Abstract
Existing modified-Nix-Gao models have been developed to accurately describe the descending indentation size effect (ISE). This raises the question of whether the modified-Nix-Gao models can describe other types of ISE. In this paper, because Nix-Gao-Feng and Nix-Gao-Haušild models are exceptionally straightforward and user-friendly, the two modified-Nix-Gao models are chosen to make a systematic study. To our surprise, the parameters analysis indicates that the two modified-Nix-Gao models are able to describe the transition of descending to ascending ISE. The Nix-Gao-Feng is also capable of predicting a transition in hardness from hardening to softening at shallow indentation depth. However, the two modified-Nix-Gao models does not capture the ascending ISE. Further study reveals that the mechanism behind of this novel finding is attributed to the competition between the relative rate of change of k3 (k is the ratio of the effective radius to the contact radius) and indentation depth with indentation depth. However, two modified-Nix-Gao models gradually transition to a dislocation-dominated descending ISE as indentation depth increases, resulting in the inability of both models to reflect the ascending ISE. The evaluation indicates that the two modified-Nix-Gao models can successfully predict the transition of descending to ascending ISE of different materials, and the minimum determination coefficients (DCs) of both models are more than 0.8 for different materials. Although the DCs of both models are relatively high for some results of the ascending ISE, qualitative comparison and parameter analysis reveal that they fail to fully capture the ascending ISE. This implies that quantitative comparison alone is insufficient to reasonably reflect the predictive accuracy of the models.
Similar content being viewed by others
Introduction
Schematic of three main types of ISEs2.
The indentation size effect (ISE), which the hardness varies with indentation depth, is observed in ceramics, metals, thin films and so on1,3,4,5,6,7,8. Experimental studies have found three main types of ISEs, descending ISE, ascending ISE and transition of descending to ascending ISE (See Fig. 1)2,9,10,11,12,13,14. Previous studies have shown that the descending ISE is governed by several mechanisms15. Surface effects play a significant role, as material surfaces are often processed or treated, resulting in a surface layer with higher hardness16,17. Geometric effects also contribute; the shape of Berkovich or Vickers indenters causes stress to concentrate in smaller regions at shallow depths, resulting in higher hardness18,19. Dislocation mechanisms are critical as well: in shallow regions, restricted dislocation motion or higher dislocation density increases hardness, but deeper indentations allow more dislocation mobility or lower density, reducing hardness20. Grain size effects also contribute, with finer grains and grain boundary interactions at the surface impeding dislocation motion and increasing hardness, while deeper regions with larger grains and weaker grain boundary influence exhibit lower hardness21. For the ascending ISE, irradiation can generate numbers of defect clusters that degrade the hardness at near the material surface22. Both surface convex and tip impurity can make measured depth greater, and further reduce the indentation hardness in shallow regions11,23. The strong repulsive force between GNDs at shallow indentation depths facilitates the spread of dislocations beyond the assumed hemispherical region, further reducing the dislocation density and consequently leading to lower hardness at the material surface12,24. Pile-up primarily occurs at shallow indentation, where localized plastic deformation is pronounced, leading to an overestimation of the plastic zone, causing an underestimation of the measured hardness25,26,27. In fine-grained materials, deeper indentation may cause grain refinement or phase transition, thereby increasing the hardness of the internal material, resulting in the ascending ISE28. For mechanisms of the transition of descending to ascending ISE, in shallow indentation, the hardness increases with increasing indentation depth due to surface stress relaxation, the geometric effect of the indenter tip, and restricted dislocation movement. In deep indentation, the hardness decreases with increasing indentation depth due to dislocation pile-up, the diminished geometric effect of the indenter tip, and material inhomogeneity within the bulk29,30,31. Although researchers have proposed numerous ISE models based on different mechanisms and experimental phenomenon, these ISE models are only capable of capturing the descending ISE.
