Abstract
Heterogeneous communication modes in 5G demand integrated device connections, resource availability, and high capacity for meeting user demands. The radio resource allocation and usage for massive users results in interference between the device-to-device (D2D) uplink channels. This issue is addressed using a Non-orthogonal Convex Optimization Problem (NCOP) that identifies the chances of self-interference cancellations. This technique classifies interference and non-interference allocations in the rate of uplink communications. The channel reassignment is addressed as an NCOP based on the available interference levels. The interference levels before and after allocation and reallocation are analyzed under convex optimization. The interference cancellation convergence is computed for both channels wherein the transfer switching is performed. The convergence rate is estimated using the interference level and the number of channels reassigned for the uplink devices. Hence, the self-interference cancellation relies on non-convex channel allocations across various switching in this case. This feature is revisited if the D2D channels exceed their capacity for communication. Therefore, the 5G communication features coexist with the D2D uplinks for interference cancellations to improve channel allocation. For the SNR = 45dBm, the proposed NCOP reduces 12.4% of channel reassignment by augmenting 9.24% of interference cancellation.
Similar content being viewed by others
Introduction
Interference detection is vital in maintaining reliable connectivity in any device-to-device (D2D) communication link over 5G. The recent advent of 5G has greatly increased the number of connected devices and the demand for higher data rates that increase risks of interference1,2. D2D communication works in proximity, and thus, identification and handling of interference are quite difficult. Interference detection in D2D links is done through various techniques, such as spectrum sensing and signal processing algorithms, to identify the generated interference by a device from an external one3. These techniques analyze the spectral environment for interference sources and distinguish between intentional and unintentional disruptions4. Further modules of integration are adaptive filtering techniques, which enhance the accuracy of detection by analyzing real-time interference patterns. It enables the communication system to save scarce resources by managing interference early to ensure high-quality links for all users, even under high traffic. Successful interference detection is essential to optimize network resources, prevent signal degradations, and maintain the overall quality of service in a densely populated 5G environment5,6.
Self-interference cancellation (SIC) is a necessary technology in 5G D2D communication, which efficiently communicates devices with minimum self-interference generated by the transmissions of the respective device7. Such types of interference create several problems when extracting useful information in a full-duplex system where signals are sent and received simultaneously8. Several SIC techniques have been developed to overcome this issue through analogue and digital processing9. Analogue cancellation works by subtracting an estimated copy of the interference signal before the received signal is digitized, while digital cancellation is performed after digitization. These techniques improve the signal-to-interference ratio, enabling devices to communicate effectively despite self-generated interference10. Advanced SIC methods also employ adaptive algorithms for dynamic adjustment of the cancellation process given changing interference conditions. Adaptability means that the efficiency of the communication system sustains a change in network load. The effectiveness and efficiency of D2D communication in 5G rely on the robust implementation of mechanisms for cancelling self-interference11,12.
Optimization of SIC in 5G wireless networks is essential in laying down ways in which efficiencies and capacity in D2D communication can be realized13. Among these, non-orthogonal techniques based on convex optimization have been extremely useful in eliminating the interference caused by self-interference14. Various optimization of transmission parameters, including power levels, frequency bands, and time slots, with the perspective of reducing interference to the fullest extent while maximizing throughput is achieved15. Convex optimization models allocate dynamic resources to maintain minimum real-time interference levels in multiple devices16. These optimization techniques will be very important for enhancing adaptability in 5G networks because of their capability for real-time adjustments of network traffic changes in general and interference levels in particular17. The integration of such methods allows 5G networks to achieve better self-interference management, improve the efficiency of spectrum use, and enhance the performance of D2D communication links. Developing new optimization algorithms is vital to maintaining high standards in 5G environments18. Intra-cell and inter-cell interference (ICI) in a multi-cell 5G system further complicates interference management. In dense urban installations, where cell overlap is widespread, ICI occurs when signals from nearby base stations interfere with users in adjacent cells, greatly reducing uplink performance. Spectrum sharing between D2D and cellular users and broadcasts from nearby cells contribute to interference during D2D uplink communication, degrading performance even more. While optimizing power levels, NCOP considers cross-cell interference coordination (ICIC), making interference cancellation more complicated. Because interference circumstances often fluctuate due to handoffs and fluctuations in network traffic, the issue is made worse by the dynamic nature of user mobility.
In the 5G uplink, where D2D users and cellular users share the same frequency resources, the study emphasizes interference cancellation in D2D communication. D2D and cellular signals get severely interfered with, leading to a decline in network performance due to this spectrum reuse, which improves spectral efficiency. The ever-changing nature of networks and the proliferation of interconnected devices have rendered traditional orthogonal resource allocation techniques obsolete. This study aims to maximize interference control in a non-orthogonal communication environment while maintaining spectral efficiency. In a heterogeneous network, where device capabilities and mobility patterns fluctuate, the main difficulty is dynamically changing power levels while limiting interference. This research intends to solve this issue by creating a framework for interference cancellation based on convex optimization. This framework will guarantee better signal quality, more reliable networks, and energy efficiency in real-world 5G deployments. The contributions of the article are tabulated below:
-
To discuss the proposed methods inferring the works related to interference cancellation and uplink communication optimization proposed earlier.
-
To propose a non-convex optimization problem-defined self-interference cancellation method to improve the channel allocation over 5G uplink communications.
-
To analyze the proposed method’s performance using channel allocation, interference cancellation, capacity utilization, channel reassignment, and allocation error metrics.
-
To verify the proposed method’s efficiency using the above metrics compared with the existing methods.
-
Unlike traditional orthogonal resource allocation schemes, which reduce interference by allocating separate frequency bands at the cost of spectral efficiency, NCOP allows simultaneous spectrum sharing while actively minimizing interference through convex optimization techniques.
The rest of the paper is followed by Sect. 2, which discusses the work related to the proposed method. Section 3 describes the Proposed Non-orthogonal Convex Optimization Problem for Interference Cancellation. Results and performance assessment are explained in Sect. 4, while the paper’s conclusion is drawn in Sect. 5.
Related works
Mori et al.19 presented a self-interference cancellation scheme for 5G in-band full-duplex systems. The technique employs a new 5G demodulation reference signal (DMRS) configuration in the uplink while reducing interference between the uplink and downlink signals. It utilizes a channel extrapolation scheme to recover from channel estimation degradation. The method highly improves the performance and accuracy in full-duplex cellular systems. Gbadamosi et al.20 proposed an adaptive interference avoidance technique for the small cells utilized in 5G-IIoT networks. The adaptive mode selection framework has been incorporated to minimize interference between small cell and device-to-device communications. It combines the mode selection with a channel gain factor and some power allocation techniques for maximum performance. The method applies a two-phase resource-sharing algorithm for the proper allocation of power and user mode determination. Ni et al.21 developed interference cancellation and beamforming technologies in device-to-device communication. The technique assesses the RIS-assisted high-altitude platform device-to-device systems’ ergodic achievable rate (EAR) performance. An analytical bound is present in the work on EAR with beamforming and interference cancellation methods. The method dynamically allows topology change and adjusts performance based on real-time network conditions.
Mori et al.22 presented an inter-user interference cancellation scheme for dynamic full-duplex systems. The successive interference cancellation-based approach addresses the inter-user interference for 5G dynamic-full-duplex systems. The proposed algorithm covers user scheduling and adaptive modulation algorithms that increase the ability to manage interference. The proposed solution significantly improves the 5G dynamic-full-duplex system performance through proper interference management and effective power handling for successful transmission. Sun et al.23 presented a multipath parameter extraction scheme by interference cancellation in 5G networks. A cancellation-based algorithm is introduced to strengthen the sound of passive channels. It deals with multi-cell interference from neighbouring cells operating at the same frequency band. The results confirm its applicability to practical 5G network settings, thus providing better channel estimation performance. Nguyen et al.24 designed a RIS-based interference cancellation scheme for device-to-device (D2D) and cellular scenarios. The scheme has utilized RIS to optimize phase shifts for signal-to-interference noise ratio enhancements on D2D links and cellular users. It includes an alternating optimization algorithm initiated by a lower complexity interference cancellation solution that is improved further. The method balances SINR and confines interference in both D2D and cellular communications.
Ayaz et al.25 optimized quality of service (QoS) through interference management in 5G networks. The technique enhances signal strength and QoS with the help of hybrid modulation and coding design. Interference is addressed with the help of optimization-based resource allocation and management techniques. The results of simulations showed notable improvements in end-to-end delay, throughput, and energy consumption. It provides an excellent improvement in network performance in terms of reliability due to the advanced interference management technique. Al-Makhlasawy et al.26 proposed a neural networks-based joint 5G channel estimation and interference cancellation technique. The method utilizes deep learning models for channel estimation and interference management with high accuracy. Neural networks are integrated to improve the channel estimation cancellation performance. The method effectively enhances interference management in 5G by using advanced techniques based on neural networks. Jiang et al.27 proposed an adaptive broadband interference cancellation system with an auxiliary channel. The method utilizes two auxiliary channels in an adaptive system that counters large delay mismatches and antenna sway. It solves time-varying differential equations to develop steady-state weights and interference cancellation ratios. The system achieves as much as over 25 dB in improving interference cancellation. The method seems to outperform the conventional system in handling broadband interference.
