Abstract
Recent advances in wireless communication have enabled the development of small, low-cost, wearable sensors, which play a crucial role in applications such as healthcare monitoring, environmental sensing, and industrial automation. However, maximizing network lifetime (NL) and optimizing energy consumption remain key challenges in Wireless Sensor Networks (WSNs). Existing routing algorithms often struggle to balance energy efficiency and service quality, leading to premature network failures. To address this gap, this paper proposes a novel approach that integrates a near-optimal Single Objective Genetic Algorithm (SOGA) and an Advanced Exhaustive Search Algorithm (AESA) to enhance NL in fully connected WSNs. The proposed method optimizes energy-efficient routing by incorporating four quality parameters: proximity ranging, network lifetime, interaction counting, and link effectiveness. By leveraging multi-hop communication and efficient node connectivity, our approach significantly outperforms existing routing protocols in terms of energy conservation and data transmission reliability. A network simulator is utilized to evaluate key performance indicators, including average edge delay, latency, and packet delivery ratio, comparing them against conventional routing protocols such as ad hoc on-demand routing discovery, dynamic source routing, and simplified connection state routing. The findings demonstrate that the proposed method effectively extends NL while maintaining an optimal balance between energy consumption and service quality. This research contributes to the state of the art by providing an advanced energy-efficient routing solution for WSNs, with potential implications for various real-world applications, including smart cities, healthcare monitoring, and industrial IoT deployments.
Similar content being viewed by others
Introduction
Wireless Sensor Networks (WSNs) have been a major breakthrough in recent years, achieving significant advancements in both commercial and research fields worldwide. They have been applied in various domains such as weather tracking, defense, surveillance, and numerous industrial applications. A WSN typically consists of sensors that detect natural or structural environmental events and transmit the collected data to a ground station. WSN routers employ a wide range of protocols to optimize power consumption and maximize network lifespan. Energy efficiency and reliable sensory perception are two of the most critical factors in sensor deployment. The sensors, which are generally compact, possess the capability to accurately observe and analyze information. One of the primary areas of research in WSNs focuses on enhancing overall network capacity, which is considered a crucial challenge. Additionally, a cellular communication system, known as Global System for Mobile Communications (GSM), operates using Time Division Multiple Access (TDMA) technology to support both voice and data transmission. The GSM system comprises three main components: the Universal Mobile Telecommunications System (UMTS), the access network (3G), and the GSM backbone network.
Figure 1 illustrates the architecture of the GSM module. The Network Switching Subsystem (NSS), Base Station Subsystem (BSS), and Operational Support Subsystem (OSS) are interconnected components within the network. Typically, a mobile station includes both an International Mobile Equipment Identity (IMEI) and a Subscriber Identity Module (SIM) to help prevent theft1. In the BSS, the Base Transceiver Station (BTS) and the Base Station Controller (BSC) are two independent entities. The transceivers in the BTS create and define cells, while the BSC manages and controls radio signals from one or more BTS units. The NSS includes the Mobile Switching Center (MSC), which provides additional functionalities such as mobile station authentication, registration, location updates, handovers, and call routing for roaming subscribers2,3.
Globally, billions of people use the GSM network. As the number of subscribers increases, traffic congestion at Points of Interaction (POI) also rises4, leading to an expansion in network size. A POI serves as a connection point between network components, helping to manage and reduce traffic congestion5. When designing or deploying a sensor, several criteria must be considered to meet application demands and objectives. Network Lifetime (NL) is influenced by multiple factors, including channel characteristics, topology, resource constraints, interference management, bit error rate, and other Quality of Reception (QoR) requirements6. The design criteria and objectives can only be effectively addressed if the network remains operational. In this study, we primarily focus on Network Lifetime (NL) and examine the trade-off between NL and Bit Error Rate (BER), as BER is a critical metric for ensuring Quality of Service (QoS).
Several routing algorithms have been considered for maximizing Network Lifetime (NL). We analyze the most efficient Advanced Exhaustive Search Algorithm (AESA) for NL, which is achieved by deploying a low-complexity genetic routing algorithm operating in a low-interference environment. Various studies have explored NL maximization through low-complexity routing algorithms while also maintaining Quality of Service (QoS) requirements. In7, the authors examined how transmit power and data rate could be optimally designed together. However, in8, scheduling and routing were studied over an Additive White Gaussian Noise (AWGN) channel to optimize NL. The study in9 proposed a data collection method that evaluates multiple performance metrics, including NL maximization and end-to-end reliability, to meet the required QoS criteria. According to10, a distributed method for reducing energy dissipation was implemented in a low-complexity network architecture. A non-linear optimization problem for NL maximization—considering routing, scheduling, and transmission power allocation in Rayleigh fading and AWGN channels—was analyzed in11. However, this study focused only on the string topology and did not evaluate the impact of routing on NL. An interesting finding in12 was the influence of physical layer characteristics on NL in a string topology with the lowest Signal-to-Interference-plus-Noise Ratio (SINR) per link. In13, the authors proposed an evolutionary algorithm with low complexity to optimize integrated link scheduling and routing for efficient traffic delivery. Unlike14, a simpler evolutionary algorithm was used in15 to maximize throughput in cognitive radio-based Wireless Mesh Networks (WMNs) by optimizing channel assignment and other operations. However, in the context of Wireless Sensor Networks (WSNs), little attention has been given to energy efficiency and NL optimization, despite16,17 introducing evolutionary approaches for solving cross-layer operational challenges. Battery-powered Machine-to-Machine (M2M) devices in Long-Term Evolution (LTE) networks could benefit from both an optimal and a simple suboptimal method to improve NL, as discussed in18,19. These methods involve uplink scheduling and transmit power management techniques.