Among the prevalent models for elucidating the ISE, the Nix-Gao model stands out for its consideration of the depth-dependent variation in geometrically necessary dislocation (GND) density20. Nevertheless, subsequent nanoindentation experiments have revealed limitations in the applicability of the Nix-Gao model at the nanoscale24. Hence, several researchers including Swadener et al.24, Feng and Nix32, and Durst et al.33, have suggested that the Nix-Gao model should be refined to account for the variable ratio between the size of the plastic zone and the indentation depth. Recognizing this limitation, Huang et al.34developed an enhanced version of the Nix-Gao model specifically for assessing nano-indentation hardness, incorporating a maximum permissible density of geometrically necessary dislocations (GNDs) into their calculations. To further elaborate on the relationship between plastic zone size and indentation depth, Feng-Nix32and Haušild35, incorporated the exponentially decaying function and the negative power function, respectively, into the Nix-Gao model. Meanwhile, Abu Al-Rub36 introduced another layer of complexity by integrating the Taylor hardening law, which takes into account the nonlinear flow stresses resulting from both statistically stored dislocations (SSDs) and GNDs. Qiu et al.37took a different approach by introducing a friction stress component that was unrelated to dislocation activities, thereby further refining the Nix-Gao model. In contrast to these modifications, Yuan and Chen38 employed a gradient plasticity model with an intrinsic micro-material length to improve the Nix-Gao model. This approach allowed for a more nuanced understanding of material behavior at the microscale. Finally, Liu et al.39 integrated elastic deformation into the Nix-Gao model, enhancing its applicability for predicting indentation size effect (ISE) at depths below 100 nm. The aforementioned modified-Nix-Gao models are initially proposed to describe the nonlinearity of descending ISE (See Fig. 1). However, this raises the question of whether the these modified-Nix-Gao models can describe the ascending ISE and the transition of descending to ascending ISE (See Fig. 1).
In this paper, because Nix-Gao-Feng and Nix-Gao-Haušild models are exceptionally straightforward and user-friendly, the two modified-Nix-Gao models are chosen to make a systematic study. The parameters analysis is further conducted to gain a deep understanding of the two modified-Nix-Gao models. Moreover, the predictions of the two modified-Nix-Gao models are compared with experimental and simulated results. Finally, the novel findings of two modified-Nix-Gao models are presented and clarified. The scope of this article does not encompass ISE models pertaining to multilayered structures or bicrystal materials40.
Two modified-Nix-Gao models for ISE
Incorporating the influence of SSDs and GNDs on material hardness, the Nix-Gao model has been developed based on the principles of strain gradient plasticity theory for the descending ISE of crystalline materials20. Subsequently, a mathematical relationship linking indentation hardness H and indentation depth h is derived, as presented below.
where H0 ≥ 0 is the hardness at h → +∞, and h0 ≥ 0 is a length scale.
Feng and Nix32 have suggested that the storage zone of GNDs is beyond a plastic zone, which is equal to contact radius. They further assumed that the plastic zone radius can be expressed as ka, where a represents the contact radius between the indenter and the indentation surface, k denotes the ratio of the plastic zone radius to the contact radius. Then, the Nix-Gao model is modified as follows.
In fact, sink-in and pile-up are two common surface deformation phenomena in indentation test41. Sink-in is prevalent in both metallic and non-metallic materials, particularly under shallow indentation, where significant elastic recovery leads to an underestimation of the contact area42,43. Consequently, the plastic zone is also underestimated, resulting in an overestimation of the measured hardness. Pile-up primarily occurs in metallic and alloy materials, especially under shallow indentation, where localized plastic deformation is pronounced, leading to an overestimation of the contact area25,26. As a result, the plastic zone is also overestimated, causing an underestimation of the measured hardness. Both sink-in and pile-up phenomena diminish with increasing indentation depth44,45. Under shallow indentation, these phenomena are more pronounced and have a greater impact on hardness measurements. Therefore, pile-up can cause the indentation size effect to exhibit anomalous behavior, while sink-in can make the indentation size effect more pronounced. Additionally, other factors, such as indenter defects and geometry, grain size and distribution, surface residual stress and roughness etc., can influence the ISE of materials at shallow indentation depths. This implies that the aforementioned parameter k also reflects the effect of above factors on the ISE of materials.
An exponential decay function assumed by Feng and Nix32and a mixed exponential-power function assumed by Haušild35 are used to describe the relation between k and h as follows.
where r0 > 0 and n > 0 are dimensionless parameter, h1 > 0 and h2 > 0 are parameter of length scale.
By substituting Eqs. (3) and (4) into Eq. (2), two modified-Nix-Gao models are obtained.
where the Eqs. (5) and (6) are called as the Nix-Gao-Feng and Nix-Gao-Haušild models, respectively.
