Abstract
The mechanization in sugarcane cultivation is required to improve the performance of sugarcane production capacity in China. The mechanization process is very substantial because it can enhance the production of agricultural land. There is an urgent need to breed advance sugarcane cultivars for mechanization process. In this article, cross-breeding was carried out using YT01-23 (female parent) and ROC22 (male parent) cultivars, and "five nursery system" was applied. The new sugarcane cultivar Guitang 10-2018 (GT10-2018) was comprehensively assessed through regional demonstrations in the Guangxi province, China. Morphological and production responses of Guitang 66 (GT66) cultivar were observed. It concluded that GT66 is a medium to medium-large stem cultivar with early maturity, better ratoon, stress tolerance, and mechanization-friendly approaches. The average yield of ratoons planted in the first and second (2018 and 2019) year was found about 86,537 kg/ha. The production capacity enhanced at 11.37% compared to ROC22 cultivar. The average sucrose content was found 14.35% in November–December, and 15.10% in the month of March. The average sucrose content was found optimum in GT66 than ROC22. The yield of newly planted sugarcane was 86,717 kg/ha lower than ROC22 (0.64%) in the first year. The average sugar content was found 11,619 kg/ha lower than ROC22. The average ratoon yield was 87,196 and 86,447 kg/ha, enhanced 11.58 and 26.62% compared to ROC22 in 2018 and 2019 cropping season. The average sugar content was 11,574 and 14,588 kg/ha (increase 5.42 and 26.98%). The average sugarcane fibre content was 12.18%, which is 0.08% lower than ROC22. The growth, development and production performance of GT66 was more significant during the regional field demonstrations, and it has strong production capacity. The current sugarcane production and cultivation strategies are suitable for sugarcane plantation sustainable development in Guangxi province, China.
Similar content being viewed by others
Introduction
The sugarcane industry is one of the major agroindustries in China. It plays a major role to the Chinese economy via sugar exports and generates employment for Chinese rural farmers for cultivation and harvesting of sugarcane. Guangxi province has the largest farming land and production of sugarcane in China. Nowadays, Guangxi fully mechanized production of sugarcane has achieved rapidly, but the application adaptation frequency is still limited. It has different production approaches. The harvest of raw sugarcane is mainly based on the manual harvesting. The machine yield has been hovering around 5%, with low efficiency and high cost. Mechanization is a must to overcome the problem of labor scarcity and achieve sugarcane planting targets. Mechanization is also substantial because it will simplify the processing process and higher efficiency. Through mechanization in the plantation, the farm competitiveness and the sugarcane areas development will enhance in years to come1,2,3,4.
The climatic and topographic factors are major factors limiting the development of mechanization. The low integration of sugarcane seeds and applications with mechanized operation technologies are major factor to the production1,2. Nowadays, during mechanized production model, the technical problems that arise to low plant growth rate, difficult in jointing, poor lodging resistance, low uniformity, severe shortage of effective stems, limited seedlings after crushing of sugarcane stalks are closely associated to the varietal characteristics5,6,7,8. The varietal traits need to be closely associated with the technical requirements of the mechanical operations to enhance the mechanization efficiency9. Sugarcane cultivars are more suitable for fully mechanized operations, such as Guitang 42 (GT42), Guitang 44 (GT44), Guitang 47 (GT47), Guitang 29 (GT29), Yuetang 94–128 (YT94-128), etc. These cultivars have strong ratoon and tillers capacity. The ability to maintain optimum yield under the full mechanized operation mode, but there are some challenges, i.e., GT42, which has high sugar content and severe lodging resistant10, but low smut resistance capacity. GT44 cultivar has high sugar content, strong ratoon, and lodging resistance ability11, mild drought tolerance efficiency, and buds are hypertrophied and easy to germinate. GT47 has high sugar content and strong ratoon ability. Optimum strength, strong resistance to lodging, and resistance to mechanical crushing12,13.
