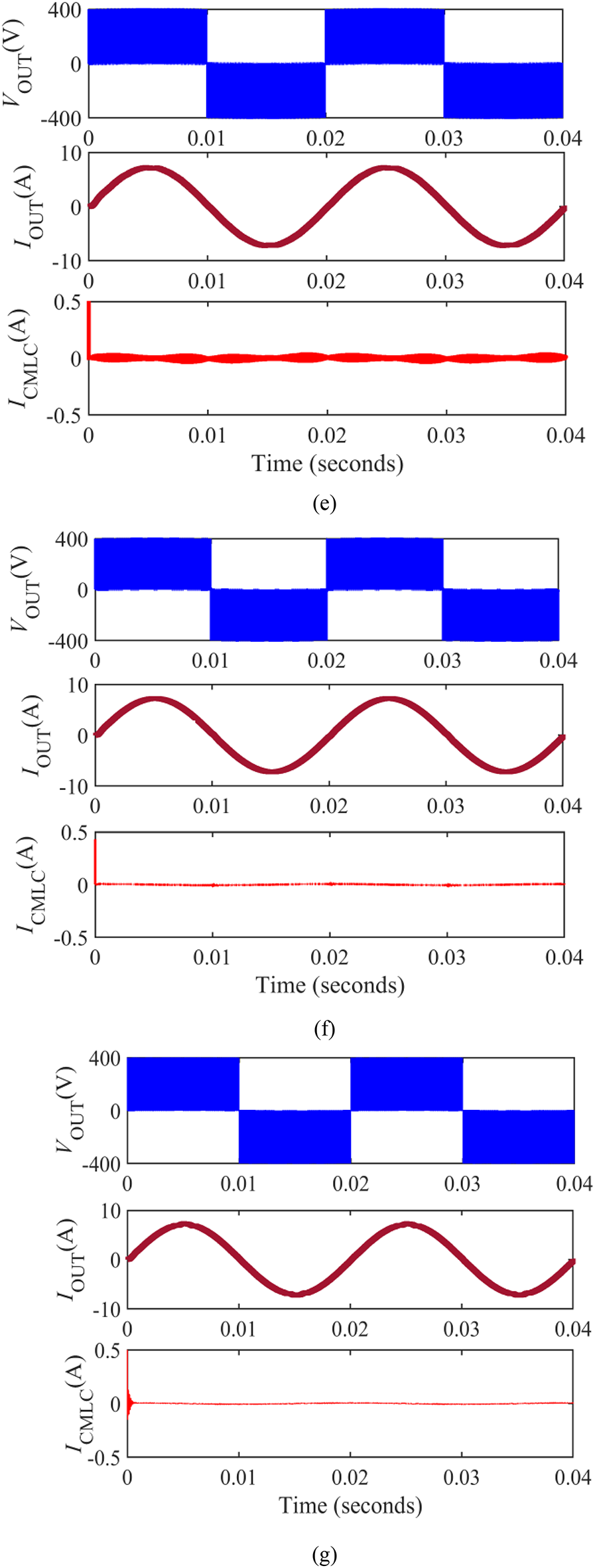
Fig. 4
From: A new H6 neutral point clamped transformerless photo voltaic inverter


The Simulation results of Vout (upper), iout (central) and ileak (lower) for (a) HERIC, (b) HBZVR, (c) HBZVR-D, (d) PN-NPC (e) HBZVSCR, (f) H6-I and (g) proposed H6-D TL-PVI topologies.