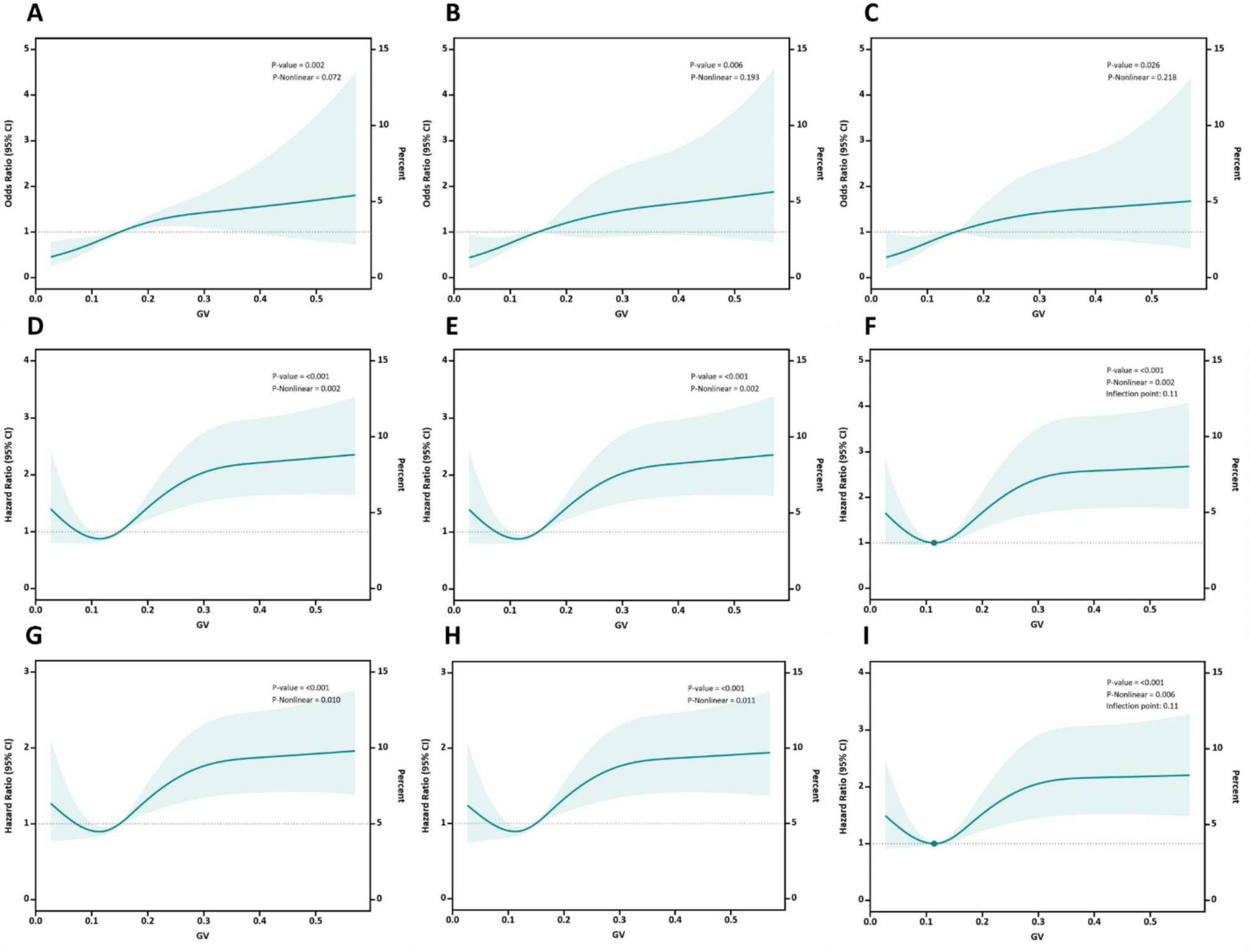
Fig. 4

RCS curves for the relationship between GV and clinical outcomes. RCS Curves of GV and OR/HR: (A–C) RCS curves for Poor Outcomes at Discharge in Model 1, Model 2, and Model 3, respectively; (D–F) RCS curves for 90-day mortality in Model 1, Model 2, and Model 3, respectively; (G–I) RCS curves for 1-year mortality in Model 1, Model 2, and Model 3, respectively; GV glycemic variability, OR odds ratio, HR hazard ratio, RCS restricted cubic spline, ICU intensive care unit.