Shaikh et al.28 presented an interference-aware protocol with minimal overhead routing in device-to-device networks. It improved routing metrics to minimize interference and optimize network efficiency. The approach reduces the routing overhead significantly and contributes much to its performance compared to the distributed scheme. The evaluation results demonstrate enhancement of average hop count, packet loss ratio, and end-to-end delay. Han et al.29 presented a full-duplex multi-band network for 5G/6G coexistence with self-interference cancellation. A bidirectional multi-band mobile fronthaul network is proposed using radio over fibre technology. The technique employs dual-drive Mach-Zehnder modulators to suppress interference and demonstrates strict adherence to 3GPP standards. The technique allows for high data rates, making the performance robust in 5G and 6G applications. Li et al.30 proposed a photonic-assisted interference cancellation scheme for 5G centralized communication networks. The strategy uses integrated optical modulators with more than 35 dB self-interference cancellation and more than 25 dB image rejection ratio. It eliminates fibre dispersion as well as stability and performance. The photonic-assisted approach shows promise for compact integration in centralized radio access networks. It has superior performance in 5G systems with effective interference cancellation.
De Silva et al.31 reported on employing augmented envelope neural networks for digital self-interference cancellation on RF-SoC. The proposed method models the non-linear artefacts employing envelope neural networks, improves self-interference cancellation, and leverages direct-RF sampling with a neural network-based digital signal processor. It indeed achieves over 30 dB cancellation at 32 MHz bandwidth. The methodology increases the performance and efficiency of full-duplex radios with sophisticated neural network techniques. Tan et al.32 advise on lightweight machine-learning methods for cross-link interference cancellation. The proposed algorithm employs feedforward neural networks to achieve significant interference management with increased complexity. It further delivers key performance gains over polynomial cancellers in the form of mitigation of cross-link interference. The technique enhances the flexibility and efficiency of interference management capabilities in 5G-Advanced and 6G systems. Yang et al.33 proposed a method for interference cancellation in sidelink communication. The method uses complex interference assessment and cancellation techniques within sidelink communications scenarios. It has offered effective solutions for interference management within high-density communication environments. The impact of interference is reduced by the method, enhancing system performance. The technique has thus shown effective management of sideline interference with advanced techniques in cancellations. Javed et al.34 present a wideband inter-beam interference cancellation technique for mmWave phased arrays. The method proposed utilizes cross-coupled signals to combat inter-beam interference and avoid the squint effect in the steering of phase-shifter arrays. The technique deploys a component carrier-based approach toward beating interference between different beams or streams. Simulated waveforms for 5G New Radio show a signal-to-interference-plus-noise ratio and overall performance improvement.
G Nallasivan et al.35 suggested adaptive energy valley optimization (AEVO) for the D2D Multicast Network. To ensure that D2D multicast clusters are as energy efficient as possible, it is necessary to implement a power management mechanism and allocate resources in a way that takes quality of service requirements into account. This proposes a new model for the distribution of electricity, which solves the energy-efficiency concerns with increasing computational difficulty. The numerical energy consumption and throughput findings showed that the suggested algorithm, based on the current approaches, was satisfactory.
Wisam Hayder Mahdi and Necmi Taşpınar36 proposed the Shuffled Frog Leaping Algorithm (SFLA) for resource allocation in D2D Multicast Communications. In terms of D2D user throughput, CU throughput, network average throughput, network interference, and signal interference noise ratio (SINR) target, the author compared the outcomes of the SFLA algorithm with those of the Firefly Algorithm (FA), Ant Colony Optimization (ACO), and Particle Swarm Optimization (PSO). Under severe infeasibility constraints, SFLA performs better than competing algorithms in terms of data rate, according to the simulation findings.
Proposed Non-orthogonal convex optimization problem for interference cancellation
The device-to-device (D2D) in 5G assimilates high-speed routing and terahertz communication to ease uplink and downlink resource allocations and sharing. A common frequency is shared and allocated to improve the spectrum efficiently. This paper aims to achieve better communication, without interferences, in a 5G platform where the multiple radio resource transmissions are simultaneous. The proposed optimization model is explained under the following models: Network model, Channel model, and interference model. These models are discussed in the sections below, where efficient communication in the 5G platform is carried out. It is observed on the uplink and downlink communication medium where the D2D transmission takes place. From this examination step, the uplink is responsible for forwarding the information to the network, whereas the downlink is the reverse process. This mechanism illustrates the high capacity to satisfy the user demand on the allocated time interval. This study is defined for data transmission on uplink and downlink mechanisms. The proposed NCOP in the 5G network is presented in Fig. 1.
The processing step is considered for the radio resources and provides efficient channel allocation for the requested devices. This evaluation step is considered and provides better channel detection; based on this, it observes the interference in the transmission. If the interference is detected, then the level of interference is analyzed. In this step, the convergence is stated from the non-convex method and provides the efficient output. Based on this part, all these models are introduced to discuss the communication of D2D. By processing this, interference is detected to ensure convergence. For this process, the preliminary step is discussed on the network model. Using historical interference patterns and real-time power level analysis, NCOP can classify interference. A typical instance of high-priority interference is when a D2D user’s signal goes beyond a certain threshold compared to nearby uplink broadcasts; this triggers quick mitigation. Using a dynamic thresholding methodology, the convergence detection method iteratively minimizes interference power while retaining signal integrity until the optimization target stabilizes within a 0.01% margin of change. To guarantee computational economy without sacrificing accuracy, the method terminates if, for example, the interference power decrease varies by less than 0.01% across three consecutive rounds.
Network model
The network model integrates 5G communication to enable efficient communication. It is mainly based on orthogonal frequency division multiplexing, which transfers the data through the channel here\(\:\:n\) channels are introduced to achieve better transmission of the data, such as\(\:\:\left\{{c}_{1}^{{\prime\:}},{c}_{2}^{{\prime\:}},{c}_{3}^{{\prime\:}},\:and\:{c}_{n}^{{\prime\:}}\right\}\), and the signals are\(\:\:\left\{{s}_{g\left(1\right)},{s}_{g\left(2\right),\:}{s}_{g\left(3\right)},\:upto\:{s}_{g\left(n\right)}\right\}\). In processing this phase, routing is done accurately to improve the networking model under 5G. The infrastructure that covers the necessary equipment is described as a network model. The Equation below is used to uplink channels and process signals.
The signal processing is done on the above Equation for uplink communication, and they are symbolized as\(\:\:{u}_{k}\). The communication is\(\:\:x^{\prime\:}\), where the network is\(\:\:{n}_{w}\), the initial device is\(\:\:{d}_{0}\), whereas the second device is\(\:\:{d}_{1}\), here the D2D communication is carried out. The bandwidth is\(\:\:{w}_{i}\), \(\:{f}_{i}\) Is the finding of the communication accurate. This computation step relies on the efficient communication between D2D on the respective time interval, and it is\(\:\:t\). Executing this network model illustrates the uplink communication on varying channels, and based on this, signal processing is carried out at the desired time interval. This study relates to the efficient process of uplink communication to ensure D2D resource sharing.
This network model for uplink and downlink is observed for the signal process among the channels to distribute the signal and achieve efficient output without interference. This state relies on uplink communication to transmit the data to the network, observed in the channel-based computation. The desired time is considered to observe the uplink communication where the detection phase is introduced here, and it is formulated as\(\:\:{\left({u}_{k}+{f}_{i}\right)}^{2}\). This runs multiple times to define the communication from the device to the network. From this downlink is examined below.
The downlink is established from the network to the device channel; the downlink is\(\:\:{d}_{k}\), the \(\:n\) number of devices is\(\:\:{d}_{n}\), whereas the resource used to transmit the data from one device to another is\(\:\:{u}_{r},\) which is processed from\(\:\:{\{u}_{g}\left(1\right),{u}_{g}\left(2\right),{u}_{g}\left(3\right){,\dots\:,u}_{g}\left(n\right)\}\). In executing this approach, the D2D process is considered under the downlink communication. This technique used in the network model defines the efficient communication medium among the devices by sharing the resource requested. For this analysis step, the initial step is to identify the device, and routing is done, and it is\(\:\:{r}_{g}\). For every step of downlink communication, the routing is observed without latency. This process is considered and provides an efficient mechanism for the radio resource transmission on the network model.