It is possible to achieve near-optimal Network Lifetime (NL) performance with reduced complexity using a suboptimal approach. Both optimal and near-optimal routing optimization algorithms have been studied in20; however, inter-node interference has not been taken into consideration. For maximizing NL, the authors of21 concluded that a distributed approach could meet performance requirements while also reducing computational complexity.
According to22, an algorithm utilizing a mobile sink to balance the network’s traffic load was explored. To prevent excessive reliance on specific hotspots and to enhance NL, the mobile sink node moves across the network, collecting data over a specified period. Similarly, in23, a genetic algorithm was proposed to improve both coverage and NL maximization in multi-hop WSNs. However, their primary objective was minimizing energy dissipation, which consequently enhanced NL. To maximize NL, energy conservation is essential; however, this is not always the case when attempting to prolong the lifespan of NL. These differences arise primarily due to network topologies that are dependent on specific application requirements. The studies discussed above primarily considered less complex network topologies. However, fully connected sensor nodes are the focus of this research, as they introduce greater challenges in network design and optimization, making the process more time-consuming and computationally intensive. In a fully interconnected sensor network, any given sensor can communicate directly with another. Here, a low-complexity algorithm is designed to meet end-to-end bit error rate (E2EB) requirements24. This study emphasizes routing, scheduling, and power allocation as the key factors for improving the Signal-to-Interference-plus-Noise Ratio (SINR). With multiple nodes and a near-optimal Single Objective Genetic Algorithm (SOGA) to reduce complexity in fully connected WSNs, the accompanying figures illustrate an advanced Exhaustive Search Algorithm (ESA).
The motivations of the paper are listed below
-
WSNs require energy-efficient algorithms to prolong NL while maintaining communication reliability.
-
Current routing algorithms struggle to optimize energy consumption and network longevity simultaneously.
-
Existing approaches often fail to balance energy efficiency with key quality metrics like proximity ranging, interaction counting, and link effectiveness.
-
There is a need for advanced optimization techniques that can enhance NL while considering real-world constraints like latency and packet delivery ratio.
Similarly the contributions of the paper are
-
Developed the AESA and SOGA for optimizing NL in fully connected WSNs.
-
The proposed technique considers four critical parameters—proximity ranging, network lifetime, interaction counting, and link effectiveness—to enhance routing efficiency.
-
Conducted simulations comparing the proposed approach with existing routing protocols based on metrics such as average edge delay, latency, and packet delivery ratio.
-
Demonstrated that NL can be maximized while maintaining a balance with essential service quality criteria, ensuring improved performance in WSNs.
The rest of the paper is structured as follows. Section "System model" presents a comprehensive description about system models, section "Proposed Model" describes the proposed methodology, detailing the AESA and SOGA for network lifetime maximization. Section "Experimental results and discussions" provides simulation results and a comparative analysis with existing routing protocols. Finally, Sect. 5 concludes the paper with key insights and suggestions for future research directions.
System model
In a fully networked Wireless Sensor Network (WSN), sensors are distributed randomly and uniformly throughout the sensor field. Figure 2 illustrates the process of sensor nodes joining a WSN network. To establish communication with any other sensor in the network, a node must first initiate a session. Additionally, sensor nodes continuously monitor and update the distances (d1, d2, d3, …) between themselves and other nodes, transmitting this information to the destination whenever changes occur. As the number of nodes increases, network complexity also rises.
Ideally, sensors should be positioned at opposite ends of the field to maximize the distance between them. For example, in a scenario where S, A, and B are sensor nodes, only the source (S) transmits information to other nodes (A and B), while A and B act purely as relays. However, in a fully connected WSN, the source can transmit directly to the destination without requiring intermediate relays. Since we are considering a fully connected network, multiple routes may be available for the source to reach the destination25. Therefore, choosing the optimal path is crucial, as the source continues broadcasting until its battery is depleted. In our model, only one Source-to-Destination route is activated at a time to ensure efficient data transmission.