Guitang 29 cultivar has mild water stress resistance capacity and high sugar content, strong ratoon ability, and effective stem growth and development14. The stem diameter at the base is smaller than the upper part, and easy to cause lodging and the stem nodes are easy to break. YT94-128 has strong ratoon ability, optimum yield productivity, high uniformity, and better drought tolerance efficiency15,16, and low sucrose content. The single cultivar cannot meet all production requirements. It is necessary to select and breed different new sugarcane cultivars that meet the required fully mechanized sugarcane production. In this context, based on the current status and requirement of sugarcane production, this breeding program proposed to combine sugarcane ratoon performance, bud morphology, drought resistance efficiency, lodging-smut resistance, and raw materials under the basic characteristics of optimum yield and sugar content. The ability to tolerate sucrose transformation is a major factor for cultivar selection. The selection of early-maturing, high-yielding, high-sugar, and lodging-resistant cultivars as the female parent, and select early-maturing, high-sugar, optimum germination rate, better tillering and rationing efficiency, effective stems, and slow sugar recovery after cutting as the male parent to develop a hybrid parent combination for selection. This article demonstrated the breeding research trials to the development of new advanced sugarcane cultivars with significant advantages, such as early maturity and high sugar content, optimum germination rate, better ratoon ability, resistance to lodging and smut, providing for fully mechanized sugarcane production and consequently sustainability of sugarcane harvesting for socioeconomic development.
Material and methods
Parent combination
YT01-23 (YT85-177 × ROC20) × ROC26 (71–296 × ROC11).
Traits of the female parent
Early to medium maturity, medium to medium-large stems, fast and sharp budding, high stem development rate, steady growth throughout the growth period, no water cracks, no aerial roots, and senescence leaves fall off easily.
Traits of the male parent
Early maturity, high sugar yield, optimum germination rate, slightly slow growth rate in the early stage, fast growth in the developing stage, significant tillering ability, medium and large stems, heavy single stem, sufficient cane juice, medium ratoon, mild drought resistance capacity, limited leaves, suitable for machine harvesting, resistant to diuron, atrazine, and other herbicides, easy to flower, resistant to rot after cutting, resistant to rust and smut, leaf blight and mosaic diseases.
Genetic pedigree layout

Parental pedigree of sugarcane Guitang 66 cultivar (GT66).
Plant breeding methodology
-
In December 2009, a hybrid combination was prepared by Yuetang 01–23 as the female parent and ROC26 as the male parent. Sugarcane hybrid seed production was demonstrated at the Hainan Sugarcane Breeding Station, China and hybrid flower spike was provided by the institute.
-
From February to April 2010, hybrid seeds were sown and cultivated under greenhouse conditions at 20–35 °C (60–100% ambient air humidity), applied autoclaved soil as the substrate.
-
On April 9, 2010, seedlings with more than 3 leaves were planted in the seedling tray.
-
After 30–40 days, seedlings transplanted in the field with row spacing of 120 cm and plant spacing of 30 cm. A total of 336 seedlings were transplanted.
-
The preliminary selection of the hybrid nursery was conducted from November 10 to 20, 2010, and the final selection was held from January 15 to 25, 2011. A total of 12 individual plants were selected from this combination, with a selection rate of 3.57%.
-
Twelve individual plants were planted in the seed selection nursery from February 8 to 11, 2011, and the selection nursery was screened from December 2 to 10, 2011. This combination was selected in total 2 single plants, the selection rate was 16.67%.
-
Two selected individual plants were planted in the appraisal garden from February 21 to 25, 2012, and screened in the appraisal garden from January 7 to 10, 2013. A total of 1 single plant was selected from this combination, and the selection number was determined to be Guitang 10-2018 (GT10-2018).
-
Guitang 10-2018 was planted in the preliminary material comparison garden from February 5 to 7, 2013, and the production traits were compared with the standard variety ROC22.
-
Guitang 10-2018 was planted from March 2 to 5, 2014, and observations were monitored throughout the year. In January 2014, harvest and yield analysis were conducted. During this period (November–March), different parameters were observed, such as plant length, stem diameter, stem number, smut, tip rot, sucrose content, cane yield, ratoon and other parameters were assessed. After screening, it is recommended for 2017–2019 during regional demonstrations of new sugarcane cultivar in Guangxi, China.