On the novel findings of two modified-Nix-Gao models
Parameter analysis
In Eqs. (5) and (6), the parameter H0 has the ability to alter the magnitude of the locus of the Nix-Gao-Feng and Nix-Gao-Haušild models without impacting them shape. Hence, Eqs. (5) and (6) are normalized by the parameter H0 as follows.
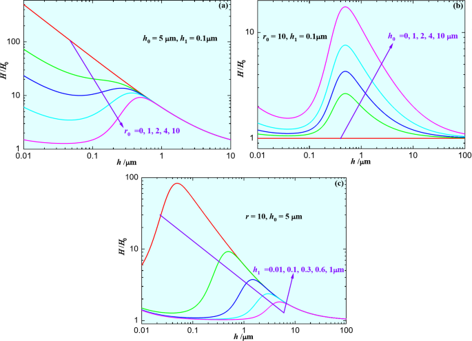
Figure 2 shows the effect of the parameters r, h0 and h1 on the Nix-Gao-Feng model. It can be noted in Fig. 2(a) that the ISE curves of the Nix-Gao-Feng model change from the descending ISE to the transition of descending to ascending ISE with the increase of the parameters r. In Fig. 2(b) and (c), as increasing h0 or decreasing h1, the transition of descending to ascending ISE predicted by Nix-Gao-Feng model is more pronounced. Moreover, it can be found in Fig. 2that the Nix-Gao-Feng model is capable of predicting a transition in hardness from hardening to softening at shallow indentation depth. This phenomenon has been observed from nanoindentation of bicrystal FCC metal46. This phenomenon of ISE does not encompass in this article.
Effect of the parameters (a) r, (b) h0 and (c) h1 on the normalized Nix-Gao-Feng model [Eq. (7)].
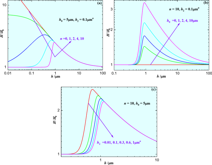
The influence of parameters n, h0 and h2 on the Nix-Gao-Haušild model is shown in Fig. 3. Figure 3(a) shows that the ISE curves of the Nix-Gao-Haušild model change from the descending ISE to the transition of descending to ascending ISE with the increase of the parameters n. it can be seen from Fig. 3(b) and (c) that the transition of descending to ascending ISE predicted by Nix-Gao-Feng model is more pronounced as increasing h0 or decreasing h2.
Effect of the parameters (a) n, (b) h0 and (c) h2 on the normalized Nix-Gao-Haušild model [Eq. (8)].
Based on parameter analysis in Figs. 2 and 3, it can be found a novel phenomenon that the two modified-Nix-Gao models can describe the transition of descending to ascending ISE. However, Figs. 2 and 3 have suggested that the two modified-Nix-Gao models does not capture the ascending ISE. Next, the mechanism behind the novel finding is clarified.
Mechanism behind the novel finding
The first derivative of Eq. (2) with respect to h are given as follow.
where (k3)′ and h′ are the first derivative of k3 and h with h, respectively. The (k3)′/k3 and h′/h are the relative rate of change of k3 and h with h, respectively. The (k3)′/k3 is derived based on Eqs. (3) and (4) for the Nix-Gao-Feng and Nix-Gao-Haušild models as follow.
Since n, r0, h1 and h1 > 0, (k3)′/k3 < 0 and h′/h > 0 are obtained based on Eqs. (10) and (11). Therefore, in Eq. (9), when [(k3)′/k3 + h′/h] > 0, descending ISE [(H/H0)2]′ > 0 is obtained, the (H/H0)2 will increase with the increasing h. And the ascending ISE [(H/H0)2]′ < 0 is observed when [(k3)′/k3 + h′/h] < 0. This implies that the competition between (k3)′/k3 and h′/h is the mechanisms behind of the transition of descending to ascending ISE. However, despite the introduction of k in the two modified-Nix-Gao models to capture the ascending ISE, both models gradually transition to a dislocation-dominated descending ISE as ℎ increases (See in Figs. 2 and 3), resulting in the inability of both models to reflect the ascending ISE. Therefore, the two modified-Nix-Gao models should be further improved to independently capture either the descending or ascending ISE mechanisms at large indentation depths.