According to Fig.ure 3, Route Lifetime (RL) is defined as the minimum lifespan of the nodes that form a given route. Routes R-1 through R-5 are the only ones that do not loop back on themselves. To determine Network Lifetime (NL), the highest RL values are summed after the Source battery is fully depleted. In the first iteration, we assume RL values for each route in the network as follows: R-1 = 100 hours, R-2 = 200 hours, R-3 = 300 hours, R-4 = 400 hours, and R-5 = 500 hours. To accumulate the longest RL values, the battery level of the Source must be monitored after every RL calculation. If residual power remains after the first iteration, data transmission can continue via alternate routes that do not depend on the depleted sensor nodes. This allows us to calculate the lifespan of all WSN sensor nodes while excluding nodes that have run out of power. Selecting the optimal NL route in a fully connected WSN is challenging due to the large number of available paths for data transmission. Therefore, the battery levels of all sensor nodes involved in transmission must be continuously updated, including the Source battery, which is checked after each end-to-end transmission. The RL calculation repeats until the Source battery is completely depleted26,27. Thus, the calculation of any Source-to-Destination (S-D) route depends on the RL calculation. As a result, NL can be determined in just a few RL cycles. Extracted from Fig. 3 omnidirectional communication network, Fig. 4 illustrates a one-way communication path.
A simple route extracted from Fig. 2
From Fig. 4, we observe that the nodes have the capability to transmit information to neighboring nodes unidirectionally as they utilize a single-string topology. We employ Spatially Periodic Time Sharing (SPTS)28 to establish the Time Slot (TS), where H hops between two nodes are considered simultaneously at time T for each extracted route. There are several techniques for Network Lifetime (NL) maximization, each with different definitions and optimization approaches depending on the specific application29,30,31.
Numerous strategies, including sleep–wake scheduling, resource allocation, routing and clustering, mobility, opportunistic transmission systems, and opportunistic resource distribution, play a crucial role in Network Lifetime (NL) maximization system design, as represented in Fig. 5. Resource allocation is one of the most important and widely studied NL maximization methods, covered extensively in academic literature32,33,34. Cross-layer optimization is commonly employed to address various design constraints, such as transmission and routing reliability, power management scheduling, optimal node deployment, throughput maximization, estimation quality, and rate adaptability in resource allocation. Consequently, multiple NL maximization strategies can be combined with resource allocation, as all these techniques incorporate some form of resource allocation algorithm. Multihop routing, traffic load balancing, interference control, and spatial reuse were found to significantly extend NL in an AWGN channel35. After sensors gather data, they transmit it to the sink node. Therefore, careful consideration is required in determining which sensors should transmit data to the destination node (DN) and at what time, especially when dealing with faded networks. Energy conservation can be achieved by temporarily activating sensors with access to stronger channels36. Based on existing channel characteristics, Phan et al.37 proposed an energy-efficient transmission strategy for NL maximization. In fading channels, broadcasts were initiated only when the channel quality exceeded a predetermined threshold. Another approach, described in38, considers end-to-end transmission costs, remaining battery charge in each sensor, and the probability of a successful transmission at every relay node. Using a coalition formation game-theory framework, Wu et al.39 developed an optimal transmission strategy for NL maximization. Sleep–wake scheduling can further extend network lifespan, even in cases where packet arrivals are infrequent40. This technique relies on selecting the appropriate sensors to remain inactive, thereby improving energy efficiency and route diversity. As a result, network reliability and NL are significantly enhanced. According to the virtual backbone scheduling philosophy41, traffic is routed exclusively through backbone sensor nodes, which consist of non-correlated sensors. This represents a novel approach to sleep scheduling, further optimizing network performance. Decisions regarding routing have a significant impact on network lifetime (NL) and energy distribution (ED) within a wireless sensor network (WSN). Maximizing ED by prioritizing sensors with the highest remaining battery power enhances the overall network longevity. These sensors should be utilized whenever a transmission from source to destination is initiated42. Route reuse depletes the battery power of sensors along frequently used paths faster than those on alternative routes, ultimately reducing NL. A more balanced routing approach that leverages the remaining battery energy of active sensors can prolong NL, making route optimization crucial for sustainable network operation43. The maximum-lifetime routing strategy balances traffic loads among sensor nodes near the sink node to prevent sensor overload. However, in battery-powered WSNs, the energy demand (ED) for long-distance communication with remote nodes remains a challenge. A multi-tiered network architecture can help sustain network activity over an extended period. To further enhance WSN longevity, the network can be divided into multiple clusters, each managed by a high-energy cluster head44.