-
During 2017–2019, the regional trials of new sugarcane cultivar in Guangxi, the field trials conducted as a one-year new planting and two-year ratoon trial cycle.
-
The production characteristics of this cultivar were better than the standard variety in the regional trial of a new sugarcane cultivar in Guangxi province, China. It was officially released (2020) and named as Guitang 66 (GT66) cultivar.
This cultivar has a medium to medium-large stem, with a solid middle and middle-lower part, a small core at the tip, a conical stem, latent yellow when not exposed to light, and light purple after exposure. Soft stem epidermis and medium internode length were found. Buds shape are medium with narrow bud wings, flat leaf marks at the bud base, unobvious bud furrows, and medium root bandwidth, light yellow-green growth zone, narrow blade width and medium length, medium sheath length, small and short hair groups, easy to fall off and not easy to defoliate (Fig. 1).
Experimental design
The regional trials were carried out as a randomized block design (RBD). The use of plants in the present study was applied according to the international, national and/or institutional guidelines. Set up a 5-row area, with a row length of 7 m, row spacing of 1.2 m, plot area 42 m2, three biological repetitions (n = 3), and 3 protection rows on the side row.
Preliminary investigation was observed as seedling emergence, tillering, dieback, and smut rate. Mid-term survey of shoot rots rate and lodging rating. Sampling and analysis of sugarcane characteristics, such as sugar content, fibre content, juice volume, sucrose content in juice, sugarcane juice purity and reducing sugar content. Before harvesting, the plant length, stem diameter, number of effective stems and booting flowering status were observed. The mature stalk of sugarcane productivity was observed at the final harvesting stage.
Data observation and statistical analysis
The sucrose content was analyzed by the GB/T10499-1989 method.
The experimental data were analyzed statistically using the Excel 2003 program.
Results
Response of agronomic traits on sugarcane cultivar in different regions of Guangxi province
During 2017, 2018 and 2019, the agronomic parameters and related analysis were observed on test materials from different field locations, such as Nanning, Liuzhou, Hechi, Baise, Longzhou and Laibin. The results showed that the emergence rate of GT66 and ROC22 were low and less than 50%, slightly higher than the latter. It may be related to the dry weather encountered during planting (2017). The plant growth rate and tillering rate of GT66 were significantly better than ROC22. The plant growth rate increased (120%) and after reduced (95.2%). In terms of diseases and insect pests, GT66 plant growth rate, smut rate, and tip rot rate was lower than ROC22, and the plant height and stem diameter downregulated than ROC22. The defoliation rate of the GT66 cultivar is extremely low (1.1%), which is lower than ROC22, and difficult to defoliate. The effective stem of GT66 increases growth, while that ROC22 reduces year by year (Table 1).
Impact of sugarcane production on different cropping seasons
The yield of the sugarcane was measured in the different crushing seasons (2017–2019). The test results showed that the average yield of new plants of GT66 was lower (5.85%) than ROC22 cultivar, and the average yield of one-year and two-year ratoons was 7.49 and 14.51% higher than ROC22 at the demonstration area of Nanning. The average yield of new plants (2017), one-year (2018) and two-year (2019) ratoons at the Laibin trial station increases 12.81, 17.29, and 29.0%, respectively. The average yield of new plants (2017) at the Liuzhou research station decreased by 4.94% compared to ROC22, and the average yield of both ratoon years (2018 & 2019) increased by 2.61 and 7.35%, respectively compared with ROC22 cultivar. The average yield of new plantings, one and two-year ratoons increases by 4.89, 27.77 and 68.27%, respectively. The average yield of new planting at the Baise demonstration area decreased by 2.47% compared with ROC22, and the average yield of both ratoon years was observed higher than ROC22. ROC22 increased the production of 4.22 and 33.64%, the average yield of new plants at Longzhou planting area reduced 7.81% compared to ROC22. The average yield increased up to 17.41 and 10.97% in both ratoon cropping seasons compared to ROC22. After the average of different demonstration locations, the average yield of GT66 new plants reduced by 0.64% compared to ROC22, and the average yield of ratoon years increased by 12.94 and 25.16%, respectively. It can be seen that the yield advantage of new planting of GT66 is not obvious, while the yield of ratoon is more significant than ROC22 (Fig. 2 and Table 2).