This evaluation step is used to define the accurate model for networking, where it acquires the data from the network and forwards it to the device. It is commonly considered cloud data sharing, where the required data is fetched from the cloud and processed the step accordingly. On observing this step, the network model with two communication mediums is discussed as uplink and downlink communication\(\:\:x^{\prime\:}\left({u}_{k\:}and{\:d}_{k}\right)\). From this communication between the devices by sharing the resources, the interference is detected and is equated below.
It is derived as,
Communication between the resources is considered, and efficient sharing among the D2D pairs is provided. The delay factor is defined for this case, where for each signal, the delay is detected based on the assigned devices, such as\(\:\:\left\{{d}_{1},{d}_{2}.{d}_{3},{d}_{n}\right\}\:\)which are devices taken into consideration and work for\(\:\:n\) number of devices. This process is considered to identify the interference in the channel, and it is represented as\(\:\:{i}_{f}\). The evaluation takes into consideration and provides the efficient communication of D2D and establishes reliable communication with the use of uplink and downlink\(\:\:{x}^{{\prime\:}}\in\:\left({u}_{k}+{d}_{k}\right)>{i}_{f}\). In Fig. 2, the network model is illustrated.
To identify the interference in the channel, the delay factor for the first device is the analysis phase and its initial step is described as,\(\:\:{d}_{1},\:\forall\:\:{t}^{{\prime\:}}-{i}_{f})\). This step includes reliable communication with the use of signal processing. It is based on\(\:\:n\) channel processing, where the delay factor is used to identify the interferences in the network model. This approach discusses the channel model concerning the radio resource analysis for detecting channel allocation to estimate better processing among the D2Ds.
Channel model
The channel model is defined as the allocation of radio resources to address the delay factor in networking. Based on this strategy, it defines better interference detection if delay is addressed for the device. The delay is\(\:\:\{{y}_{1},{y}_{2},{y}_{3},\dots\:,{y}_{n}\}\). So, the main purpose of this channel model is to identify the interferences by classification model included in this channel model as follows.
It is expressed as,
The radio resource analysis is processed in the above Equation and represented as\(\:\:\varphi\:\), and here, the quality measures are taken to attain the better channel; quality is\(\:\:q^{\prime\:}\). The allocation process is carried out from devices 1 to n, and it is labelled as\(\:\:\{{a}_{1},{a}_{2},{a}_{3},\dots\:,{a}_{n}\}\). The resources are processed based on the allocation step when executing this method. The\(\:\:{a}_{n}\) analysis for\(\:\:\varphi\:\) is presented in Fig. 3.
The\(\:\:{a}_{n}\forall\:{c}_{n}\) under\(\:\:{u}_{k}\) and\(\:\:{d}_{k}\) is estimated for\(\:\:\left({d}_{0}\to\:{d}_{1}\right)\) inferred from Fig. 2. The above illustration is given for\(\:\:n=12\) (sample consideration) such that\(\:\:{x}^{{\prime\:}}\left({u}_{r}\right)=\frac{1}{{s}_{g\left(n\right)}}\) and\(\:\:{x}^{{\prime\:}}\left({d}_{k}\right)={w}_{i}\left({u}_{g}\left(n\right)\right){S}_{g}\forall\:{x}^{{\prime\:}}\left({u}_{k}\right)\) is optimal. The cases of\(\:\:{u}_{k}={d}_{k}\) and\(\:\:{u}_{k}>{d}_{k}\) are analyzed for maximizing\(\:\:{f}_{i}\). In this analysis, the\(\:\:{c}_{n}\) allocation exploits the\(\:\:{S}_{g}\) rate to ensure\(\:\:{r}_{g}\) without interference. If the interference occurs in any\(\:\:{c}_{n}\), then a consecutive channel is allocated to reduce the active\(\:\:{i}_{f}\) (minimum of\(\:\:{r}_{g}=1\)). If the\(\:\:{r}_{g}\) exceeds the range of 1, then allocations are cancelled to identify the existing interference level. Thus, the first classification is the\(\:\:{y}_{n}\left({r}_{g}=0\:and\:1\right)\) and\(\:\:{i}_{f}\left(\forall\:{r}_{g}>1\right)\) as presented in Fig. 3 for\(\:\:{u}_{k}={d}_{k}\) and\(\:\:{u}_{k}>{d}_{k}\). This allocation process addresses the interference where the delay is achieved if multiple resources are transmitted on a single channel. So, the traffic occurs, and the radio resource analysis is done as the initial step here. From this computation step, allocation is done and expressed below.
It is computed as,
The channel allocation is done to decrease the transmission loss, which leads to interference. The channel allocation is\(\:\:c{\prime\:}\left({a}_{0}\right)\), from this number of allocations and channels processed in this study, we take the same allocations for\(\:\:n\) channels; the allocation is stated as\(\:\:\{{a}_{1},{a}_{2},{a}_{3},{a}_{n}\}\), the channels are\(\:\:\{{c}_{1}^{{\prime\:}},{c}_{2}^{{\prime\:}},{c}_{3}^{{\prime\:}},{c}_{n}^{{\prime\:}}\}\). On this basis, maximum quality is achieved by detecting the interference and radio resource allocation method. From this\(\:\:n\) devices and resources are considered and examined. The classification is followed up and derived from this study as follows.
The classification is described as\(\:\:{L}_{0}\), the first condition is interference level detection whereas the second condition is non-interference level. This condition bases the process on the desired time and provides better communication. The D2D communication is done to ensure the detection of interferences in the channel. Based on this allocation of resources in the channel provides better detection of interference and non-interference\(\:\:{i}_{f}\approx\:{l}_{v}+({c}^{{\prime\:}}-{t}^{{\prime\:}})\). If the interferences occur, the reduction phase is performed, where the detection level is observed. The classifications presented in Fig. 3 are analyzed based on the conditions in Eq. (3c) for achieving maximum quality of channel allocation.
In Fig. 4, the\(\:\:{y}_{n}\) and\(\:\:{i}_{f}\) based\(\:\:{L}_{o}\) detection for\(\:\:{c}_{n}\) under\(\:\:\varphi\:\) conditions are analyzed. In Eq. (3c), the\(\:\:{L}_{o}\) variations are derived for\(\:\:{u}_{g}\left(1\right)\) to\(\:\:{u}_{g}\left(n\right)\) for which\(\:\:\left({i}_{f}={t}^{{\prime\:}}\right)\forall\:{S}_{g\left(n\right)}\) must be true. This is cross-verified using\(\:\:{c}^{{\prime\:}}\left({a}_{o}\right)\forall\:\left({f}_{i}+{d}_{n}\right)\) such that\(\:\:\left[{c}^{{\prime\:}}n*{d}_{n}*{S}_{g\left(n\right)}\right]+\left[{a}_{n}\right]+\left({f}_{i}-{t}^{{\prime\:}}\right)=unity\). If the unity constraint fails, then\(\:\:{L}_{o}\) changes its deviation to ensure\(\:\:{c}_{n}^{{\prime\:}}\) is allocated with\(\:\:{y}_{n}\) and not\(\:\:{i}_{f}\). In this consecutive\(\:\:{L}_{o},\left[{u}_{g}\left(n\right)*{S}_{g\left(n\right)}+{{\Pi\:}}_{{q}_{i}}{f}_{i}\right]\ne\:0\) is the increasing condition, which holds for \(\:<\varphi\:\) condition alone. For\(\:\:>\varphi\:\) condition, the\(\:\:{r}_{g}>1\) is achieved such that\(\:\:\frac{1}{{u}_{r}\left(n\right)}*\frac{1}{{d}_{n}}*\left[{s}_{g\left(n\right)}\cdot\:{a}_{n}\right]-{i}_{f}\cdot\:\left[{u}_{g}\left(n\right)\right]-{t}^{{\prime\:}}\) is the\(\:\:{L}_{o}\) leveraging condition. This classification is mandatory to enhance the convergence in NCOP for\(\:\:{u}_{r}\) allocation. The interference model is observed based on the level analysis where the non-convex process is executed in the following part.
Interference model
The interference model is observed for the varying devices and is associated with channel allocation for resource sharing. The level of interference detection is processed from high to low and maintains the low as a constant value representing non-convex. At the point of interference level, it is detected at the lowest value and stated as convex. The below Equation is formulated as,
The level identification is done for the interference detection, and based on this case, the convergence is detected. The interference level is\(\:\:{l}_{v}\), \(\:{v}_{X}\) is described as non-convex. The non-convex is achieved with the use of high quality and ensures reliable communication of the D2D process\(\:\:{d}_{1}\to\:{d}_{2}*c{\prime\:}\left({q}^{{\prime\:}}\right)\). The identification is described as\(\:\:\nabla\:\:\)follows: The allocation is followed up based on the device data transmission quality enhancement. The interference identification is followed up in a non-convex manner\(\:\:{i}_{f}<t^{\prime\:}\left({a}_{0}\right)\), and from this, allocation and re-allocation are executed. The interference levels before and after allocation and reallocation are analyzed under convex optimization.
