teams like the Netherlands, Spain, France, and England. This highlights the outstanding performance of the QNN model in predicting football match outcomes. All performance indicators exhibit notable improvement, providing more accurate predictions for football matches.
However, this study has certain limitations. Although the datasets used are relatively rich in scope and scale, issues of data bias and insufficient representativeness cannot be completely avoided. Football match outcomes are influenced by the complex interaction of numerous factors, and the model has not fully accounted for unexpected events, such as player injuries. Therefore, future research should focus on further expanding the scale and diversity of datasets, incorporating additional factors that influence match outcomes. These factors include in-depth analysis of player psychological data, tactical changes by teams at different stages of the match, and real-time dynamic information from the surrounding environment of the match venue. This makes the dataset more comprehensive and better reflects the true nature of football matches. In terms of future application expansion, integrating the QNN model into team strategy tools and fan interaction platforms holds significant importance. When integrating into team strategy tools, the first step is to develop data interfaces compatible with mainstream team strategy analysis software. This ensures a seamless connection with the output data from the QNN model. An intuitive, visual operation interface is then built, displaying key information such as players’ real-time status and tactical simulation results in the form of charts and graphs, assisting coaches in making quick decisions. Meanwhile, a real-time feedback mechanism is established, allowing coaches to provide immediate feedback on unexpected situations during matches, tactical adjustments, and other factors. This enables the model to automatically optimize its parameters based on this feedback and promote the mutual enhancement of prediction and practice. When integrating into fan interaction platforms, a dedicated interactive section is created on mainstream fan platforms, where fans can input relevant match information and receive QNN model predictions. The platform can also regularly host fun competitions based on the prediction results to engage fans and gather their feedback. This feedback can be used to optimize the model, enhancing the fan experience. From a technical improvement perspective, the integration potential of QNN with other advanced methods is immense. When combined with reinforcement learning, a highly realistic sports event simulation environment can be developed, with QNN serving as a decision strategy generation network. The model parameters are dynamically adjusted based on reward signals, such as scores and match outcomes, from the simulated matches, enabling the QNN to make optimal decisions in complex and dynamic event scenarios. When integrated with ensemble models, targeted training is conducted for both QNN and traditional ML models. Moreover, based on each model’s performance on historical data, the predictions from each model are combined using techniques such as weighted fusion or stacking. This fully leverages the QNN’s ability to handle complex nonlinear relationships and the traditional models’ strengths in extracting specific data features. Furthermore, continuous optimization of the model’s architecture and algorithms is crucial. Exploring more efficient qubit optimization strategies can improve the precision and efficiency of quantum gate operations. Simultaneously, combining advanced ML algorithms and DL architectures can further enhance the model’s prediction accuracy and generalization ability, making it better suited to various complex and dynamic match scenarios and data characteristics. Moreover, exploring the potential applications of this model in other sports is equally significant. While different sports have unique characteristics, match outcomes are influenced by multiple factors. By making targeted adjustments and optimizations, the model can be applied to predict outcomes in popular sports such as basketball, tennis, and baseball. This broadens the model’s application scope and further highlights its value and impact in the sports event prediction field, providing stronger technological support and data-driven decision-making for the sports industry.
Data availability
All data generated or analysed during this study are included in this published article [and its supplementary information files].
References
Wi, S. & Steinschneider, S. On the need for physical constraints in deep learning rainfall–runoff projections under climate change: A sensitivity analysis to warming and shifts in potential evapotranspiration. Hydrol. Earth Syst. Sci. 28(3), 479–503 (2024).
Wang, J. & Safo, S. E. Deep IDA: A deep learning approach for integrative discriminant analysis of multi-omics data with feature ranking—An application to COVID-19. Bioinform. Adv. 4(1), vbae060 (2024).
Breger, A., Karner, C. & Ehler, M. visClust: A visual clustering algorithm based on orthogonal projections. Pattern Recognit. 148, 110136 (2024).
Li, Y., Wang, H. & Luo, Y. Improving fairness in the prediction of heart failure length of stay and mortality by integrating social determinants of health. Circ. Heart Fail. 15(11), e009473 (2022).
Zhou, T., Han, T. & Droguett, E. L. Towards trustworthy machine fault diagnosis: A probabilistic Bayesian deep learning framework. Reliab. Eng. Syst. Saf. 224, 108525 (2022).
Rahman, M. A. A deep learning framework for football match prediction. SN Appl. Sci. 2(2), 165 (2020).
Liu, N., Liu, L. & Sun, Z. Football game video analysis method with deep learning. Comput. Intell. Neurosci. 2022(1), 3284156 (2022).
Zuo, X. Visualization of football tactics with deep learning models. Wirel. Commun. Mob. Comput. 2022(1), 9259328 (2022).
Cuperman, R., Jansen, K. M. B. & Ciszewski, M. G. An end-to-end deep learning pipeline for football activity recognition based on wearable acceleration sensors. Sensors 22(4), 1347 (2022).
Jin, G. Player target tracking and detection in football game video using edge computing and deep learning. J. Supercomput. 78(7), 9475–9491 (2022).
Newman, J., Sumsion, A., Torrie, S. & Lee, D. J. Automated pre-play analysis of American football formations using deep learning. Electronics 12(3), 726 (2023).
Sarlis, V. & Tjortjis, C. Sports analytics—Evaluation of basketball players and team performance. Inf. Syst. 93, 101562 (2020).
Papageorgiou, G., Sarlis, V. & Tjortjis, C. Evaluating the effectiveness of machine learning models for performance forecasting in basketball: A comparative study. Knowl. Inf. Syst. 1(3), 1–43 (2024).