The impact of sucrose content on new planting and two years ratoon cropping seasons
The analytical results showed that the sucrose content of GT66 in November 2017, 2018 and 2019 was significantly higher than ROC22 cultivar. In 2018, ratoon had the highest sugar content, with an increase of 1.39%. The sucrose content increased gradually in December and January of the following year, and the other months were gradually normal. The sucrose content of both reached the highest value in February. At this time, the sucrose content of ROC22 exceeded that GT66. An average of the three-year results showed that the GT66 from January to March of the following year is slightly lower than ROC22, and GT66 from November to March of the following year is slightly higher than ROC22 (Fig. 3a-d).
Performance of sucrose content in different regions during new planting
In 2017, saccharification experiments were conducted on newly planted cane in different test sites, such as Nanning, Hechi and Longzhou. The test results showed that the sucrose content of newly planted cane of GT66 in Nanning was slightly lower than ROC22 from November to March of the following year. December was the lowest value (-1.44%), and the overall five-month average was 0.54% lower. At Hechi and Longzhou sites showed early maturity and high sugar characteristics. Except for negative values in February and March, respectively in the Hechi and Longzhou areas, all other months were higher than ROC22. The difference in sucrose content in November, the Hechi site was higher (1.82%) and Longzhou (1.44%) than ROC22. The overall average of GT66 was found higher at Hechi (0.90%) and Longzhou (0.44%) site than ROC22. It can be seen that the sucrose content of newly planted GT66 in different sugarcane growing areas shows more differences (Fig. 4a-c).
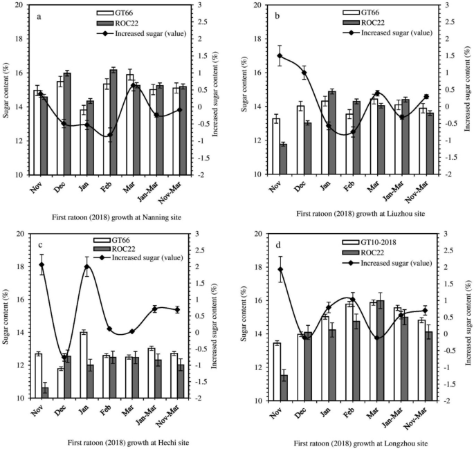
Sucrose content in different regions during first ratoon crop growth
In 2018, saccharification experiments were conducted on one-year ratoon at Nanning, Liuzhou, Hechi, and Longzhou sites. The research findings showed that the sucrose content of GT66 at different experimental sites in November was higher than ROC22. The more difference was at Hechi (2.06%), and the lowest difference was noticed at the Nanning site (0.38%). It has obvious early-maturing and high-sugar content. There were different differences in different sugarcane cultivating areas in December. The sugar content of Liuzhou was found higher than ROC22, and the other sites were lower than ROC22. In January of the following year, sucrose content enhanced, i.e., Hechi and Longzhou, while the Nanning and Liuzhou locations were lower than ROC22 (Fig. 5a–d). The response of sucrose content in February was similar to January. The difference in sucrose content between the two varieties was less in January. The average from January to March, sucrose content was higher at Hechi and Longzhou, the average from November to March was slightly lower in Nanning, and other experimental locations were higher than standard variety, among which Hechi has the highest (0.71%).