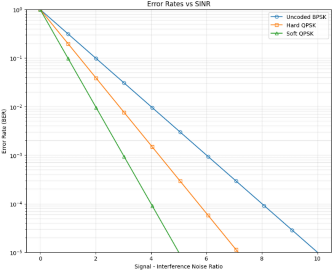
An alternative approach involves mobile sensors or mobile sinks, where each mobile sensor dynamically determines its travel path to ensure an equitable distribution of traffic load across the network45. This method prevents excessive burden on specific nodes and enhances network efficiency. Coverage refers to a sensor’s ability to detect events within a specific field or region, commonly known as sensing coverage. Multiple sensors may capture data from the same location, improving data quality and reliability but leading to redundancy and unnecessary energy consumption. To optimize energy usage, it is essential to critically evaluate which data should be transmitted to the base station. If an insufficient number of sensors are deployed, establishing a reliable connection to the base station or other sensors may become challenging. The network must ensure that sensors have predefined high-quality communication links to facilitate data transmission. Traffic balancing can be employed to activate the minimal number of sensor nodes required for complete coverage of a sensing area at any given moment, thus conserving energy46. For WSN sensor nodes to maintain full connectivity, they require omni-directional antennas. Establishing an efficient routing path from source to destination depends on the omni-directional strategy47. Once the optimal route is determined, unidirectional communication takes over, ensuring data flows exclusively along the selected path. Sensor nodes typically use half-duplex communication, meaning they can only transmit or receive at any given time, not both simultaneously. The characteristics of an Additive White Gaussian Noise (AWGN) channel are determined by noise power at the receiver and the path-loss model. To enhance system performance, Bit Error Rate (BER) vs. Signal-to-Interference-plus-Noise Ratio (SINR) look-up tables (LUTs) define the required SINR for maintaining a specified BER target. In SINR calculations, interference is treated as equivalent to noise. The system model demonstrates that Convolutional Coded (CC) soft QPSK outperforms CC hard QPSK and uncoded BPSK in AWGN transmission, provided that SINRs exceed 4 dB. CC soft QPSK ensures the lowest possible SINR while maintaining a BER of 10⁻2, making it highly efficient. On the other hand, CC hard QPSK prioritizes power savings, making it the most energy-efficient option. Thus, the WSN system model should adopt a similar approach for maximizing NL, optimizing energy consumption, and improving network sustainability.
Proposed model
Our model introduces a unique two-stage lifespan assessment method to evaluate network longevity (NL) in a simplified scenario48. The first stage is linked to the Minimal Node Lifetime Maximization (RL) phase, where the goal is to maximize the operational lifespan of individual sensor nodes. Since communication is lost when any node in the route fails, the routing strategy ensures that data is transmitted through as many nodes as possible before reaching its final destination. Each route node can only communicate with nodes within a two-hop radius. The maximum RL for each node can only be determined after its battery is fully depleted. Therefore, the second stage of the NL computation involves summing the maximum RL values across all nodes. At the end of each RL computation, end-to-end transmission is used to update the remaining battery levels of the sensor nodes along the optimal route. The process continues until all nodes are completely drained of energy. To determine the final NL, the highest and lowest RL values are summed and subtracted iteratively until the source node’s battery is exhausted. The NL computation considers several factors, including node availability, connectivity, and service interruption tolerance. A parameterized version of the NL specification, as detailed in49, enables flexible adaptation to various network conditions. The NL definition allows for customization by including or omitting specific objectives, making it applicable to a wide range of wireless sensor network (WSN) scenarios.
Route lifetime maximization
The maximization of NL criteria is divided into two stages. The first stage involves the formulation of the system model, which establishes the string topology. The second stage focuses on selecting the best-known route50. In the second step, an algorithm is developed to maximize the net gain (NL) by summarizing all RL values in the WSN. After discussing the system model, we proceed to define the general optimization problem, which serves as the initial step in NL maximization. To maximize node lifespans, we optimize transmission range (TR) to the greatest extent possible while adhering to the system model’s constraints. All other network actions are assumed to have minimal energy dissipation (ED) in our estimates. Since sensors only consume energy during transmission, we set Psp = 0 and ui = 1 to simplify calculations. This problem can be solved using linear programming techniques, as it is a convex optimization problem. CPLEX is employed to determine the maximum RL of routes in a fully connected WSN. Consequently, calculating RL values and selecting the best RL-aware path are the first steps in maximizing NL51.
By deploying and distributing S nodes randomly and uniformly, the NL of the Wireless Mesh Network (WMN) is maximized when sensor node (SN) batteries are depleted52.
To determine the optimal routing path, the following algorithms are used:
-
Single Objective Genetic Algorithm (SOGA): Explores the largest feasible solution space to find the simplest yet optimal route.
-
Advanced Exhaustive Search Algorithm (AESA): Focuses on identifying high-traffic paths to enhance network efficiency.
By implementing these approaches, the network achieves efficient traffic balancing and prolongs the lifespan of WSNs.