Validation of the two modified-Nix-Gao models
Existing studies have shown that the two modified-Nix-Gao models (Nix-Gao-Feng and Nix-Gao-Haušild models) can accurately describe the descending ISE12,32,35. Here, an evaluation is conducted on the ability of the two modified-Nix-Gao models for describing the ascending ISE and the transition of descending to ascending ISE.
For the ascending ISE and the transition of descending to ascending ISE, we collected experimental or simulated data on Ni Carbide Silicon23, TC4 titanium alloy11, Pulsed electro-deposited Ni28, ZrO2ceramic29, Cu single crystals30, Y2O3-ZrO2ceramic31 from the literatures. The detailed experimental and simulated data, presented in Table 1, are essential for ensuring an adequate number, which can avoid overfitting and enable accurate model parameter estimation. An optimization approach is employed to determine the parameters of two modified-Nix-Gao models. The optimize parameters are given in Tables 2 and 3.
For the ascending ISE, the predictions of the two modified-Nix-Gao models are illustrated in Fig. 4(a)-(c). it can be seen in Fig. 4(a)-(c) that Nix-Gao and Nix-Gao-Feng models cannot describe the ascending ISE of Ni Carbide Silicon, TC4 titanium alloy and Pulsed electro-deposited Ni. Nix-Gao-Haušild model can only reflect the trend of the ascending ISE of Ni Carbide Silicon and Pulsed electro-deposited Ni [See in Fig. 4(a) and (c)]. Although Nix-Gao-Haušild model can predict accurately the ascending ISE of TC4 titanium alloy, it can be found in Fig. 4(b) that the ascending ISE of TC4 titanium alloy is only a part of the transition of descending to ascending ISE curve predicted by the Nix-Gao-Haušild model.
For the transition of descending to ascending ISE, the predictions of the two modified-Nix-Gao models are illustrated in Fig. 5(a)-(c). However, to our surprise, the two modified-Nix-Gao models are able to describe the transition of descending to ascending ISE of three materials [See in Fig. 5(a)-(c)]. This means that the size-dependent plastic zone, which is the modified mechanism for the two modified-Nix-Gao models, is critical to accurately predict the transition of descending to ascending ISE. So, it should be considered in future models. Moreover, it can be found in Fig. 5(a) and (c) that the Nix-Gao-Feng model is capable of predicting a transition in hardness from hardening to softening at shallow indentation depth.
Compared experimental or simulated data of (a) Ni Carbide Silicon, (b) TC4 titanium alloy and (c) Pulsed electro-deposited Ni with predicted values of the Nix-Gao and two modified-Nix-Gao models.
Compared experimental or simulated data of (a) ZrO2 ceramic, (b) Cu single crystals and (c) Y2O3-ZrO2 ceramic with predicted values of the Nix-Gao and two modified-Nix-Gao models.
The determination coefficient (DC) serves as a metric to assess the predictive reliability of the two modified-Nix-Gao models and given in Table 4. A higher DC value is beneficial, with the optimal scenario occurring when the experimental or simulated data aligns perfectly with the predicted data, yielding zero mismatch (DC = 1).
For the ascending ISE in Table 4, quantitative comparison shows that the DCs of the Nix-Gao model predictions range from 0.0505 to 0.9314, indicating significant variability. The DCs of the Nix-Gao-Feng model predictions range from 0.7920 to 0.8708, demonstrating relatively stable performance. However, although both the Nix-Gao and Nix-Gao-Feng models yield DCs greater than 0.8 for Ni-Carbide Silicon and pulsed electro-deposited Ni, qualitative comparison in Figs. 4 and 5 shows that both models fail to describe the ascending ISE. The DCs of the Nix-Gao-Haušild model predictions range from 0.8636 to 0.9789, exhibiting the most stable and overall highest performance. Nevertheless, parameter analysis in Figs. 2 and 3 indicates that the Nix-Gao-Haušild model cannot predict the complete rising size effect. This implies that quantitative comparison alone is insufficient to reasonably reflect the predictive accuracy of the models. For the transition of descending to ascending ISE, Table 4 shows that the DC of the Nix-Gao-Feng model is close to that of the Nix-Gao-Haušild model, and their DCs are greater than 0.8. Therefore, it can be concluded that Nix-Gao-Feng and Nix-Gao-Haušild models can accurately describe the transition of descending to ascending ISE of different materials.
