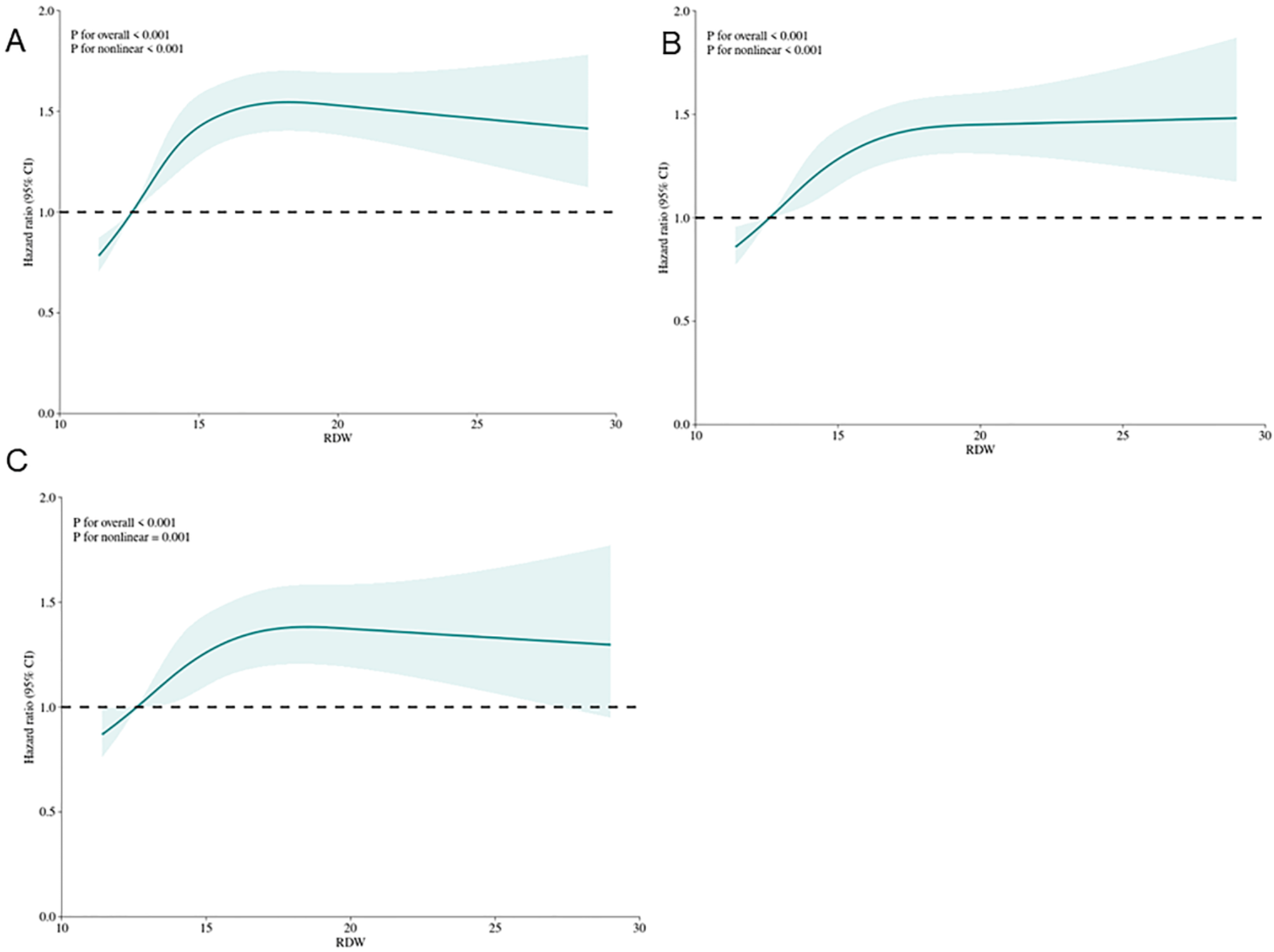
Fig. 5

RCS analysis of RDW and sepsis risk A. RCS curve analysis based on Model (1) B. RCS curve analysis based on Model (2) C. RCS curve analysis based on Model 3.

RCS analysis of RDW and sepsis risk A. RCS curve analysis based on Model (1) B. RCS curve analysis based on Model (2) C. RCS curve analysis based on Model 3.