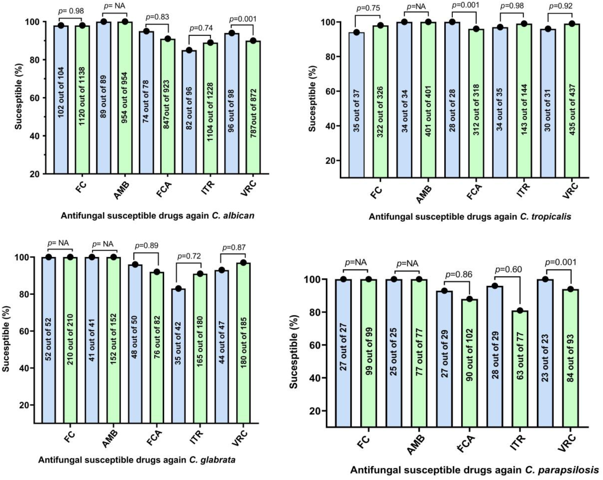
Fig. 2

Differences in the antifungal susceptibility of isolates obtained from cases of candidemia and non-candidemia. The blue bars represent BSCI isolates, while the green bars represent non-BSCI. P-values less than 0.05 were considered statistically significant. AmB, amphotericin B; FC, 5-flucytosine; FCA, fluconazole; ITR, itraconazole; VRC, voriconazole; NYS, nystatin.