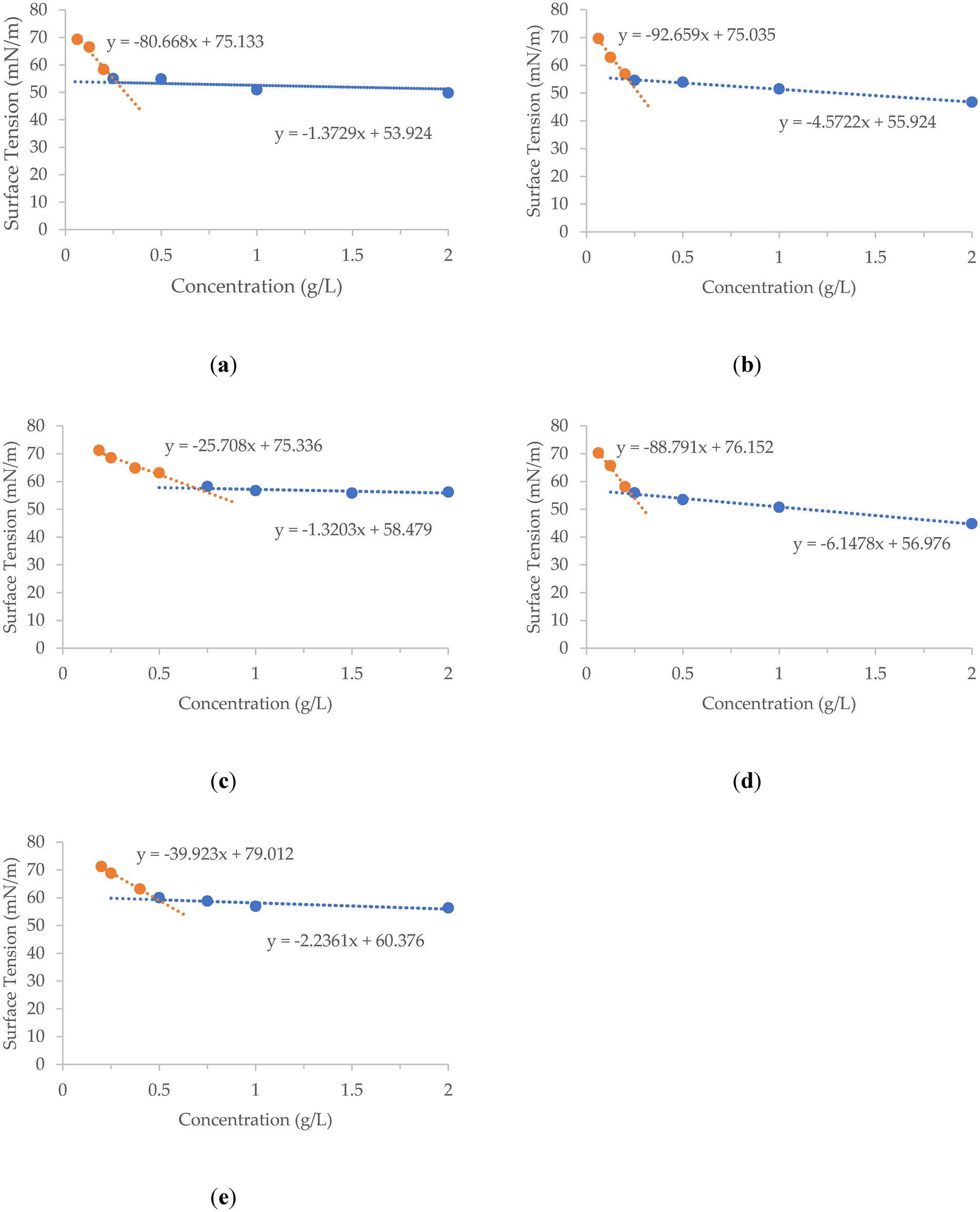
Fig. 2
From: Enhancing spontaneous biosurfactant production through water steeping of olive mill waste

Variation of surface tension of water in presence of decreasing concentrations of biosurfactant extract obtained from OMW with ethyl acetate: in presence of solids and without steeping process (a), in presence of solids with steeping process (b), without solids and without steeping process (c), without solids and with steeping process (d) with Soxhlet technique (e).