Fig. 6


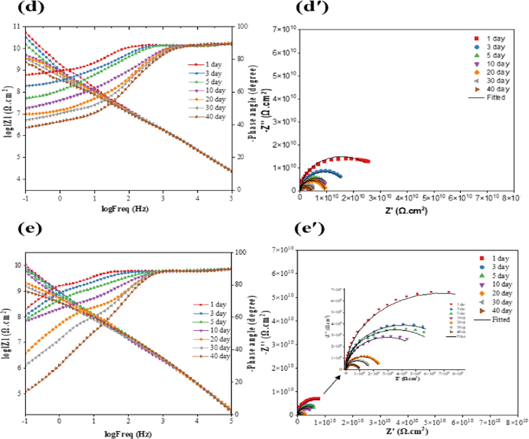
Bode (left) and Nyquist (right) plots of (a, a′) EC, (b, b′) NC1, (c, c′) NC2, (d, d′) NC3 and (e, e′) NC4 submerged in the 3.5 wt% NaCl solution.


Bode (left) and Nyquist (right) plots of (a, a′) EC, (b, b′) NC1, (c, c′) NC2, (d, d′) NC3 and (e, e′) NC4 submerged in the 3.5 wt% NaCl solution.