Whereas,
The interference level is detected post to this, allocation and re-allocation are followed up, and it is represented as\(\:\:{l}_{r}\), the delay is calculated for each channel process, and it is\(\:\:\{{y}_{1},{y}_{2},{y}_{3},{y}_{n}\}\). Here,\(\:\:{l}_{v}\) is interference level, the threshold value, the before and greater than is declared as interference. The maximization of quality is achieved, whereas interferences are reduced accurately. The interference cases are illustrated in Fig. 5 for the\(\:\:{i}_{f}\) over\(\:\:{y}_{n}\) for estimation.
The channel allocation imposes two different sequences for\(\:\:{d}_{0}\) and\(\:\:{d}_{1}\) for interference cancellation. The\(\:\:{d}_{0}\) (Base station say) is responsible for the organization as\(\:\:\left({w}_{i}\colon\colon\:{u}_{r}\right)\forall\:{a}_{o}\left({c}^{{\prime\:}}\right)\) in on\(\:\:t\); this is violated\(\:\:{i}_{f}\left[{S}_{g\left(n\right)}\cdot\:{c}_{n}^{{\prime\:}}\cdot\:{a}_{n}\right]+\left[{a}_{n}\right]*\left[{u}_{g}\left(n\right)\right]\) is not a unity matrix. This refers to the existence of\(\:\:{i}_{f}\) accordingly where\(\:\:{v}_{x}\) is the extractable solution. Therefore, the allocation error is experienced under\(\:\:\|{S}_{g\left(n\right)}+{v}_{x}\|>{l}_{v}\) condition. This imposes\(\:\:\left[{i}_{f}<{t}^{{\prime\:}}\left({a}_{o}\right)\right]\) as\(\:\:\varphi\:\) for multiple\(\:\:{y}_{n}\) and\(\:\:{u}_{g}\) augmentations. Thus,\(\:\:\left({a}_{o},{l}_{r}\right)\) is the difference between various channel allocation instances apart from\(\:\:\left({y}_{1}to\:{y}_{n}\right)\) timelines. Thus,\(\:\:\nabla\:\) is identified under\(\:\:{i}_{f}\) the analysis represented in Fig. 5 which\(\:\:{L}_{o}\) is required. The interference cancellation is done for the convergence’s detection for the signal transfer, and it is derived below.
The interference cancellation is done for the convergence rate achievement, where it executes the better detection of interference and observes its level of processing. The interference cancellation is symbolized as\(\:\:{i}_{e}\), which is done convergence detection. This evaluation is considered and provides efficient signal transmission at the allocated time interval. From this approach, it relies on the radio resource sharing the data \(\:\:{u}_{r}\to\:x^{\prime\:}\left({d}_{1}\right)\) through the channel\(\:\:{c}^{{\prime\:}}\left({a}_{0}\right)<{f}_{i}\left({i}_{f}\right)\). On processing this evaluation step, it observes the interference level and executes the better signal-processing\(\:\:{l}_{v}\approx\:{i}_{f}\left({t}^{{\prime\:}}\right)\). The convergence rate is estimated in the below Equation as follows.
It is rewritten as,
It is further derived as,
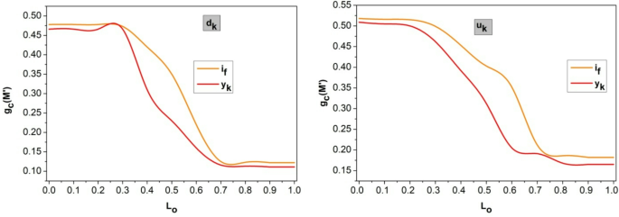
The estimation is\(\:\:M{\prime\:}\), whereas convergence is\(\:\:{g}_{c},\) this method states the delay factor and reduces it to achieve the convergence rate. The radio resources are used to allocate better channel detection and transmit the information with the use of uplink and downlink\(\:\:{x}^{{\prime\:}}\left({u}_{k}+{d}_{W}\right)-t^{\prime\:}\). Based on these techniques, it illustrates the non-convex account and defines better information sharing from device to device. This part estimates the convergence rate using delay factor recognition, which uses self-interference cancellation. This technique classifies interference and non-interference allocations in the rate of uplink communications. The\(\:\:{g}_{c}\left({M}^{{\prime\:}}\right)\) analysis for two combinations of\(\:\:{u}_{k}\) and\(\:\:{d}_{k}\) is presented in Fig. 6.
The\(\:\:{g}_{c}\left({M}^{{\prime\:}}\right)\) for\(\:\:{u}_{k}\) and\(\:\:{d}_{k}\) are significantly different, as presented in Fig. 6. In this\(\:\:{g}_{c}\left({M}^{{\prime\:}}\right)\) assessment,\(\:\:{c}^{{\prime\:}}\left({a}_{o}\right)<{f}_{i}\left({i}_{f}\right)\) is the violating condition balancing\(\:\:\left[{l}_{v}\approx\:{i}_{f}\left({t}^{{\prime\:}}\right)\right]\). For the\(\:\:{d}_{k},\left({l}_{r}-{l}_{v}\right)\) is the normalized\(\:\:{y}_{n}\) condition and\(\:\:\left[{u}_{r\left(1\:to\:n\right)}-{y}_{n}\right]\) is the\(\:\:{i}_{f}\) companion to achieve faster\(\:\:{g}_{c}\left({M}^{{\prime\:}}\right)\). Depending on the\(\:\:{L}_{o}\) the variant, the intensity for\(\:\:>\varphi\:\) and\(\:\:<\varphi\:\left(not=\varphi\:\right)\) are validated across\(\:\:\frac{\nabla\:}{{S}_{g\left(n\right)}}\) to ensure\(\:\:\left({q}^{{\prime\:}}+{L}_{o}\right)\) jointly reduces allocation errors in\(\:\:{d}_{k}\). This case is inverse for\(\:\:{u}_{k}\) where\(\:\:\left[\frac{{u}_{r}\left(n\right)}{{l}_{r}+{a}_{o}}\right]\) is the balancing constraint for new\(\:\:{u}_{r}\). If this relies on the same\(\:\:n\) as in the previous\(\:\:t\), then\(\:\:{f}_{i}\left({c}^{{\prime\:}}\to\:{a}_{o}\right)\) is the relying condition. Therefore, the inverse of\(\:\:\left[{y}_{n}*{c}_{n}^{{\prime\:}}\right]\) is the allocation constraint for\(\:\:{y}_{n}\in\:{u}_{k}\). Besides, the\(\:\:{i}_{f}\) requires\(\:\:\left[{S}_{g\left(n\right)}*{y}_{n}\right]\forall\:\frac{\nabla\:}{{S}_{g\left(n\right)}}\) under\(\:\:\left({l}_{r}+{a}_{o}\right)\in\:{g}_{c}\left({M}^{{\prime\:}}\right)\) to reduce its allocation error. The channel reassignment is addressed as an NCOP based on the available interference levels.
From the above Equation, the self-interference cancellation is followed up on when the allocation is done. The self-interference is\(\:\:{S}_{l}\), here the convex and non-convex are used for this processing step, and they are labelled as\(\:\:{v}_{x}\:\text{a}\text{n}\text{d}\:v{\prime\:}\). In this part, it illustrates the interference and non-interferences, and it is represented as\(\:\:{n}_{f}\). Hence, the self-interference cancellation relies on non-convex channel allocations across various switching. In this part, the self-cancellation is done if interference occurs beyond the threshold where the channel transmission delay is the resultant. This strategy is addressed by introducing the NCOP method and is discussed below.
Non-Convex optimization inclusion
The radio resource allocation and usage for massive users results in interference between the D2D uplink channels. The NCOP method is introduced to resolve this issue, identifying the chances of self-interference cancellations. This technique classifies interference and non-interference allocations in the rate of uplink communications. The channel reassignment is carried out efficiently based on the available interference levels. In this section, the overlapping resource allocation is addressed and derived below.