As shown in Fig. 6, each algorithm begins by forming a fully connected network. The proposed algorithms then introduce mechanisms for efficient route discovery and evaluation. For each route selection technique, route information is utilized to compute RL values. It is crucial for NL calculations to account for remaining battery life, as sensor nodes (SNs) depend on it. When the number of nodes in a fully connected network increases, the number of possible paths grows exponentially53. Before describing our proposed methods, we first analyze the complexity of a fully connected network. Many real-world applications benefit from short-range, densely deployed sensor networks54,55, where each sensor between the source and destination can function as a relay. For instance, in battle zones, non-rechargeable sensors may be widely dispersed to maximize network uptime while minimizing power consumption. To achieve a fully connected WSN, such applications may require direct communication between nodes. A fully connected WSN enables multiple communication pathways. However, as S increases, the exponential growth in the number of possible non-looping paths introduces significant complexity concerns. Table 1 illustrates how the total number of different non-looping paths increases with node count56, considering the associated complexity trade-offs. Table 1 demonstrates that as S increases, complexity escalates exponentially. The complexity of an algorithm is directly related to the number of cost function evaluations (CFEs) it performs, which serves as a measure of algorithmic complexity.
Advanced exhaustive search algorithm (AESA)
The Advanced Exhaustive Search Algorithm (AESA) is used to maximize the NL, as shown in this algorithm. The input section of S allows the selection of several parameters, including the desired SINR, the number of trials n, and the initial battery capacity Ex. To summarize, the Source is always the first node, while the Destination is always the last node in the graph. Assume a WSN with 10 sensor nodes is fully operational. The Source is uniquely assigned a value of 0, and the Destination is assigned a value of 9. A fully connected network with S nodes is then established. The sensor field is defined as an (xmax, ymax) m2 area, with a single sensor source at (0,0) and a destination node at (xmax, ymax). This setup ensures that the maximum possible distance exists between the source and destination. Meanwhile, all other sensors are mobile and are distributed uniformly. As a result, a distance matrix can be used to efficiently record the distance between any two nodes in the network. For a specific NL calculation, the positions of all sensors in the WSN remain fixed, as the network is stationary. When the routing matrix for each route is properly arranged for RL computation, the network’s pathways are systematically connected. Interference terms are identified and calculated for each SPTS parameter T using active connections for each TSn. This method detects interference nodes and their gain matrices Gi,j within the same TS. RL values are computed for each optimization function call based on all pathways identified by the ESA. In the WSN study, RL results are now available for all possible routes in a fully connected network. When multiple routes have the same maximum RL value, RSSs are introduced to differentiate them. Four different RSS strategies are analyzed based on their potential applications. RSS-LTED (Lowest Total Energy Dissipation) selects the path with the lowest overall energy dissipation (ED). RSS-MNOH (Minimum Number of Hops) assumes a one-time unit delay for all sensors due to transmission delays at SNs and intermediate nodes, preferring the shortest path for data transmission. RSS-LLBAT (Largest Remaining Battery Power) considers battery power levels in route selection and chooses the route with the sensor node having the highest remaining battery power. RSS-RRSEL (Random Route Selection) uses a stochastic approach for route selection, considering all routes with the highest RL value and selecting one randomly. Since the route selection process is based only on paths with the highest RL values, we expect that the NL results from these different RSS strategies will be comparable. For end-to-end transmission, the RSS of the best-selected RL route is utilized.
The “transmission phase” refers to end-to-end transmission57,58. It is evident that a transmission phase for RL-aware traffic will occur along the reference route. This communication depletes the batteries of the sensor nodes involved. While the SN battery is still available, an enhanced ESA can utilize the remaining battery power to identify the next optimal RL-aware route for a fully connected WSN, starting from transmission phase one. In other words, Algorithm 1 will attempt to find the best route again if the Source has sufficient battery power. The summation of past transmission phase maximum RL values is used to determine NL in cases where the battery is completely depleted. Depending on the current battery status of the sensor nodes, this process of route computation or transmission phase may be repeated multiple times59.
The upper BER limit of the WSN can be determined by identifying the network’s highest E2EB. Consequently, the E2EB path is widely used within the RL community. In other words, the best RL-aware routes may exhibit the highest E2EB, as they efficiently manage power consumption. This optimization problem focuses on maximizing net loss (NL) while minimizing quality of service (QoS) degradation. Therefore, identifying the optimal RL-aware route with the highest E2EB is sufficient to determine the maximum limit of the WSN’s E2EB. To reduce transmit power per link, we demonstrate that each connection attains the exact SINR values required. The only way to minimize transmit power is to maintain SINR as close to the target as possible for each link. This implies that the network’s worst-case E2EB performance60 can be assessed by computing E2EB using Eq. (3) along the best RL routes and then using the route with the highest E2EB as an upper bound on the BER for the WSN. To initiate NL calculation, the ESA searches for the most feasible paths. For a fully connected 6-node scenario, as illustrated in Fig. 7, the ESA identifies four potential routes with the same maximum RL.