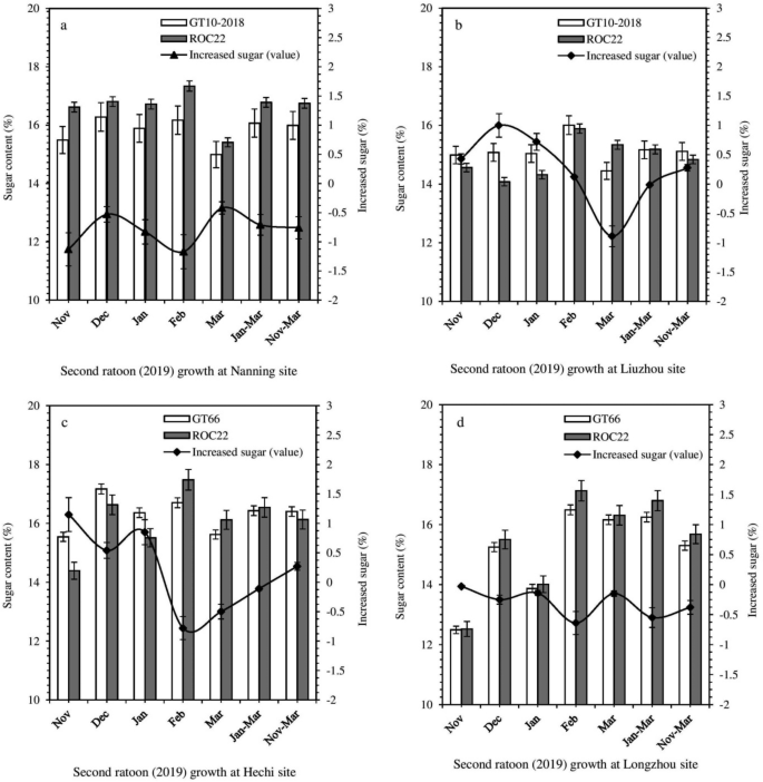
Impact of sucrose content in different regions during the second year of sugarcane ratoon growth season
During 2019, saccharification experiments were conducted on two-year ratoon growth season at Nanning, Liuzhou, Hechi, and Longzhou demonstration sites. The test results showed that the different sites in November, the sucrose content of GT66 was higher than ROC22 at Liuzhou and Hechi research stations. Among them, the Hechi site had more difference (1.15%), and Nanning was lower (1.13%) than ROC22. In December, the characteristics variations were similar to November. The sugar content of GT66 in Liuzhou and Hechi sites was higher than ROC22, with Liuzhou having more difference (1%). Nanning and Hechi locations were lower than ROC22. The performance of sucrose content in January and December of the following year was similar. In February of the following year, the sucrose content of GT66 at Hechi was higher than ROC22, only Liuzhou site slightly increased. In March of the following year, sucrose content of GT66 was lower than ROC22. The average sucrose content of GT66 in the different locations was found lower than the ROC22 during January to March. The average sucrose content from November to March was found higher than ROC22 at the Liuzhou, Hechi, Nanning and Longzhou sites. The sucrose content was found lower than ROC22 (Fig. 6a–d).
Fiber content
New sugarcane was planted (2017) at three demonstration sites, i.e., Nanning, Hechi, and Longzhou. The test results showed that the fibre content of GT66 and ROC22 in 2017 was higher than 2018 and 2019, which may be related to the dry climatic factors at different cane growing areas. In the newly planted sugarcane, the fibre content gradually increased with the extension of the growth cycle, especially in March of the following year, reaching the highest value, after averaging from January to March and November to March, the fibre content of GT66 was slightly lower than ROC22. In January and February of 2018, the fibre content of GT66 was higher than ROC22. After averaging from January to March and November to March, the fibre content of GT66 was slightly higher than ROC22. The fibre content of GT66 from November to March of the following year was lower than ROC22, and the average values from January to March and November to March were less than 0.5%. It can be seen that the fibre distribution of GT66 is lower than ROC22 in the second year (2019) of ratoon growth season (Fig. 7a–c).
Discussion
The machine-friendly performance of sugarcane varieties are the basis for realizing the full mechanization of sugarcane production17,18. In sugarcane production, the varietal characteristics need to be integrated with the operating machinery to exert its optimal production capacity19,20. Mechanical operations have an impact on the entire sugarcane field management process21. During the planting stage, drought and lodging resistance determine the planting depth of sugarcane, volume, line spacing selection, bud shape and defoliation depends on the handling ability of sugarcane seeds, and tillering ability based on sugarcane seeding16,22,23.
Compared with ROC22, GT66 has weak defoliation ability, and the senescence leaves are more difficult to fall off at the sugarcane maturity stage. The defoliation rate is close to 0. This characteristic will increase the difficulty of defoliation in the manual harvesting mode but has a greater impact in the mechanical harvesting mode. Small cane leaves tightly wrap the cane stems throughout the growing period, which can better protect the cane buds from mechanical damage and facilitate the transportation of seed stems during mechanical operations. The plant development capacity and tillering rate were higher (124.7 and 107.7%), respectively. The tillering rate is based on the ratoon yield and development. In sugarcane fields, the efficient and cost-effective utilization of machinery relies on matching crop varieties and agronomic practices24.