Discussion
The present study systematically investigates the capabilities and limitations of two modified-Nix-Gao models, namely Nix-Gao-Feng and Nix-Gao-Haušild, in describing the indentation size effect (ISE). Our analysis reveals novel insights into the predictive performance of two modified-Nix-Gao models for the ascending and the transition of descending to ascending ISE.
The parameters analysis conducted in this study demonstrates that two modified-Nix-Gao models exhibit the ability to describe the transition from descending to ascending ISE. This finding is particularly novel as previous versions of the Nix-Gao model were primarily focused on capturing the descending ISE. The Nix-Gao-Feng model further demonstrates its versatility by predicting a transition in hardness from hardening to softening at shallow indentation depths, which aligns with experimental observations in certain materials46,47,48.
However, despite these promising results, both models fail to accurately capture the ascending ISE. Our investigation into the mechanism behind this finding suggests that as indentation depth increases, both models gradually transition to a dislocation-dominated descending ISE, limiting their ability to reflect the ascending trend. This limitation highlights the need for further refinements in the models to enhance their predictive accuracy across the entire range of indentation depths.
Additionally, the comparison of predicted values from the two modified-Nix-Gao models with experimental and simulated data from various materials reflect the merits and demerits of each modified-Nix-Gao models. Although the DCs of both models are relatively high for some results of the ascending ISE, qualitative comparison and parameter analysis reveal that they fail to fully capture the ascending ISE. This implies that quantitative comparison alone is insufficient to reasonably reflect the predictive accuracy of the models.
Conclusions
In this paper, the Nix-Gao-Feng and Nix-Gao-Haušild models are chosen to make a systematic study. The parameters analysis is further conducted to gain a deep understanding of the two modified-Nix-Gao models. Moreover, the predictions of the two modified-Nix-Gao models are compared with experimental and simulated results of the ascending and the transition of descending to ascending ISE. Finally, the novel findings of two modified-Nix-Gao models are presented and clarified. The main conclusions of this study are summarized as follows.
-
1.
To our surprise, the parameters analysis indicates that the two modified-Nix-Gao models are able to describe the transition of descending to ascending ISE. The Nix-Gao-Feng is also capable of predicting a transition in hardness from hardening to softening at shallow indentation depth. However, the two modified-Nix-Gao models does not capture the ascending ISE.
-
2.
The mechanism behind of this novel finding is attributed to the competition between the relative rate of change of k1 (k is the ratio of the effective radius to the contact radius) and indentation depth with indentation depth. However, two modified-Nix-Gao models gradually transition to a dislocation-dominated descending ISE as indentation depth increases, resulting in the inability of both models to reflect the ascending ISE.
-
3.
The two modified-Nix-Gao models can successfully predict the transition of descending to ascending ISE of different materials. The minimum determination coefficients (DCs) of both models are more than 0.8 for different materials. Although the DCs of both models are relatively high for some results of the ascending ISE, qualitative comparison and parameter analysis reveal that they fail to fully capture the ascending ISE. This implies that quantitative comparison alone is insufficient to reasonably reflect the predictive accuracy of the models.
Data availability
Data is provided within the manuscript.
References
Kathavate, V. S., Kumar, P., Singh, B., Eswar Prasad, K. & I. & Analysis of indentation size effect (ISE) in nanoindentation hardness in polycrystalline PMN-PT piezoceramics with different domain configurations. Ceram. Int. 47, 11870–11877. https://doi.org/10.1016/j.ceramint.2021.01.027 (2021).
Pharr, G. M., Herbert, E. G. & Gao, Y. The indentation size effect: A critical examination of experimental observations and mechanistic interpretations. Annu. Rev. Mater. Sci. 40, 271–292. https://doi.org/10.1146/ANNUREV-MATSCI-070909-104456 (2010).
Renjo, M. M., Ćurković, L., Štefančić, S. & Ćorić, D. Indentation size effect of Y-TZP dental ceramics. Dent. Mater. 30 https://doi.org/10.1016/J.DENTAL.2014.08.367 (2014).
Nath, P., Bhattacharjee, A. & Sen, I. Indentation size effect in 2nd and 3rd generation advanced intermetallic tial alloys: theoretical and experimental Estimation of dislocation density. J. Mater. Sci. 59, 3066–3086. https://doi.org/10.1007/s10853-023-09320-7 (2024).