The four routes in this WSN are [Source-A-B-Destination], [Source-A-B-C-Destination], [Source-D-A-B-Destination], and [Source-D-A-B-C-Destination]. This scenario considers only RSS-LTED, as it selects the route with the lowest overall ED. With this information, we can determine the most suitable approach based on specific requirements. Since NL depends on the Source battery level, the remaining battery (RBAT) after each RL calculation cycle is also recorded. If the Source battery is completely depleted, the information cannot be generated or transmitted to the Destination. A single NL computation experiment may involve multiple iterations of RL calculations, and the number of iterations is not fixed. The energy consumed at the SN after each RL calculation may also impact the recharge time of the SN. For this reason, the Destination is excluded from the battery charge update list, as it is already connected to a power source. Figure 7 illustrates a six-node, fully connected WSN for updating battery charge. This means that while a sensor node is actively involved in end-to-end transmission, its battery capacity is updated and reserved at 5,000 Joules per sensor node in the order of [Source-A-B-C-D]. Depending on the selected transmission route, each sensor node’s battery drains after every RL computation cycle in the WSN.
Single objective genetic algorithm (SOGA)
In the ESA run-time simulation study, S = 6 nodes were used, but the approach can be easily adapted to any number of nodes. The complexity of a route in the WSN plays a crucial role in determining its NL. For example, when AESA is used to compute NL, the S = 6 scenario in Fig. 7 explores 65 possible non-looping alternative routes, whereas the S = 10 case in Table 1 introduces 109,601 distinct routes. To prevent excessive computational complexity, the exponential growth in the number of different routes (from 65 to 109,601) should be controlled, as exhaustive searches through the entire WSN during each iteration would be computationally intensive61. For instance, a large-scale distributed network with numerous sensor nodes may have several unique paths. Our WSN methodology is not restricted to fully connected networks but can also be applied to any real-world network. To reduce the computational complexity of AESA in WSNs with numerous distinct routes, a Singular-Objective Genetic Algorithm (SOGA) is employed. SOGA is inspired by evolutionary biology and incorporates genetic mechanisms such as inheritance, selection, and crossover. Before delving into the mechanics of SOGA, it is essential to understand some fundamental evolutionary biology concepts and their relevance to this study. SOGA’s genome consists of sequences of numbers representing individual routes with unique sensor node indices. In this context, a sensor node is referred to as a chromosome-specific node62. A chromosome corresponds to a SOGA member that contains information about a particular route. The fitness function evaluates a chromosome’s ability to achieve a given objective. It is used to analyze route data for each participant and compute the RL fitness value. The fitness function determines the quality of an individual solution, as a better route results in a higher fitness value when maximizing NL. Figure 8 illustrates the entire operation of SOGA. The first step in identifying optimal solutions involves creating a population and evaluating its fitness functions. While a genetic algorithm remains fundamentally the same, modifications to its operators enhance its efficiency in this specific application.
Either a superior solution has been identified, or the maximum number of economically viable generations has been reached. The number of generations in SOGA can be adjusted to strike a balance between performance and complexity63. Since a population consists of many individuals, selecting the most promising candidates is essential for improving the overall solution quality. As shown in Fig. 8, the selection operator enhances population quality by increasing the likelihood that high-quality individuals will pass on their fitness traits to the next generation. A binary tournament selection (BTS) is used to divide the existing population into two sets, with the best individuals in each set competing against each other. A random member from each set is then selected for a fitness competition, and ultimately, a parent is chosen based on their ability to produce a strong and fit offspring. During crossover, chromosomes may be split at a common gene (sensor node), allowing one half of an individual to be combined with the other half, and vice versa. This process, known as the single-point crossover technique, produces new individuals referred to as children, who are expected to inherit beneficial traits from their parents. In our scenarios, when applying a mutation operation to a gene, one of three distinct mutation procedures—node replacement, node removal, or node insertion—is selected with equal probability. More details on SOGA will be provided in the next section. By testing the fitness of new candidate solutions, the mutation operation enhances the diversity of the population. Consequently, using the genetic approaches described above, we can infer that the first generation (iteration) consists of multiple individuals (potential solutions). Over successive generations, individuals are expected to evolve, ultimately leading to improved solutions64.
The solution space is searched using brute-force methods by AESA, which examines all possible permutations, whereas SOGA employs genetic operators to conduct an intelligent search across the solution space65. The initial step is to construct a fully connected, randomly and uniformly distributed WSN using sensor coordinates. When a population of ind = 48 individuals is generated, a random route from the WSN’s fully connected network is assigned to each member. In this case, a fitness function is not evaluated since the route information of the participants is merely gathered. Consequently, the fitness values of these individuals remain unknown. Dual-simplex optimization is used to evaluate these routes and their associated distance matrices, with each RL evaluation described by its fitness value. The fitness array returned by our dual-simplex optimization approach includes RLs, node energy consumption, and link transmit power for each function call. Transmission distance can be increased by using multiple single-antenna-aided transmitters, which create distributed antenna arrays that generate phase-coherent combined waves directed toward the intended receiver. Since the ED is shared among multiple transmitters, each emitter can reduce its transmission power. However, repeatedly using the same transmitters may fully deplete the battery of these sensors. As a result, coverage may be reduced in a specific region due to malfunctioning or depleted transmitters.
