Fig. 16
From: A novel network lifetime maximization technique in WSN using energy efficient algorithms

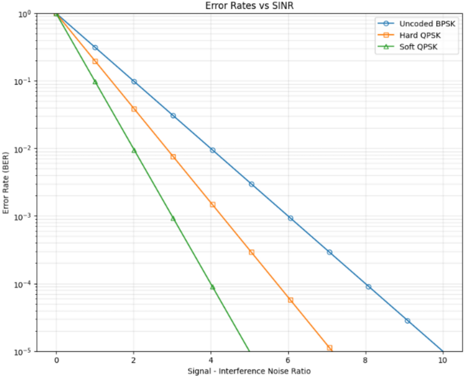
E2EB vs SINR for S = 10.
From: A novel network lifetime maximization technique in WSN using energy efficient algorithms

E2EB vs SINR for S = 10.