Ding, Y., Xu, G. K. & Wang, G. F. On the determination of elastic moduli of cells by AFM based indentation. Sci. Rep. 7, 45575. https://doi.org/10.1038/srep45575 (2017).
Karimzadeh, A., Koloor, R., Ayatollahi, S. S., Bushroa, M. R., Yahya, M. Y. & A. R. & Assessment of Nano-Indentation method in mechanical characterization of heterogeneous nanocomposite materials using experimental and computational approaches. Sci. Rep. 9, 15763. https://doi.org/10.1038/s41598-019-51904-4 (2019).
Dushaq, G., Nayfeh, A. & Rasras, M. Hexagonal germanium formation at room temperature using controlled penetration depth nano-indentation. Sci. Rep. 9, 1593. https://doi.org/10.1038/s41598-018-38440-3 (2019).
Fu, T. et al. Molecular dynamics simulation of nanoindentation on Cu/Ni nanotwinned multilayer films using a spherical indenter. Sci. Rep. 6, 35665. https://doi.org/10.1038/srep35665 (2016).
Yang, K. et al. Understanding the relationship between microstructure and mechanical behavior of plasma-sprayed amorphous Al2O3–YAG ceramic coating based on depth-sensing indentation measurements. J. Mater. Sci. 57, 14681–14698. https://doi.org/10.1007/s10853-022-07585-y (2022).
Soni, A., Kumaraswamy, A., Praveen Kumar, B., Wasekar, N. P. & Valleti, K. Indentation size effects in hardness of annealed NiB coatings. MRS Commun. 14, 402–409. https://doi.org/10.1557/s43579-024-00560-5 (2024).
Li, X. et al. Indentation size effect: an improved mechanistic model incorporating surface undulation and indenter tip irregularity. J. Mater. Res. Technol. 23, 143–153. https://doi.org/10.1016/j.jmrt.2023.01.001 (2023).
Shen, Z., Su, Y., Liang, Z. & Long, X. Review of indentation size effect in crystalline materials: progress, challenges and opportunities. J. Mater. Res. Technol. 31, 117–132. https://doi.org/10.1016/j.jmrt.2024.06.071 (2024).
Geng, D., Yu, H., Okuno, Y., Kondo, S. & Kasada, R. Practical method to determine the effective zero-point of indentation depth for continuous stiffness measurement nanoindentation test with Berkovich tip. Sci. Rep. 12, 6391. https://doi.org/10.1038/s41598-022-10490-8 (2022).
Lu, Y. M. et al. Shear-banding induced indentation size effect in metallic glasses. Sci. Rep. 6, 28523. https://doi.org/10.1038/srep28523 (2016).
Wang, P., Gao, Y. & Wang, P. A comparative study of indentation size effect models for different materials. Sci. Rep. 14, 20010. https://doi.org/10.1038/s41598-024-71136-5 (2024).
Oliver, W. C. & Pharr, G. M. An improved technique for determining hardness and elastic modulus using load and displacement sensing indentation experiments. J. Mater. Res. 7, 1564–1583. https://doi.org/10.1557/JMR.1992.1564 (1992).
Li, J. et al. Micro-to-nano scale filling behavior of PMMA during imprinting. Sci. Rep. 7, 7871. https://doi.org/10.1038/s41598-017-08409-9 (2017).
Zhang, X. & Zhang, C. Inconsistent nanoindentation test hardness using different Berkovich indenters. J. Mater. Res. Technol. 25, 6198–6208. https://doi.org/10.1016/j.jmrt.2023.07.063 (2023).
Qiao, X. G., Starink, M. J. & Gao, N. The influence of indenter tip rounding on the indentation size effect. Acta Mater. 58, 3690–3700. https://doi.org/10.1016/j.actamat.2010.03.004 (2010).
Nix, W. D. & Gao, H. Indentation size effects in crystalline materials: A law for strain gradient plasticity. J. Mech. Phys. Solids. 46, 411–425. https://doi.org/10.1016/S0022-5096(97)00086-0 (1998).
Jung, B., Lee, H. & Park, H. Effect of grain size on the indentation hardness for polycrystalline materials by the modified strain gradient theory. Int. J. Solids Struct. 50, 2719–2724. https://doi.org/10.1016/j.ijsolstr.2013.05.002 (2013).