Maximizing NL in WSNs involves trade-offs with key performance metrics. Energy-efficient techniques can reduce transmission frequency, potentially lowering the Packet Delivery Ratio (PDR), but adaptive transmission and multi-path routing help maintain reliability. Similarly, NL-focused routing may increase latency, requiring hybrid approaches to balance energy efficiency and low delay. While reducing energy consumption is crucial for extending NL, it may weaken network connectivity, which can be mitigated using clustering and data aggregation. Additionally, prioritizing energy-efficient paths can lead to unstable links, making it necessary to integrate link quality metrics into routing decisions. Furthermore, optimization techniques like Genetic Algorithm (GA) and Exhaustive Search Algorithm (ESA) improve NL but introduce computational complexity, which can be managed through lightweight heuristics. Scalability is another challenge, as NL-focused algorithms may not perform efficiently in large networks; hierarchical clustering and localized decision-making address this issue. The proposed AESA and SOGA methods optimize NL while effectively balancing these trade-offs.
Experimental results and discussions
The number of nodes in a fully connected network is S = 4, 5, 6, 7, 8, 10, 15, 20. In S = 7, there are 326 non-looping routes, while in S = 10, there are 109,601 non-looping routes. Although the number of connections in a fully connected network is not directly considered when analyzing the complexity of specific WSN routes, it is factored in when evaluating the overall complexity. This means that any dispersed network with many nodes but fewer communication links may benefit from our approach, which is designed for fully connected networks. For a WSN with S sensor nodes, a sensor field of 20 × 20 m2 is considered. To ensure the maximum possible distance between the source and destination, the sensors are positioned at the corners of the sensor field, at (0,0) and (20,20). This ensures that the source and destination always maintain the same distance. To achieve the most efficient single-hop transmission across the longest possible distance among various available paths, the precise locations of both the source and destination play a crucial role. By evaluating the various routes available within the WSN, end-to-end transmission is designed to maximize the number of nodes (NL) used in routing. The experimental results for NL are obtained under a continuous transmission scenario, referred to as "continuous-time NL." The term “NL” in this work specifically refers to continuous-time NL. However, the NL values in this study are projected to be significantly higher than those reported in our previous publications33,35. A sensor cannot transmit through a lower-dissipation route due to the constraints identified in our prior studies33,35, where NL was calculated for a string topology. However, in our case, the source is able to employ a greedy-ED strategy to select the most RL-aware route for transmitting information until the source battery is completely exhausted. This approach allows the source to utilize alternate routes, ensuring efficient transmission even as battery levels deplete.
Additionally, the NL calculation consists of summing multiple distinct RL values, significantly extending the NL until the source battery is completely drained32,33 by utilizing the largest RL value calculated across the alternative routes. With p = 3 and a receiver noise level Np = 60 dBm, we develop an assumed AWGN channel propagation path loss model. An SPTS scheduling approach is implemented, which is a TDMA-based scheduling method with TS = 3, where each link operates within a TDMA frame containing NTS = 3 TDMA slots per sensor. To evaluate the NL performance of the WSN, different target SINR thresholds, ranging from 0 to 10 dB, are tested. The sensors are powered by 5000-J alkaline batteries. For clarity, our simulation settings are as follows: in all SOGA cases, we used ind = 48. These parameters are applied to calculate the RL for each NL trial, and the RL is averaged over 5000 trials. This process is performed when AESA and SOGA generate an NL value using the dual-simplex function. In some evaluations, we do not specify a target SINR or RSS, as the focus is solely on comparing the computational complexity of the algorithms. Since CFEs are not influenced by the planned SINR or RSS, we observe the same level of complexity across all techniques. Table 2 presents the various simulation parameters used for the analysis.