The high tillering rate can reduce mechanical damage during mechanical operations, such as rolling, cutting, breaking heads, etc. The high tillering rate can effectively compensate for the shortcomings of ratoons and determine the ratoon yield. During the mechanized harvesting stage, the fibre content of GT66 is slightly lower, which is more conducive to mechanized cutting operations, effectively reducing the head breakage rate and improving the quality of raw sugarcane. The ratio of ratoon yield decreases significantly. It is lower than the standard variety, and the ratoon yield is significantly higher than newly planted sugarcane, indicating better stable yield performance. Compared with ROC22, GT66 agronomic characteristics are more closely associated with the requirements of mechanized operations, and it has stronger machine-friendly performance.
The improvement of mechanization has a significant impact on, or even a more enhancement to, the scale of sugarcane production and the development of its associated industries around the globe. The mechanization of sugarcane production is a key focus and a challenging aspect of improving the quality and capacity of the cane industries25. In sugarcane growing fields, the efficient and cost-effective utilization of machinery relies on matching crop varieties and agronomic strategies. To initiate the mechanization of Chinese sugarcane production to promote the better and rapid development of the sugarcane industries24,26.
Conclusions and future recommendations
After three-year research demonstrations in newly planted (2017) and both ratoon cropping seasons (2018 & 2019), the results showed that the various agronomic traits of this cultivar are better than ROC22, especially in terms of ratoon emergence and effective stems, which are significantly better than ROC22, although the yield of newly planted sugarcane slightly lower than ROC22, but the ratoon sugarcane yield significantly increased, which shows that this cultivar has strong ratoon ability. Sugar content in different regions has different ability. The sugar content of the Nanning site was lower than ROC22, while Liuzhou, Hechi and Longzhou growing areas energy performed better, obviously higher than ROC22. In November and December, the sucrose content is higher than ROC22, and the gap gradually narrows in January, February, and March of the following year. It can be seen that this cultivar is an early maturity, stable yield, strong ratoon resistance, and high black resistance. The characteristics of ear disease resistance, drought and barren tolerance, and strong machine performance ability were found.
Key points of cultivation
-
The major sugarcane areas in Guangxi are suitable for cultivation. Chongzuo, Baise, Hechi and other sugarcane areas have suitable for planting and optimum crop production.
-
The planting amount in sugarcane areas in central and southwestern Guangxi is controlled at 74,963–89,955 buds/ha. The planting in northern Guangxi sugarcane area is controlled at 6,000–7,000 buds/acre, and the planting amount in coastal sugarcane areas with sufficient sunlight controlled at 52,474–67,466 buds/ha.
-
Conventional field seeds can be saved for 3 to 4 weeks during the low temperature period in winter, and 2 to 3 weeks during the temperature recovery period in spring season. Planting should be done as soon as possible after cutting to ensure the freshness of sugarcane seeds.
-
This cultivar has weak defoliation ability, the leaf sheaths are tightly wrapped around the cane stems, and cane buds are well protected. Cane seeds can be saved throughout the year, and half-year cane or half-stem seeds are best.
-
This cultivar is suitable for mechanized operations, and the recommended for planting row spacing 1.2 ~ 1.4 m.
-
It is recommended to plough deeply and plant deeply, with a ploughing depth of 40–50 cm and a planting depth of 30–40 cm.
-
The recommended soil cultivation height is upto 20–40 cm.
-
Apply more potassium fertilizer or use compound fertilizer or compound fertilizer with higher potassium content. It is not advisable to excessively apply nitrogen fertilizer.
-
This cultivar is not sensitive to pre-emergent sealing and post-emergent herbicides commonly used in production, and is not prone to phytotoxicity when used at the dosage and applications guided by the instructions.
Data availability
The datasets used and/or analyzed during the current study available from the corresponding author on reasonable request.