It is computed for the non-convex and convex functionality,
This process of optimization results in better D2D communication by decreasing the overlapping rate of resources allocated to the same devices. This leads to interference between the radio resources. The optimization is described as\(\:\:{z}_{p}\), whereas overlapping is\(\:\:{o}_{p}\). This is observed,\(\:\:{x}^{{\prime\:}}\left({d}_{1}\to\:{d}_{n}\right)*\frac{\varphi\:}{{u}_{r\left(n\right)}}\), on executing this self-interference cancellation, it is followed up accurately and ensures device-to-device communication. The overlapping instances and their joint mitigation under NCOP’s first classification inclusion are presented in Fig. 7. The\(\:\:{Z}_{p}\) analysis in the NCOP differs for\(\:\:\left({i}_{f}+{f}_{i}\right)\forall\:{d}_{k}\)and\(\:\:\left({a}_{n}-{y}_{n}\right)\forall\:{u}_{k}\). In both cases,\(\:\:{u}_{r\left(1\right)}\:to\:{u}_{r\left(n\right)}\) and vice versa is required to meet the\(\:\:\left[\frac{{u}_{r}\left(n\right)}{{l}_{r}+{a}_{o}}\right]\) case fittings to reduce\(\:\:{i}_{f}\). In particular, the chances of\(\:\:{i}_{e}\) is overlooked for\(\:\:{S}_{l}\) such that\(\:\:\left[{S}_{g\left(n\right)}>\left({t}^{{\prime\:}}-{i}_{f}\right)\forall\:\frac{\varphi\:}{\left({v}^{{\prime\:}}-{v}_{x}\right)}\right]\) is the\(\:\:{u}_{k}\) and\(\:\:{d}_{k}\) mapping features for\(\:\:{Z}_{p}\). Therefore, as this case does not fit for non-convex optimization where\(\:\:{g}_{c}\left({M}^{{\prime\:}}\right)\) is required\(\:\:\frac{\nabla\:}{{S}_{g\left(n\right)}}\), the chances of\(\:\:\left[{a}_{n}\cdot\:{c}_{n}^{{\prime\:}}\cdot\:{S}_{g\left(n\right)}\right]\) forming a unity matrix is less. Thus, the alternating response is the chance verification of\(\:\:\left[{c}_{n}^{{\prime\:}}+{S}_{g\left(n\right)}-\left({a}_{n}-{y}_{n}\right)\right]\) to form the unity matrix. If this is achievable, then the\(\:\:{g}_{c}\left({M}^{{\prime\:}}\right)\) is the converging decision for multiple\(\:\:t\) under\(\:\:\left[{l}_{v}\approx\:{i}_{f}\left({t}^{{\prime\:}}\right)\right]\) instances. In these instances, the\(\:\:{i}_{e}\) is active, and maximum convergence conditions are admitted (Fig. 7).
The channel re-assigning is performed after the interference and non-interference allocation classifications. This requires the uplink communications rate examination for further allocation. Based on the available interference levels, they are done using the re-assigning method.
Channel re-assigning is done using level-based interference detection associated with device communication. The convergence rate is estimated using the interference level and the number of channels reassigned for the uplink devices. This is based on the interference cancellation method, where the convergences are fixed for efficient communication. For this process, the delay factor is addressed by re-assigning the channel for the reliable establishment of communication between device and device. The re-assigning of the channel is\(\:\:{r}_{h}\), performed for the convex achievement in this work. The channel improvement is done using detected allocations, represented as follows.
Whereas, it is derived as,
The channel improvement is estimated using the above Equation by analyzing interference and self-cancellation methods. This is associated with reliable communication without any delay and data loss. Based on the NCOP for\(\:\:{f}_{i}\left({c}^{{\prime\:}}\right)\), the\(\:\:{i}_{e}\) and its cancellation rates are analyzed in Fig. 8.

Algorithm 1 shows the Pseudocode of Proposed NCOP.
Figure 8 consolidates the relevant metrics, such as\(\:\:{f}_{i}\left({c}^{{\prime\:}}\right),\:{i}_{e},\:{r}_{h},\:and\:{o}_{p}\forall\:{y}_{n}\) and\(\:\:{i}_{f}\). As mentioned earlier, the\(\:\:{L}_{o}\) is the crucial factor that determines the\(\:\:{u}_{k}\) and\(\:\:{d}_{k}\) balance under various\(\:\:t\). The\(\:\:{i}_{f}\) identified\(\:\:\forall\:\frac{\nabla\:}{{S}_{g\left(n\right)}}\) is suppressed under\(\:\:\left({o}_{p}-{v}_{x}\right)\forall\:convex\) outputs that are generated by\(\:\:\left[{a}_{n}\cdot\:{c}_{n}^{{\prime\:}}\cdot\:{S}_{g\left(n\right)}\right]\) as a unity matrix. Considering the\(\:\:{r}_{h}\) for such cases, the\(\:\:\left({p}_{h}+{w}_{i}\right)\forall\:\left[{u}_{g\left(n\right)}\cdot\:{c}_{n}^{{\prime\:}}-{d}_{n}{y}_{n}\right]\) is the\(\:\:{Z}_{p}\) separating point. The more precise point is the \(\:<\varphi\:\) and\(\:\:>\varphi\:\) defined from\(\:\:{L}_{o}\) for multiple\(\:\:\left[\frac{{d}_{n}}{\varphi\:+\left({l}_{v}\right)}\right]\) suppressing\(\:\:{r}_{h}\) under\(\:\:{i}_{f}\) and\(\:\:{y}_{n}\). Thus, the\(\:\:\left[{c}^{{\prime\:}}\left({a}_{o}\right)<{f}_{i}\left({i}_{f}\right)\right]\) is the\(\:\:{r}_{h}\) reducing constraint for\(\:\:{o}_{p}\) balance and\(\:\:\varphi\:\) classification. This requires a convex and non-convex point separation such that the\(\:\:\left({d}_{n}-{t}^{{\prime\:}}\right)\) is the\(\:\:\left({p}_{h}+{w}_{i}\right)\) achieving factor. All these combinations enhance the\(\:\:{i}_{e}\) reduction under\(\:\:{Z}_{p}>\varphi\:\) and\(\:\:<\varphi\:\) cases identifying\(\:\:{L}_{o}\) value. This study illustrates the NCOP method for detecting interferences where the re-assigning is processed efficiently, which provides a better convergence rate and enhances device communication. Therefore, the 5G communication features coexist with the D2D uplinks for interference cancellations to improve channel allocation.
Network heterogeneity, resource availability, and fluctuations in interference caused by mobility are three of the main obstacles to implementing NCOP in real-world 5G networks. Uniform optimization becomes more challenging when dealing with various devices, each with its unique combination of power, computing capability, and antenna arrangement. Due to the computing demands of real-time convex optimization, which may cause delay problems in high-traffic situations with limited computational resources, another restriction is the availability of resources. NCOP must make real-time adjustments because user movement brings about dynamic interference variations. Because of handoffs, changing channel conditions, and unanticipated variations in network traffic, a mobile device’s interference levels might fluctuate suddenly, making it hard to keep an optimization framework consistent.
Performance assessment
Simulation setup
The simulation setup follows a macro and micro-network, as illustrated in Fig. 2. The maximum\(\:\:{w}_{i}\) is set as 40 MHz under 64QAM modulation; the carrier frequency is 4 GHz. Maximum channels allocated are 12/ interval with 100ns delay recommending TDL-A class. The maximum rate of\(\:\:{i}_{f}\) is -12dBm with an alignment value of 0.1. The D2D pairs are 50 communicating through 12 micro network stations and two macro base stations with 500 m coverage. The\(\:\:{u}_{k}\) and\(\:\:{d}_{k}\) the above communication range is set as 3.5 GHz and 3.8 GHz, respectively sampled under n-band with 6 intervals.
Metric comparisons
Based on the above simulation setup, the channel allocation, interference cancellation, capacity utilization, channel reassignment, and allocation error metrics are comparatively analyzed and discussed in this section. This comparative analysis uses the SNR variants (-30 to 45) and switching rates (0.1 to 1.0). In the comparative assessment, the existing CES-DMRS19, JCEIC-RNN26, and IUICM22 methods are added along the proposed NCOP. Power levels of 45 dBm (31.6 W) or 45 dBi are much more than the average transmission or interference values in most wireless communication situations. Base stations (gNBs) often operate at greater power levels, typically about 40–46 dBm (10–40 W), whereas standard 5G user equipment (UE) transmission powers vary from 23 dBm (200 mW) to 30 dBm (1 W). Using 45 dBm as an example of transmission power in a D2D scenario could lead to overstated interference levels since it doesn’t represent actual device capabilities. Similarly, 45 dB of interference is quite high and probably does not reflect a real 5G environment, where interference normally falls between − 10 dB and 20 dB, depending on the state of the network. When expressing signal or noise power levels, dBm is the usual unit of measurement, whereas dB denotes a relative ratio of two numbers and is referred to 1 milliwatt (mW). Since SNR measures the relative strength of the signal to noise rather than an absolute power level, it is often given in decibels (dB) rather than millimetres (dBm).
