Fig. 5
From: Experimental and numerical study on post-fire self-healing concrete for enhanced durability

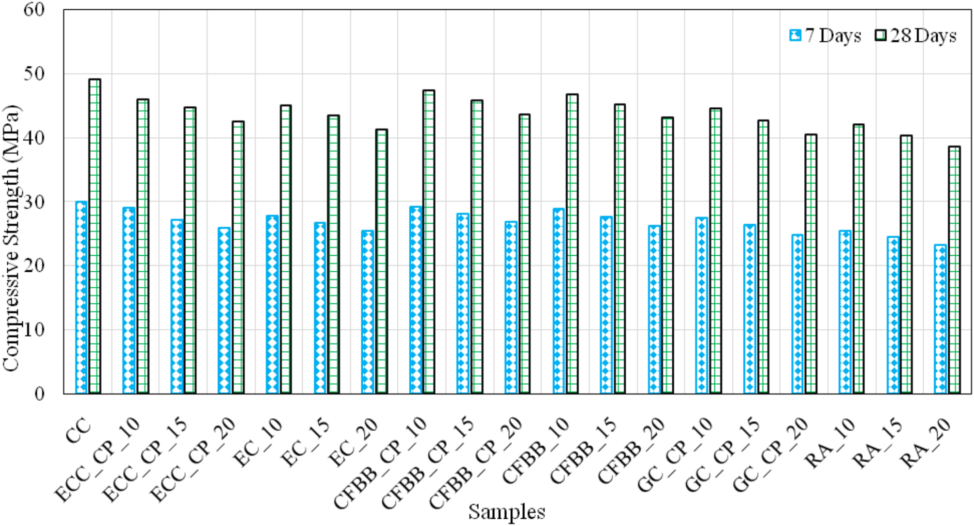
Comparison of compressive strength after 7 days and 28 days.
From: Experimental and numerical study on post-fire self-healing concrete for enhanced durability

Comparison of compressive strength after 7 days and 28 days.