Röder, F. et al. Nanoindentation of ion-irradiated reactor pressure vessel steels – model-based interpretation and comparison with neutron irradiation. Phil. Mag. 98, 911–933. https://doi.org/10.1080/14786435.2018.1425007 (2018).
Liu, M. Study on mechanics problem in the indentation testing Ph.D. thesis, Tianjin University, (2007).
Swadener, J. G., George, E. P. & Pharr, G. M. The correlation of the indentation size effect measured with indenters of various shapes. J. Mech. Phys. Solids. 50, 681–694. https://doi.org/10.1016/S0022-5096(01)00103-X (2002).
Samir, H. et al. The methodology refinement through the predominant case of the pile-up to estimate the mechanical response by spherical indentation. Sci. Rep. 14, 29149. https://doi.org/10.1038/s41598-024-80760-0 (2024).
Karthik, V. et al. Finite element analysis of spherical indentation to study pile-up/sink-in phenomena in steels and experimental validation. Int. J. Mech. Sci. 54, 74–83. https://doi.org/10.1016/j.ijmecsci.2011.09.009 (2012).
Ruiz-Moreno, A. & Hähner, P. Indentation size effects of ferritic/martensitic steels: A comparative experimental and modelling study. Mater. Design. 145, 168–180. https://doi.org/10.1016/j.matdes.2018.02.064 (2018).
Seekala, H., Bathini, L., Wasekar, N. P. & Krishnaswamy, H. Sudharshan Phani, P. A unified approach to quantify the material and geometrical effects in indentation size effect. J. Mater. Res. 38, 1740–1755. https://doi.org/10.1557/s43578-023-00927-9 (2023).
Wang, L. et al. Indentation size effect in aqueous electrophoretic deposition zirconia dental ceramic. J. Mater. Res. 34, 555–562. https://doi.org/10.1557/JMR.2018.464 (2019).
Yang, R., Zhang, Q., Xiao, P., Wang, J. & Bai, Y. Two opposite size effects of hardness at real nano-scale and their distinct origins. Sci. Rep. 7, 16053. https://doi.org/10.1038/s41598-017-14734-w (2017).
Luo, J. M., Dai, C. Y., Shen, Y. G. & Mao, W. G. Elasto-plastic characteristics and mechanical properties of as-sprayed 8mol% yttria-stabilized zirconia coating under nano-scales measured by nanoindentation. Appl. Surf. Sci. 309, 271–277. https://doi.org/10.1016/j.apsusc.2014.05.026 (2014).
Feng, G. & Nix, W. D. Indentation size effect in MgO. Scripta Mater. 51, 599–603. https://doi.org/10.1016/j.scriptamat.2004.05.034 (2004).
Durst, K., Backes, B. & Göken, M. Indentation size effect in metallic materials: correcting for the size of the plastic zone. Scripta Mater. 52, 1093–1097. https://doi.org/10.1016/j.scriptamat.2005.02.009 (2005).
Huang, Y. et al. A model of size effects in nano-indentation. J. Mech. Phys. Solids. 54, 1668–1686. https://doi.org/10.1016/j.jmps.2006.02.002 (2006).
Haušild, P. On the breakdown of the Nix-Gao model for indentation size effect. Phil. Mag. 101, 420–434. https://doi.org/10.1080/14786435.2020.1841916 (2021).
Abu Al-Rub, R. K. Prediction of micro and nanoindentation size effect from conical or pyramidal indentation. Mech. Mater. 39, 787–802. https://doi.org/10.1016/j.mechmat.2007.02.001 (2007).
Qiu, X., Huang, Y., Nix, W. D., Hwang, K. C. & Gao, H. Effect of intrinsic lattice resistance in strain gradient plasticity. Acta Mater. 49, 3949–3958. https://doi.org/10.1016/S1359-6454(01)00299-3 (2001).
Yuan, H. & Chen, J. Identification of the intrinsic material length in gradient plasticity theory from micro-indentation tests. Int. J. Solids Struct. 38, 8171–8187. https://doi.org/10.1016/S0020-7683(01)00121-4 (2001).
Liu, W. et al. Model of nanoindentation size effect incorporating the role of elastic deformation. J. Mech. Phys. Solids. 126, 245–255. https://doi.org/10.1016/J.JMPS.2019.02.015 (2019).