The channel allocation for the proposed work increases for varying input data that is acquired from the devices\(\:\:\left\{{d}_{1},{d}_{2},{d}_{3},{d}_{4}\right\}>{i}_{f}\left({f}_{i}\right),\:for\:all\:{g}_{c}\in\:{s}_{g\left(1\right)}.\:\)The evaluation takes place for two variants such as SNR and switching rate among the devices,\(\:\:{u}_{g}+\frac{\nabla\:}{\varphi\:+{n}_{w}}*\left(\begin{array}{c}{y}_{1}\\\:{y}_{2}\\\:\begin{array}{c}{y}_{3}\\\:{y}_{4}\end{array}\end{array}\right)={f}_{i}\left({i}_{f}\right)\), it is observed to address the delay factor to ensure the allocation,\(\:\:\left\{{a}_{1},{a}_{2},{a}_{3},{a}_{4}\right\}-\left(\begin{array}{c}{y}_{1}\\\:{y}_{2}\\\:\begin{array}{c}{y}_{3}\\\:{y}_{4}\end{array}\end{array}\right),for\:all\:{a}_{0}\in\:{u}_{r}\left(1\right)\). This computation states the uplink and downlink\(\:\:{u}_{k}+{d}_{k}*\|{\left({M}^{{\prime\:}}+{c}_{4}^{{\prime\:}}\right)}^{2}\|\), this relies on the efficient device-to-device\(\:\:{d}_{1}+\frac{\varphi\:}{m{\prime\:}}*{c}^{{\prime\:}},\:for\:all\:c{\prime\:}\in\:{r}_{h}\). The comparative assessment of channel allocation is presented in Fig. 9. This case illustrates the channel-based allocation with the use of uplink and downlink\(\:\:{\:x}^{{\prime\:}}*\left({u}_{k}+{d}_{k}\right)\approx\:{l}_{v}\left({i}_{f}\right)*{f}_{i}\). This mechanism is used to state the detection of \(\:{i}_{f}\:and\:{n}_{f}\ge\:{u}_{g}\{{d}_{1},{d}_{2},{d}_{3},{d}_{4}\}\). The process is done for\(\:\:{q}^{{\prime\:}}*\frac{1}{{a}_{4}*{c}_{4}^{{\prime\:}}}*\left|\left({x}^{{\prime\:}}\to\:\left({u}_{k}+{d}_{k}\right)\right)\right|-{t}^{{\prime\:}}-{p}_{h}\). This process is carried out in\(\:\:{s}_{g\left(1\right)}={l}_{r}\left({c}^{{\prime\:}}\right)\approx\:{r}_{h},\:for\:all\:{r}_{h}<{d}_{n}\) the optimal manner and ensure efficient communication\(\:\:{x}^{{\prime\:}}*\frac{{S}_{l}}{\sum_{{a}_{0}\in\:{v}_{x}}\left(\nabla\:+{d}_{n}\right)}\). By processing this, channel allocation is observed in a better manner\(\:\:{c}_{4}^{{\prime\:}}>{a}_{4}-{t}^{{\prime\:}}+{f}_{i}\left({i}_{f}\right)\).
The interference cancellation rate increases for two variants, such as SNR and switching rate for\(\:\:\{{s}_{g\left(1\right)}-{z}_{p},\:for\:all,\:{z}_{p}\in\:{x}^{{\prime\:}}\}\). It states the better cancellation if the interference is detected\(\:\:{f}_{i}*\frac{1}{{s}_{g\left(4\right)}}\approx\:{u}_{r}\left(4\right)\). Its envelopes the communication\(\:\:{x}^{{\prime\:}}*\|\left({d}_{n}^{-1}\right)+{i}_{e}*({f}_{i}-{i}_{f})\|\), on observing this\(\:\:{g}_{c}+{z}_{p}-{o}_{p}\left({u}_{r}\right(4)\). Here, it defines the reliable interference cancellation method and ensures the efficient communication\(\:\:{x}^{{\prime\:}}+\left({u}_{k}+{d}_{k}\right)*\frac{1}{{a}_{4}}\). Figure 10 presents the comparative assessment of interference cancellation of the proposed and existing methods.
The cancellation states the allocation and re-allocation\(\:\:{i}_{e}*\left\{\left({r}_{h}+\left({v}_{x}-{v}^{{\prime\:}}\right)\right)\right\},\:{r}_{h}\in\:{l}_{v}-t^{\prime\:}\). The progression takes place by self-interferences\(\:\:\nabla\:*\frac{{d}_{n}<{g}_{c}}{\varphi\:},\:{g}_{c}\in\:{x}^{{\prime\:}}-t^{\prime\:}\). The cancellation takes place by defining\(\:\:{u}_{g}*\frac{{p}_{h}-{w}_{i}}{{d}_{n}}\approx\:x^{\prime\:}\). The interference cancellation is done for the \(\:n\) number of devices\(\:\:{d}_{n}*\left({a}_{0}-{c}_{4}^{{\prime\:}}\right)\le\:{u}_{g}-{u}_{r}\left(4\right)\). This process is carried out, on\(\:\:{t}^{{\prime\:}}-\sum_{{z}_{p}\in\:{o}_{p}}\left({i}_{f}-{i}_{e}\right)\), based on this case, cancellation is improved\(\:\:{f}_{i}\left({v}^{{\prime\:}}-{v}_{x}\right)*{s}_{g}\left(1\right)-{c}_{1}^{{\prime\:}}\:for\:all\:{n}_{w}\left({d}_{n}\right)\). On executing this method of cancellation\(\:\:{i}_{e}>{i}_{f}\left({f}_{i}\right)-\{{y}_{1},{y}_{2},{y}_{3},{y}_{4}\}\), and resultants in the higher interference cancellation method in this graph.
The capacity utilization shows a higher value than the previous methods and works on SNR and switching rate. This process states, that the\(\:\:{i}_{e}>{L}_{0},\left({p}_{h}-{w}_{i}\right)\), this is used to explore the interference level for utilization\(\:\:{l}_{v}*\frac{{u}_{r}\left(4\right)}{\prod_{\varphi\:\in\:{u}_{g}}{a}_{0}}\). In this case,\(\:\:\left({v}_{x}-v{\prime\:}\right)*\|\left({o}_{p}-{l}_{v}\right)>\nabla\:-t^{\prime\:}\|\). The time is considered for the utilization\(\:\:{t}^{{\prime\:}}*\frac{{d}_{1}}{{w}_{i}-{u}_{r}\left(1\right)}\approx\:{r}_{h}\), and results in higher capacity. The bandwidth is considered for varying devices, and it is associated\(\:\:{d}_{1}+\frac{{a}_{0}+{i}_{f}}{\varphi\:-t^{\prime\:}},\in\:{n}_{w}+{r}_{h}\). This capacity utilization assessment is compared as presented in Fig. 11.
The quality is maintained efficiently, \(\:{q}^{{\prime\:}}*\frac{1}{{s}_{g}\left(4\right)}-\nabla\:\), and observes the \(\:\left({i}_{f}+{l}_{v}\right)\le\:{o}_{p}-{z}_{p},\:for\:all\:{l}_{v}\approx\:{r}_{h}\). This mechanism is used to define better capacity utilization\(\:\:{g}_{c}*\frac{{M}^{{\prime\:}}+\varphi\:}{{p}_{h}-{w}_{i}},\:for\:all\:{S}_{l}={i}_{e}\). This states that the interference and non-interference rate\(\:\:\left({i}_{f}-{n}_{f}\right)*{u}_{g}-{x}^{{\prime\:}}>{a}_{0}\). Based on the channel allocation format, the utilization acts\(\:\:\left\{{u}_{r}\left(1\right)+{a}_{1}*{c}_{1}^{{\prime\:}}-{y}_{1}\right\},\:{i}_{f}<x^{\prime\:}\). In this format, the capacity is maintained in the standard format based on the signal processing\(\:\:{s}_{g\left(1\right)}={c}_{1}^{{\prime\:}}>{d}_{1},\:for\:all\:{c}_{1}^{{\prime\:}}\in\:{n}_{w}\). By processing this, higher capacity utilization is detected. The channel reassignment is lesser for varying SNR and device switching rates (Fig. 12), where the reliability through\(\:\:{d}_{1}\to\:{d}_{2}*\frac{1}{{d}_{n}}\approx\:{f}_{i}-{t}^{{\prime\:}}\) in any communication is retained. The assigning time is considered\(\:\:\left({r}_{h}+{n}_{w}\right)*\sum_{{S}_{l}\in\:{l}_{r}}\left({l}_{v}*{f}_{i}\right)\). This observes the efficient communication link in D2D and explores the throughput and bandwidth\(\:\:\left({p}_{h}-{w}_{i}\right)+\frac{{M}^{{\prime\:}}*\nabla\:}{\sum\:\left({a}_{0}-{c}^{{\prime\:}}\right)}\). On processing this factor\(\:\left(\:{v}^{{\prime\:}}-{v}_{x}\right)+\underset{{u}_{r}\left(1\right)\in\:{r}_{h}}{\text{max}}\left({q}^{{\prime\:}}+x^{\prime\:}\right)\). The derivative used for channel re-assignment is\(\:\:{r}_{h}-\left({i}_{f}+{f}_{i}\right)+\frac{1}{{d}_{n}}>t^{\prime\:}\).
