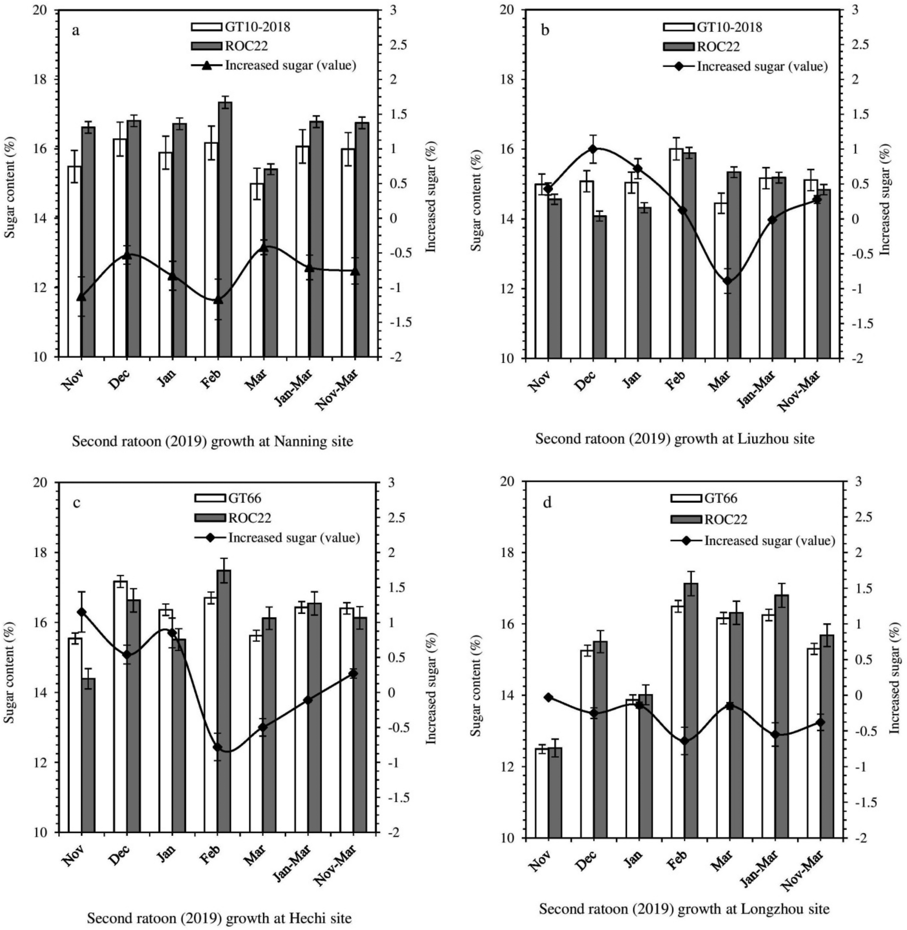
Fig. 6
From: Breeding and regional production capacity performance of new sugarcane cultivar GT 66

Influence of sucrose content at Nanning (a), Liuzhou (b), Hechi (c) and Longzhou (d) during the second year of sugarcane ratoon growth and development.