Fig. 7
From: In vitro enzymatic and cell culture assays for SARS-CoV-2 main protease interaction with ambenonium

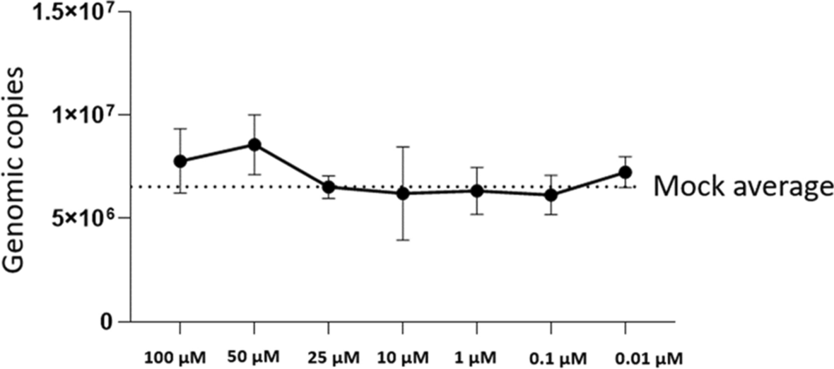
The viral load after quantification by RT-qPCR. Here, it is presented the number of genomic copies after infection of the cells in the presence of different concentrations of ambenonium. The data were subjected to a Kruskal–Wallis test followed by Dunn’s Test using GraphPad Prism version 5.03.