From this case study,\(\:\:{i}_{e}-{f}_{i}*\left({d}_{n}-{c}_{4}^{{\prime\:}}\right)*{x}^{{\prime\:}}-t^{\prime\:}\) based on this process,\(\:\:{x}^{{\prime\:}}+\left({f}_{i}\right)*\frac{{y}_{1}}{\sum_{{u}_{r}\left(1\right)}{s}_{g\left(1\right)}}\) is executed. It follows the allocation\(\:\:\left\{{a}_{1},{a}_{2},{a}_{3},{a}_{4}\right\}*\prod_{{o}_{p}}{u}_{r}\left(1\right)>x^{\prime\:}\left({t}^{{\prime\:}}\right)\). In this step, it illustrates the interference level\(\:\:{l}_{v}<\left({u}_{k}+{d}_{k}\right)\:\)and defines the better channel detection and allocation\(\:\:{f}_{i}\left({c}_{1}^{{\prime\:}},+.{c}_{4}^{{\prime\:}}\right)+({a}_{1}+.{a}_{4})\). This is computed based on the signal processing as\(\:\:{s}_{g\left(1\right)},+.{+s}_{g\left(4\right)}*\sum_{{u}_{g}\in\:{o}_{p}}\left({r}_{h}+{a}_{0}\right)\). It defines the optimization method for interference detection\(\:\:\left({i}_{f}-{n}_{f}\right)\approx\:{l}_{v}\left({x}^{{\prime\:}}-{t}^{{\prime\:}}\right)*\frac{1}{{d}_{n}}\:for\:all{\:l}_{v}\in\:q^{\prime\:}\).
The allocation error for the proposed work is less for two variants such as SNR and switching rate, as presented in Fig. 13. The reduction follows the interference rate estimation with the process of level detection as\(\:\:{l}_{v}\le\:\frac{1}{{s}_{g\left(4\right)}}+\left\{{y}_{1},{y}_{2},{y}_{3},{y}_{4}\right\},\:for\:all\:{s}_{g\left(4\right)}\approx\:{u}_{g}\). This is based on the delay in addressing\(\:\:\left\{{y}_{1}+\|{\left({g}_{c}*{i}_{e}\right)}^{-1}\|\right\}<\left({p}_{h}-{w}_{i}\right)\). The analysis is forwarded in a better manner,\(\:\:\frac{1}{\nabla\:*{S}_{l}}<{n}_{w},\:for\:all\:{n}_{w}\approx\:{a}_{0}\). Here, the communication is followed up by illustrating the radio resource allocation and re-allocation process\(\:\:\left({l}_{r}+{a}_{0}\right)*\frac{\varphi\:}{{i}_{e}-{i}_{f}}-{w}_{i}\).
On observing any allocation interval, it defines the convex and non-convex for the convergences\(\:\:{g}_{c}*\left|\left({v}_{x}-{v}^{{\prime\:}}\right)\right|+\frac{{d}_{4}-{c}_{4}^{{\prime\:}}}{{y}_{4}}\). This estimates the better detection of radio resources\(\:\:{u}_{r}\left(1\right)+.{+u}_{r}\left(4\right)*\sum_{\varphi\:\in\:{u}_{g}}\left(\nabla\:+x^{\prime\:}\right)\). This mechanism is followed up\(\:\:\left({q}^{{\prime\:}}+{d}_{n}\right)>{u}_{g}+{r}_{h},\:for\:all\:{r}_{h}\approx\:{c}_{1}^{{\prime\:}}+.{c}_{4}^{{\prime\:}}\) for the analysis step, which addresses the error rate. In this case,\(\:\:\nabla\:*\frac{{t}^{{\prime\:}}-{x}^{{\prime\:}}}{\left|{S}_{l}+{d}_{n}\right|}+({u}_{k}+{d}_{k})\), that defines the classification model\(\:\:{L}_{0}*\frac{{l}_{r}-{l}_{v}}{\left({i}_{f}-{n}_{f}\right)}>\{{y}_{1},+.+{y}_{4}\}\). By executing these steps,\(\:\:\frac{\nabla\:+\varphi\:}{{d}_{4}+{a}_{4}}-{y}_{4}>{g}_{c}-t^{\prime\:}\), and resultants in the lower allocation error detection.
Users’ mobility, variations in network load, and device heterogeneity are examples of dynamic elements that might impact NCOP’s performance in real 5G network scenarios. Users’ movements cause interference patterns to vary quickly, necessitating real-time adaptation from NCOP. When optimizing, it might be difficult to avoid delays in interference cancellation caused by computationally demanding processes. In addition, variations in device capabilities could affect the optimization model’s efficacy in areas such as transmission power, antenna topologies, and processing efficiency. While dealing with interference, a low-power Internet of Things device may react differently than a high-end device with sophisticated beamforming. Additionally, NCOP must be adaptable enough to function with many service types to withstand the extra limitations that 5G’s network slicing and resource allocation regulations provide.
Conclusion
Interference cancellation in D2D 5G uplink communications causes channel allocation errors regardless of the maximum number of channels utilized. This issue is addressed as a non-convex optimization problem by classifying interference and non-interference allocations. With the non-interference channel allocation reference, the radio resource utilization is maximized with the acceptable interference level. The non-convex optimization problem addresses the above utilization using convergence detection. For this purpose, the interference levels are identified at each allocation interval, with the reallocation convergence. As the classification for interference and non-interference allocation increases, convergence is achieved to mitigate the non-convex interference cancellation problem. The device switching for interference mitigation eases the classification for multiple concurrent resource allocations to ensure high interference cancellations. The non-interference cancellation instances are identified in the due allocation process to reduce the channel reassignment. This augments the convergence rate estimated using the interference level and the number of channels reassigned for the uplink devices. Hence, in this case, the self-interference cancellation relies on non-convex channel allocations across various switching methods. This feature is revisited if the D2D channels exceed their capacity for communication. Therefore, the 5G communication features coexist with the D2D uplinks for interference cancellations to improve channel allocation. At the maximum switching rate of 1.0, the NCOP improves capacity utilization by 11.68%, thereby reducing 7.16% allocation error with 9.98% high interference cancellation.
Data availability
Data will be made available on request to the Corresponding Author.
References
Bao, J., Wang, P., Liu, C., Wu, J. & Jiang, B. Decentralized Multisubsystem weighted interference cancellation with coded caching. IEEE Internet Things J. 11(2), 3175–3189. https://doi.org/10.1109/JIOT.2023.3295128 (2023).
Lohan, P., Kantarci, B., Ferrag, M. A., Tihanyi, N. & Shi, Y. From 5G to 6G networks, a survey on AI-Based jamming and interference detection and mitigation. IEEE Open. J. Commun. Soc. 5, 3920–3974. https://doi.org/10.1109/OJCOMS.2024.3416808 (2024).
Kim, S. M., Lim, Y. G., Dai, L. & Chae, C. B. Performance analysis of self-interference cancellation in full-duplex massive MIMO systems: Subtraction versus Spatial suppression. IEEE Trans. Wireless Commun. 22(1), 642–657 (2022).
Al-Makhlasawy, R. M., Khairy, M. & El-Shafai, W. Correction: recurrent neural networks for enhanced joint channel Estimation and interference cancellation in FBMC and OFDM systems: unveiling the potential for 5G networks. EURASIP J. Adv. Signal. Process. 2023(1), 130 (2023).
Zhong, C., Zhai, D., Lu, Y. & Li, K. Intelligent interference cancellation and ambient backscatter signal extraction for wireless-powered UAV IoT network. EURASIP J. Adv. Signal Process. 2024(1), 30 (2024).
Lu, Z. Research on anti-interference performance of 5G multi band communication antenna supported by NFC technology. Wireless Netw. 31, 915–927 (2024).
Siddiqui, M. U. A. et al. Urllc in beyond 5 g and 6 g networks: an interference management perspective. IEEe Access. 11, 54639–54663 (2023).
Yoon, P. et al. ULTIMA: ultimate balance of centralized and distributed benefits for interference management in 5G cellular networks. IEEE Access. 11, 85694–85710. https://doi.org/10.1109/ACCESS.2023.3303482 (2023).
Kazmi, S. H. A., Qamar, F., Hassan, R. & Nisar, K. Routing-based interference mitigation in SDN enabled beyond 5G communication networks: A comprehensive survey. IEEE Access. 11, 4023–4041 (2023).
Alraih, S., Nordin, R., Abu-Samah, A., Shayea, I. & Abdullah, N. F. A survey on handover optimization in beyond 5G mobile networks: challenges and solutions. IEEE Access. 11, 59317–59345 (2023).
Alruwaili, M., Kim, J. & Oluoch, J. Optimizing 5G power allocation with Device-to-Device communication: A Gale-Shapley algorithm approach. IEEE Access. 12, 30781–30795. https://doi.org/10.1109/ACCESS.2024.3369597 (2024).