References
Li, Y. et al. Effects of mechanical harvesting on harvest quality of different sugarcane varieties and ratoon cane growth. J. Southwest Agric. 33(8), 1645–1652 (2020).
Lu, H. & Wu, T. Thoughts on the development status of sugarcane mechanized harvesting in Guangxi. Sugarcane Sugar Ind 52(4), 53–59 (2023).
Luo, X. Analysis of the development status of sugarcane mechanization in my country. Agric. Mach. Quality Supervision 1, 40–41 (2024).
Fatah, G. S. A., Verona, L. & Nugraheni, S. D. The analysis of labor efficiency on sugarcane cultivation through mechanization application. IOP Conf. Ser.: Earth Environ. Sci. 974, 012127. https://doi.org/10.1088/1755-1315/974/1/012127 (2022).
Chen, C. J. et al. Effects of mechanical harvesting on sugarcane stubble quality and growth of ratoon. Asian Agric. Res. 4(06), 1–5. https://doi.org/10.22004/ag.econ.139578 (2012).
Liang, Q. et al. Effects of different harvesting methods on soil bulk density and sugarcane ratoon emergence in sugarcane fields. J. Southern Agric. 45(7), 1221–1224 (2014).
Li, Y. et al. Effects of soil compaction on ratoon sugarcane emergence and root system formation. J. Southwest Agric. 30(9), 2041–2047 (2017).
Liu, X. Y. et al. Effects of mechanical harvesting and compaction on ratoon sugarcane yield, root growth and endogenous hormone content. J. Tropical Crops 44(10), 2025–2033 (2023).
Bachmann Schogor, A. L. et al. Losses in sugarcane submitted to different harvesting methods. Braz. J. Anim. Sci. 38, 1443–1450 (2009).
Wang, L. W. et al. Breeding of Guitang 42, a new sugarcane variety with high yield and high sugar suitable for mechanized production. Agric. Sci. Technol. 17(3), 609–614 (2016).
Lu, T., Yu, F. L., Li, B. Y., Li, T. H. & Lei, C. H. Research on screening of sugarcane varieties suitable for mechanized production in southern Guangxi sugarcane area. Sugarcane Sugar Ind 50(2), 43–48 (2021).
Wang, L. W. et al. Effect and analysis of mechanized production on the ratoon capacity of Guitang No. 47. J. Southwest Agric. 32(9), 2163–2166 (2019).
Li, Z., Li, S., Lin, Z. & Zhang, H. Effects of mechanical differences in sugarcane on the quality of mechanical harvesting. Int. Agrophys. 37(1), 27–40. https://doi.org/10.31545/intagr/156026 (2023).
Duan, W. et al. Effect of mechanical harvesting on ratoon yield of Guitang No. 29. Guangxi Sugar Ind 1, 18–20 (2018).
Liu, F., Deng, H. H., Yang, J. X., Pan, F. Y. & Wu, W. Characteristic analysis of new early- to medium-maturing sugarcane variety Yuetang 94–128. China Sugar 2, 25–27 (2008).
Li, X. et al. Evaluation of lodging resistance in sugarcane (Saccharum spp. Hybrid) germplasm resources. Appl. Ecol. Environ. Res. 17(3), 6107–6116. https://doi.org/10.15666/aeer/1703_61076116 (2019).
Chen, X. et al. Dynamic analysis and simulation of the cutting system of sugarcane harvester. J. Chin. Agric. Mech. 39, 27–30 (2018).
De Moura Araújo, G. et al. Sugarcane harvesting quality by digital image processing. Sugar Tech 23, 209–218. https://doi.org/10.1007/s12355-020-00867-2 (2021).
Damann, K. Effect of sugarcane cultivar susceptibility on spread of ratoon stunting disease by the mechanical harvester. Plant Dis. 76, 1148–1149 (1992).
Zhang, Y. B., Zhao, P. F., Hu, Z. H. & Que, Y. X. Breeding achievements and development trends of sugarcane varieties in my country in recent years. Chin. Sugar 46(1), 87–92 (2024).