Liu, K. et al. Revealing the hardening mechanisms of ion-irradiated nanostructured multilayers/substrate systems: A theoretical model. Int. J. Plast. 138, 102925. https://doi.org/10.1016/j.ijplas.2020.102925 (2021).
Muthupandi, G. et al. Pile-up and sink-in nanoindentation behaviors in alcocrfeni multi-phase high entropy alloy. Mater. Sci. Engineering: A. 696, 146–154. https://doi.org/10.1016/j.msea.2017.04.045 (2017).
Postma, B., Patel, R. & Xie, K. Achieving more accurate microindentation hardness measurements of shale rocks – Insight into the effect of sink-in and pile-up. Geoenergy Sci. Eng. 243, 213383. https://doi.org/10.1016/j.geoen.2024.213383 (2024).
Kværndrup, F. B. et al. Area determination with pile-up and sink-in in nanoindentation of oxygen containing titanium. Mater. Today Commun. 30, 103218. https://doi.org/10.1016/j.mtcomm.2022.103218 (2022).
Mattucci, M. A., Cherubin, I., Changizian, P., Skippon, T. & Daymond, M. R. Indentation size effect, geometrically necessary dislocations and pile-up effects in hardness testing of irradiated nickel. Acta Mater. 207, 116702. https://doi.org/10.1016/j.actamat.2021.116702 (2021).
Lee, Y., Hahn, J., Nahm, S., Jang, J. & Kwon, D. Investigations on indentation size effects using a pile-up corrected hardness. J. Phys. D. 41, 074027. https://doi.org/10.1088/0022-3727/41/7/074027 (2008).
Zhang, C. & Voyiadjis, G. Z. Rate-dependent size effects and material length scales in nanoindentation near the grain boundary for a bicrystal FCC metal. Mater. Sci. Engineering: A. 659, 55–62. https://doi.org/10.1016/j.msea.2016.02.033 (2016).
Voyiadjis, G. Z., Znemah, A., Wood, R., Gunputh, P., Zhang, C. & U. & Effect of element wall thickness on the homogeneity and isotropy of hardness in SLM IN718 using nanoindentation. Mech. Res. Commun. 114, 103568. https://doi.org/10.1016/j.mechrescom.2020.103568 (2021).
Xiao, X. et al. The depth dependent hardness of bicrystals with dislocation transmission through grain boundaries: A theoretical model. Int. J. Plast. 90, 212–230. https://doi.org/10.1016/j.ijplas.2017.01.007 (2017).
Acknowledgements
The authors gratefully acknowledge funding from the Xi’an Science and technology plan project (Grant No. J201802033).
Author information
Authors and Affiliations
Contributions
Author contributionsPeina Wanga: Writing-original draft, Investigation, Validation, Conceptualization. Qi Pan: Software, Data curation, Project administration.
Corresponding author
Ethics declarations
Competing interests
The authors declare no competing interests.
Additional information
Publisher’s note
Springer Nature remains neutral with regard to jurisdictional claims in published maps and institutional affiliations.
Rights and permissions
Open Access This article is licensed under a Creative Commons Attribution-NonCommercial-NoDerivatives 4.0 International License, which permits any non-commercial use, sharing, distribution and reproduction in any medium or format, as long as you give appropriate credit to the original author(s) and the source, provide a link to the Creative Commons licence, and indicate if you modified the licensed material. You do not have permission under this licence to share adapted material derived from this article or parts of it. The images or other third party material in this article are included in the article’s Creative Commons licence, unless indicated otherwise in a credit line to the material. If material is not included in the article’s Creative Commons licence and your intended use is not permitted by statutory regulation or exceeds the permitted use, you will need to obtain permission directly from the copyright holder. To view a copy of this licence, visit http://creativecommons.org/licenses/by-nc-nd/4.0/.
About this article
Cite this article
Wang, P., Pan, Q. On the novel finding of two modified-Nix-Gao models for indentation size effect. Sci Rep 15, 8516 (2025). https://doi.org/10.1038/s41598-025-92923-8
Received:
Accepted:
Published:
Version of record:
DOI: https://doi.org/10.1038/s41598-025-92923-8
Keywords
This article is cited by
-
An improved NG-F model for capturing the three types of indentation size effect
Scientific Reports (2025)







