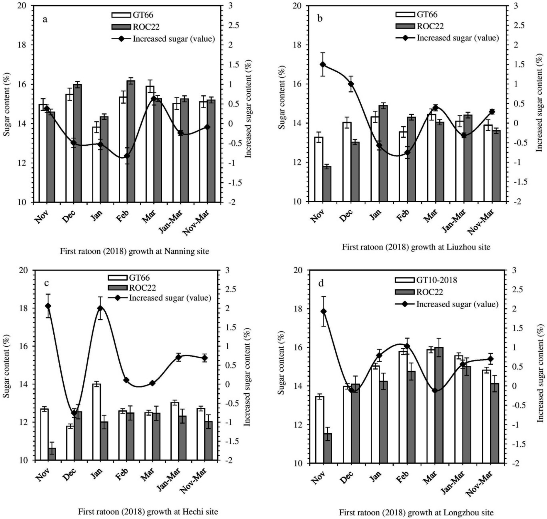
Fig. 5
From: Breeding and regional production capacity performance of new sugarcane cultivar GT 66

Impact of sucrose content during first ratoon crop season at different demonstration research stations, i.e., Nanning (a), Liuzhou (b), Hechi (c) and Longzhou (d).