Fig. 10
From: A prediction method for mining-induced surface cracks in Yushenfu mining area

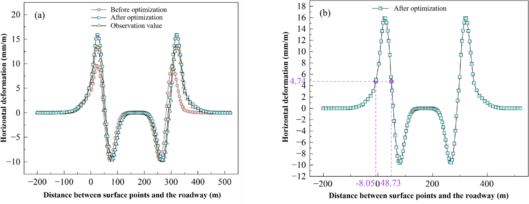
Prediction of surface horizontal deformation values and crack locations.
From: A prediction method for mining-induced surface cracks in Yushenfu mining area

Prediction of surface horizontal deformation values and crack locations.