Wang, X., Yao, H., Mai, T., Guo, S. & Liu, Y. Reinforcement learning-based particle swarm optimization for end-to-end traffic scheduling in TSN-5G networks. IEEE/ACM Trans. Networking. 31(6), 3254–3268 (2023).
Alhussan, A. A. & Towfek, S. K. 5G resource allocation using feature selection and Greylag Goose optimization algorithm. Computers Mater. Continua, 80(1). https://doi.org/10.32604/cmc.2024.049874 (2024).
Duan, S. et al. Cooperative secure beamforming optimization for Full-Duplex rate splitting multiple Access-enabled beyond-5G communication networks. Comput. Electr. Eng. 119, 109640 (2024).
Chen, L., Li, K. & Liu, H. L. Modeling 5G shared base station planning problem using an evolutionary bi-level optimization algorithm. Appl. Soft Comput. 165, 112079 (2024).
Algriree, W. et al. An analysis of low complexity of 5G-MIMO communication system based CR using hybrid filter detection. Alexandria Eng. J. 65, 627–648 (2023).
Alam, M. J., Chugh, R., Azad, S. & Hossain, M. R. Ant colony optimization-based solution to optimize load balancing and throughput for 5G and beyond heterogeneous networks. EURASIP J. Wirel. Commun. Netw. 2024(1), 44 (2024).
Mbulwa, A. I., Yew, H. T., Chekima, A. & Dargham, J. A. Self-Optimization of handover control parameters for 5G wireless networks and beyond. IEEE Access. 12, 6117–6135. https://doi.org/10.1109/ACCESS.2023.3346039 (2023).
Mori, S., Mizutani, K. & Harada, H. A digital self-interference cancellation scheme for in-band full-duplex-applied 5G system and its software-defined radio implementation. IEEE Open. J. Veh. Technol. 4, 444–456 (2023).
Gbadamosi, S. A., Hancke, G. P. & Abu-Mahfouz, A. M. Adaptive interference avoidance and mode selection scheme for D2D-enabled small cells in 5G-IIoT networks. IEEE Trans. Industr. Inf. 20(2), 2408–2419 (2023).
Ni, Y. et al. December). Beamforming and interference cancellation for RIS-Assisted HAP-D2D communication systems. In 2023 IEEE Globecom Workshops (GC Wkshps) (153–159). IEEE. (2023). https://doi.org/10.1109/GCWkshps58843.2023.10464492
Mori, S., Mizutani, K. & Harada, H. Inter-User interference cancellation scheme for 5G-Based dynamic Full-Duplex cellular system. IEEE Open. J. Veh. Technol. 5, 704–720. https://doi.org/10.1109/OJVT.2024.3398566 (2024).
Sun, H., Wang, Z., Li, L. & Fan, W. Multipath Parameter Extraction in 5G-NR Multi-cell Network Using Interference Cancellation Method. IEEE Antennas and Wireless Propagation Letters. (2024).
Nguyen, L. V. & Swindlehurst, A. L. RIS-aided interference cancellation for joint device-to-device and cellular communications. In 2024 IEEE International Conference on Communica (2024), June.
Ayaz, M., Hussain, A., Hussain, T. & Ali, I. Optimization of quality of service in 5G cellular network by focusing on interference management. Wireless Pers. Commun. 135(4), 2229–2254 (2024).
Al-Makhlasawy, R. M., Khairy, M. & El-Shafai, W. Recurrent neural networks for enhanced joint channel Estimation and interference cancellation in FBMC and OFDM systems: unveiling the potential for 5G networks. EURASIP J. Adv. Signal Process. 2023(1), 120 (2023).
Jiang, Y., Liu, S., Li, M., Zhao, N. & Wu, M. A new adaptive co-site broadband interference cancellation method with auxiliary channel. Digit. Commun. Networks (2022). https://doi.org/10.1016/j.dcan.2022.10.025
Shaikh, F. S., Saleem, Y. & Wismüller, R. An interference-conscious reduced routing overhead protocol for Device-to-Device (D2D) Networks. Computer Communications. (2024).
Han, M. et al. Full-duplex multi-band 5G/6G coexistence mobile fronthaul network based on RoF with RF self-interference cancellation. Opt. Fiber. Technol. 81, 103551 (2023).
Li, H., Zhu, Z., Gao, C., Wang, G., Zhou, T., Li, X., … Zhao, S. (2023). High cost-effective photonic assisted in-band interference cancellation scheme for centralized radio access network towards future 5G communication. Optical Fiber Technology, 81, 103558.
De Silva, U., Silva, H. & Madanayake, A. Augmented envelope neural networks on RF-SoC for digital Self-Interference cancellation. IEEE Access. 12, 44091–44103 (2024).
Tan, J. S. et al. Lightweight machine learning for digital cross-link interference cancellation with RF chain characteristics in flexible duplex MIMO systems. IEEE Wirel. Commun. Lett. 12(7), 1269–1273 (2023).
Yang, H., Bondada, K. S., Cheng, X., Jakubisin, D. J., Tripathi, N., Yang, Y., …Reed, J. H. (2023, October). Underlay-based 5G Sidelink with Co-channel Interference Cancellation. In MILCOM 2023–2023 IEEE Military Communications Conference (MILCOM) (pp. 304–310). IEEE.
Javed, M. Y., Tervo, N., Leinonen, M. E. & Pärssinen, A. Wideband inter-beam interference cancellation for mmW/sub-THz phased arrays with squint. IEEE Trans. Veh. Technol. 72(6), 7560–7572 (2023).
Nallasivan, G. et al. Clustering and Energy Efficient Power Allocation Scheme for D2D Multicast Network. In 2024 IEEE International Conference on Contemporary Computing and Communications (InC4) (Vol. 1, pp. 1–5). IEEE. (2024), March.
Mahdi, W. H. & Taşpınar, N. Resource allocation based on SFLA algorithm for D2D multicast communications. Comput. Syst. Sci. Eng., 45(2), 1517–1530. https://doi.org/10.32604/csse.2023.030069 (2023).
Acknowledgements
The authors extend their appreciation to the Deanship of Scientific Research at Northern Border University, Arar, KSA for funding this research work through the project number ‘‘NBU-FFR-2024-2894-03’’. The authors are thankful to the Deanship of Graduate Studies and Scientific Research at University of Bisha for supporting this work through the Fast-Track Research Support Program. This article has been produced with the financial support of the European Union under the REFRESH – Research Excellence For Region Sustainability and High-tech Industries project number CZ.10.03.01/00/22_003/0000048 via the Operational Programme Just Transition, project TN02000025 National Centre for Energy II and ExPEDite project a Research and Innovation action to support the implementation of the Climate Neutral and Smart Cities Mission project. ExPEDite receives funding from the European Union’s Horizon Mission Programme under grant agreement No. 101139527.
Author information
Authors and Affiliations
Contributions
1. Min Zhu: Conceptualization, Methodology. 2. Ping Guo: Data curation, Writing–original draft, 3. Xianghua Liu: Validation, Writing–review and editing. 4. Hao Zhang: Writing–original draft, Writing–review and editing. 5. Salwa Othmen: Writing–original draft, Writing–review and editing. 6. Chahira Lhioui: Writing–review and editing, Supervision. 7. Aymen Flah: Formal Analysis, Validation. 8. Ivo Perg: Data curation, Writing–review and editing.
Corresponding authors
Ethics declarations
Competing interests
The authors declare no competing interests.
Additional information
Publisher’s note
Springer Nature remains neutral with regard to jurisdictional claims in published maps and institutional affiliations.
Rights and permissions
Open Access This article is licensed under a Creative Commons Attribution-NonCommercial-NoDerivatives 4.0 International License, which permits any non-commercial use, sharing, distribution and reproduction in any medium or format, as long as you give appropriate credit to the original author(s) and the source, provide a link to the Creative Commons licence, and indicate if you modified the licensed material. You do not have permission under this licence to share adapted material derived from this article or parts of it. The images or other third party material in this article are included in the article’s Creative Commons licence, unless indicated otherwise in a credit line to the material. If material is not included in the article’s Creative Commons licence and your intended use is not permitted by statutory regulation or exceeds the permitted use, you will need to obtain permission directly from the copyright holder. To view a copy of this licence, visit http://creativecommons.org/licenses/by-nc-nd/4.0/.
About this article
Cite this article
Zhu, M., Guo, P., Liu, X. et al. A new approach to interference cancellation in D2D 5G uplink via Non orthogonal convex optimization. Sci Rep 15, 7253 (2025). https://doi.org/10.1038/s41598-025-92026-4
Received:
Accepted:
Published:
Version of record:
DOI: https://doi.org/10.1038/s41598-025-92026-4
Keywords
This article is cited by
-
Energy-saving transmission time and power management for D2D connection with a relay node using the same band with a cellular connection
The Journal of Supercomputing (2025)