Han, C. & Fu, X. Challenge and opportunity: Deep learning-based stock price prediction by using Bi-directional LSTM model. Front. Bus. Econ. Manag. 8(2), 51–54 (2023).
Feng, S., Zuo, C., Hu, Y., Li, Y. & Chen, Q. Deep-learning-based fringe-pattern analysis with uncertainty estimation. Optica 8(12), 1507–1510 (2021).
Jacobson, N. C. & Bhattacharya, S. Digital biomarkers of anxiety disorder symptom changes: Personalized deep learning models using smartphone sensors accurately predict anxiety symptoms from ecological momentary assessments. Behav. Res. Therapy 149, 104013 (2022).
Wang, S. Y., Tseng, B. & Hernandez-Boussard, T. Deep learning approaches for predicting glaucoma progression using electronic health records and natural language processing. Ophthalmol. Sci. 2(2), 100127 (2022).
Sharma, D. & Xu, W. phyLoSTM: A novel deep learning model on disease prediction from longitudinal microbiome data. Bioinformatics 37(21), 3707–3714 (2021).
Onan, A. Sentiment analysis on massive open online course evaluations: A text mining and deep learning approach. Comput. Appl. Eng. Educ. 29(3), 572–589 (2021).
Alatawi, H. S., Alhothali, A. M. & Moria, K. M. Detecting white supremacist hate speech using domain specific word embedding with deep learning and BERT. IEEE Access 9, 106363–106374 (2021).
Sousa, S. & Kern, R. How to keep text private? A systematic review of deep learning methods for privacy-preserving natural language processing. Artif. Intell. Rev. 56(2), 1427–1492 (2023).
Elkholy, S. M. M., Rezk, A. & Saleh, A. A. E. F. Early prediction of chronic kidney disease using deep belief network. IEEE Access 9, 135542–135549 (2021).
Agbo-Ajala, O. & Viriri, S. Deep learning approach for facial age classification: A survey of the state-of-the-art. Artif. Intell. Rev. 54(1), 179–213 (2021).
Stevenson, M., Mues, C. & Bravo, C. The value of text for small business default prediction: A deep learning approach. Eur. J. Oper. Res. 295(2), 758–771 (2021).
Jiang, S., Zanazzi, G. J. & Hassanpour, S. Predicting prognosis and IDH mutation status for patients with lower-grade gliomas using whole slide images. Sci. Rep. 11(1), 16849 (2021).
Rajpurkar, P., Chen, E., Banerjee, O. & Topol, E. J. AI in health and medicine. Nat. Med. 28(1), 31–38 (2022).
Kang, M., Ko, E. & Mersha, T. B. A roadmap for multi-omics data integration using deep learning. Brief. Bioinform. 23(1), bbab454 (2022).
Cao, Y., Ding, Y., Jia, M. & Tian, R. A novel temporal convolutional network with residual self-attention mechanism for remaining useful life prediction of rolling bearings. Reliab. Eng. Syst. Saf. 215, 107813 (2021).
Ge, J., Kim, W. R., Lai, J. C. & Kwong, A. J. “Beyond MELD”–Emerging strategies and technologies for improving mortality prediction, organ allocation and outcomes in liver transplantation. J. Hepatol. 76(6), 1318–1329 (2022).
Pichler, M. & Hartig, F. Machine learning and deep learning—A review for ecologists. Methods Ecol. Evol. 14(4), 994–1016 (2023).
Jaiswal, V., Negi, A. & Pal, T. A review on current advances in machine learning based diabetes prediction. Primary Care Diabetes 15(3), 435–443 (2021).
Velmahos, C. S., Badgeley, M. & Lo, Y. C. Using deep learning to identify bladder cancers with FGFR-activating mutations from histology images. Cancer Med. 10(14), 4805–4813 (2021).
O’Toole, A. J. & Castillo, C. D. Face recognition by humans and machines: Three fundamental advances from deep learning. Annu. Rev. Vis. Sci. 7(1), 543–570 (2021).
Author information
Authors and Affiliations
Contributions
Yang Sun. and Hongyang Chu. wrote the main manuscript text and Yang Sun. and Hongyang Chu. prepared figures. All authors reviewed the manuscript.
Corresponding author
Ethics declarations
Competing interests
The authors declare no competing interests.
Additional information
Publisher’s note
Springer Nature remains neutral with regard to jurisdictional claims in published maps and institutional affiliations.
Rights and permissions
Open Access This article is licensed under a Creative Commons Attribution-NonCommercial-NoDerivatives 4.0 International License, which permits any non-commercial use, sharing, distribution and reproduction in any medium or format, as long as you give appropriate credit to the original author(s) and the source, provide a link to the Creative Commons licence, and indicate if you modified the licensed material. You do not have permission under this licence to share adapted material derived from this article or parts of it. The images or other third party material in this article are included in the article’s Creative Commons licence, unless indicated otherwise in a credit line to the material. If material is not included in the article’s Creative Commons licence and your intended use is not permitted by statutory regulation or exceeds the permitted use, you will need to obtain permission directly from the copyright holder. To view a copy of this licence, visit http://creativecommons.org/licenses/by-nc-nd/4.0/.
About this article
Cite this article
Sun, Y., Chu, H. The outcome prediction method of football matches by the quantum neural network based on deep learning. Sci Rep 15, 19875 (2025). https://doi.org/10.1038/s41598-025-91870-8
Received:
Accepted:
Published:
Version of record:
DOI: https://doi.org/10.1038/s41598-025-91870-8








