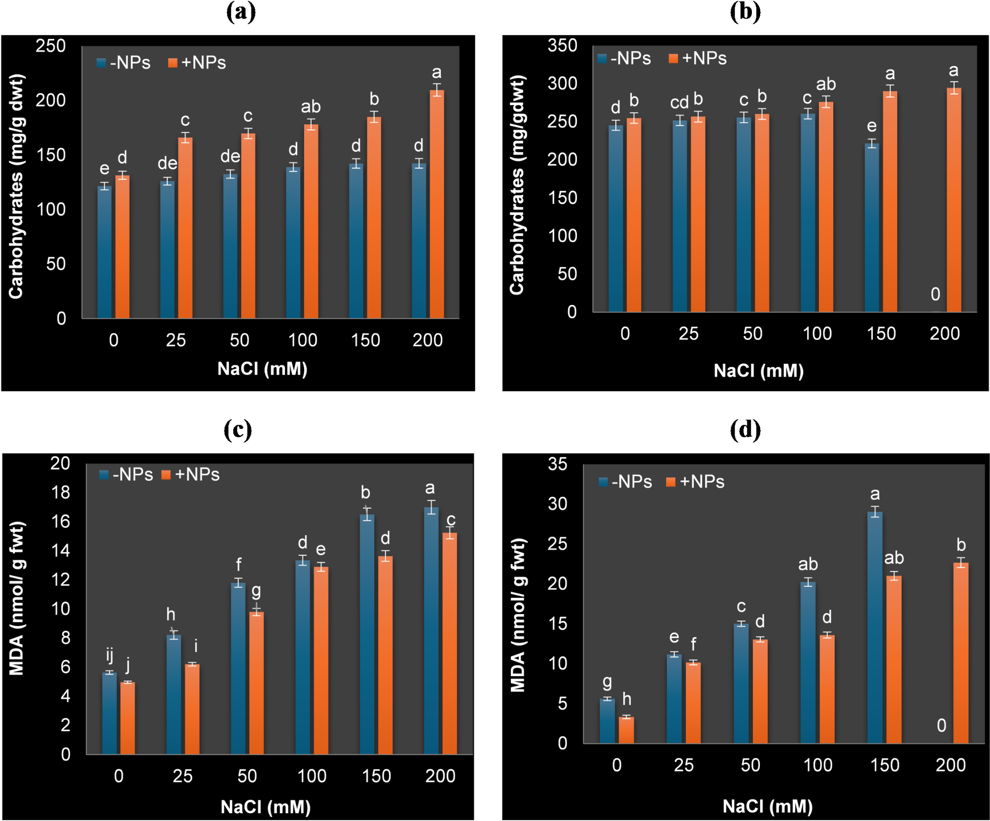
Fig. 3

Total soluble carbohydrates (mg/g dwt) and malondialdehyde content (MDA; nmol/g fwt) of soybean plants grown under different NaCl concentrations and sprayed with or without nTiO2 after 15 days (a,c) and 30 days (b,d) of salt application. *Data represent means ± standard errors (error bars) of three biological replicates. Different letters above columns indicate significant difference (p < 0·05), according to a Duncan multiple range test.