Fig. 5
From: Development and validation of a nomogram for arthritis: a cross-sectional study based on the NHANES

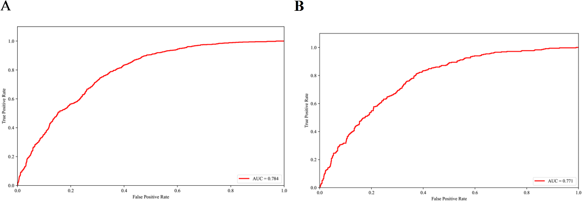
Predictive model evaluation: (A) ROC curve of nomogram model. (B) ROC curve of random forest model.
From: Development and validation of a nomogram for arthritis: a cross-sectional study based on the NHANES

Predictive model evaluation: (A) ROC curve of nomogram model. (B) ROC curve of random forest model.