Fig. 7
From: Experimental and numerical study on post-fire self-healing concrete for enhanced durability


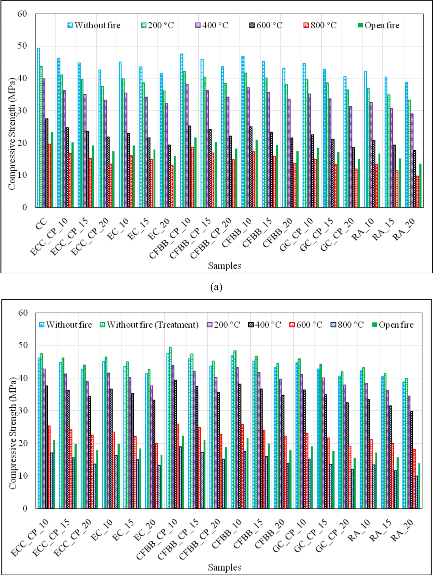
Comparison of compressive strength for (a) without treated samples, (b) treated samples, (c) self-healed samples and (d) treated and self-healed samples.