Bahadori, T. & Norris, S. Optimisation of farm management for reducing cane losses during mechanised sugarcane harvesting by using SCHLOT software model. Int. Sugar J. 120, 462–464 (2018).
Hu, D., Zheng, Y. & Zhao, Y. Movement simulation of sugarcane harvester cutter based on ANSYS/LS-DYNA. Proc. Int. Conf. Eng. Sci. Manag. (ESM) 62, 268–271 (2016).
Liu, F., Li, Z., Cai, W. W. & Wu, W. Effects of planting density and depth on sugarcane yield and lodging resistance. J. Trop. Crops 45(2), 330–339 (2024).
Liu, X. et al. Design and experimental research on disc-type seeding device for single-bud sugarcane seeds. Int. J. Agric. Biol. Eng. 16, 115–124. https://doi.org/10.25165/j.ijabe.20231602.6 (2023).
Zhang, H. et al. Sugarcane Mechanization and Agronomy Integration (China Agricultural Press, 2021).
Que, Y., Wu, Q., Zhang, H., Luo, J. & Zhang, Y. Developing new sugarcane varieties suitable for mechanized production in China: Principles, strategies and prospects. Front. Plant Sci. 14, 1337144. https://doi.org/10.3389/fpls.2023.1337144 (2024).
Acknowledgements
The authors would like to thank the Guangxi Academy of Agricultural Sciences, Nanning, Guangxi, China, for providing the necessary facilities for this study.
Funding
This research work was supported by the Guangxi Natural Science Foundation (2023GXNSFAA026459), Guangxi Key R & D Program Project (Guike AB24010140), Guangxi characteristic crop Experimental Station (GTS2022022), National Natural Science Foundation of China for Young Scientists (32201910), Guangxi Natural Science Foundation General Program (2024GXNSFAA999315), the Science and Technology Major Project of Guangxi (Guike AA22117007) and the National Modern Agricultural Industry Technology System Guangxi Sugarcane Innovation Team (gjnytxgxcxtd-03-01).
Author information
Authors and Affiliations
Contributions
Qiang Liang: Conceptualization, Investigation, Methodology, Software, Resources, Writing- original draft, Funding acquisition. Xiao-yan Liu, Hui Zhou, Jing-chao Lei, Shan-hai Lin, Mei-xin, Krishan K. Verma, Kai-jun Wei, Hong-chui Wei, Wen-Jiao Li and Xiu-peng Song: Resources, Software and Writing-review and editing. Yang-rui Li and Yi-jie Li: Supervision, Validation, Funding acquisition, Project administration, Writing—review & editing. All authors approved the final article for publication.
Corresponding authors
Ethics declarations
Competing interests
The authors declare no competing interests.
Consent for publication
All authors included in this study consent to publication.
Ethics approval
Authors did not use any animal or human experimental materials, and are not, therefore, subject to their ethical concerns.
Human and animal rights
The present research did not involve human participants and/or animals.
Additional information
Publisher’s note
Springer Nature remains neutral with regard to jurisdictional claims in published maps and institutional affiliations.
Rights and permissions
Open Access This article is licensed under a Creative Commons Attribution-NonCommercial-NoDerivatives 4.0 International License, which permits any non-commercial use, sharing, distribution and reproduction in any medium or format, as long as you give appropriate credit to the original author(s) and the source, provide a link to the Creative Commons licence, and indicate if you modified the licensed material. You do not have permission under this licence to share adapted material derived from this article or parts of it. The images or other third party material in this article are included in the article’s Creative Commons licence, unless indicated otherwise in a credit line to the material. If material is not included in the article’s Creative Commons licence and your intended use is not permitted by statutory regulation or exceeds the permitted use, you will need to obtain permission directly from the copyright holder. To view a copy of this licence, visit http://creativecommons.org/licenses/by-nc-nd/4.0/.
About this article
Cite this article
Liang, Q., Liu, Xy., Zhou, H. et al. Breeding and regional production capacity performance of new sugarcane cultivar GT 66. Sci Rep 15, 12963 (2025). https://doi.org/10.1038/s41598-025-94458-4
Received:
Accepted:
Published:
Version of record:
DOI: https://doi.org/10.1038/s41598-025-94458-4