To maximize NL, the SOGA’s optimality analysis is illustrated in Fig. 9 for S = 4 and S = 6 sensor nodes. It is also shown for S = 8 and S = 10 sensor nodes when gen = 3 and gen = 12 generations are used. SINR targets are set at 0, 0.5, 1, …, 9, 9.5, and 10. However, other RSS values exhibit trends similar to RSS-NL. The LTED’s ideal NL can be achieved more quickly with fewer generations when using a smaller number of nodes. This trend has been observed in the analysis. The graphs indicate that after a few generations, for S = 4, the NL outcomes consistently match the ideal values, as shown in Fig. 9. Increasing Ngen for S = 4 does not improve the NL results and only adds unnecessary complexity. Increasing V requires higher computational complexity to achieve the best NL. For example, the SOGA’s performance slightly declines when compared to ESA’s optimal NL for S = 6 if gen = 3 is used. In fixed-generation systems, increasing S widens the gap between optimal and suboptimal NL values due to an exponential increase in the number of possible non-looping paths. To achieve a near-optimal NL, computational complexity must be increased, necessitating a higher gen value. For S = 10, significant differences in NL solutions are observed for different gen values, such as gen = 9 and gen = 21. Lower complexity results in a suboptimal number of zeroes (SOGA), whereas SOGA can only approach the ideal number of zeroes at higher complexity (S = 10 and number of zeroes = 21). The complexity of the system model has a significant impact compared to its deviation from the optimal model, which will be discussed later in this section. According to assumptions based on a 2 dB SINR, adding a fifth sensor node to a four-node fully connected WSN or a sixth sensor node to a five-node fully connected WSN can extend the network lifetime by 45,000 h. However, when the WSN operates at an SNR of 10 dB, the NL improvement is reduced to approximately 5,500 h. As the number of nodes in the network increases, the computational complexity of the method also rises. NL evaluation using the ESA is widely regarded as the most practical approach available today and is used to determine the upper limit of the true NL achievable by SOGA. As shown in Fig. 10, SOGA is capable of achieving the optimal NL when S = 4 or S = 5 with gen = 3. However, for S = 6, 7, 8, and 10, an increased gen is required to reach the optimal NL. For example, when S = 6 or S = 7, SOGA provides suboptimal NL solutions with gen = 3. In the case of S = 7, the NL-AESA gap is significantly reduced, whereas for S = 6, the NL is close to the ideal value. For S = 4, 5, 6, 7, 9, and 10, we find that using gen = 3 strikes a good balance between achieving near-optimal NL values and maintaining a system that remains sophisticated yet manageable. Figure 11 illustrates the NL in AESA for different values of S.
There are a number of different S and values that may be used to describe ESA RSSs in Fig. 12. Several routes have the same maximum RL, requiring the use of RSS. It’s important to choose a good route in this stage since the best route selected will be utilized for transmission, and sensors used are exhausted for the following iteration, therefore they must be updated. The differences between the RSSs are minimal for S values as low as 4, for example. Nevertheless, when S = 7, the NL of the RSSs analyzed is only slightly different. Because there are so many non-looping paths. There are a number of possible optimum routes in terms of LTED, MNOH, LLBAT, and RRS for the fully connected network. When S = 7 is used, the best NL for RSS-LTED is at 2 dB SINR, followed by RSS-LLBAT, RSS-RRS, and RSS-LNOH, and then RSS-RRS and RSS-RRS, before RSS-LTED. For RSS-LLBAT and RSS-LTED, we believe that their energy-awareness will result in a somewhat better NL than the other two RSS. RSS-LLBAT depends on the SN’s battery level, while RSS-LTED relies on the route’s total ED. As a result, in our situations, RSS-LLBAT and RSS-LTED often perform better in terms of their NL than RSS-RANR and RSS-MNOH, as shown in Figs. 12 and 13. In particular, the difference in NL is easily apparent when considering a larger number of nodes S. Instead of the NL discoveries associated with all of the gen values for different WSNs made up of S sensor nodes, as shown in Fig. 12, the near-optimal NL characteristics associated with SOGA’s near-optimal gen choices are shown in Fig. 13. Near-optimal generation choices and WSNs with S sensor nodes are shown in Fig. 13 to have the maximum NLs attained by SOGA, which is close to the benchmark values presented in Fig. 11. SOGA achieves a near-optimal NL identical to that in Fig. 12 for the equivalent RSSs in Fig. 13.
The trade-off between NL and routing complexity is an important part of describing the system model under consideration. SOGA may produce near-optimal NLs with gen = 15 at a much lower degree of complexity for a WSN with S = 8 nodes. An almost-ideal NL value may be found by using the SOGA routing algorithm on a S = 10 node WSN. WSNs with S > 8 nodes and more than 1,957 different non-looping routes cannot employ ESA’s optimum NL because of the high computational cost of the AESA method. According to some, the complexity of a system doesn’t change much as S goes from 8 to 10. The computational complexity of a fully linked WSN is much higher in our cases because of the numerous non-looping routes. Because the number of non-looping pathways grows from 1957 to 109,601 from S = 8 to S = 10, the SOGA can manage the increased complexity, but the AESA is unable to.A certain NL value requires an average number of CFEs to be computed by both the AESA and SOGA, which increases the computational complexity of both systems. As a result, Fig. 13 depicts the achievable NL in relation to the needed number of CFEs.
The optimum convergence of the computed NL, as shown in Picture 13, explains the best gen choices provided in Fig. 12, as indicated in the figure above. It is shown in Fig. 13 that each generation’s projected NL value is enhanced by three points for each fully connected WSN with S nodes. It is not better, but it is more complicated. For S = 4, 5 situations, raising gen from 3 to 12 with 3-interval intervals hardly improves NL at all, whereas for S = 6, 7 scenarios, it barely improves the NL at all by increasing gen from 3 to 12. It’s clear that increasing gen from 3 to 21 improves net loss significantly in the S = 10 situation, and this is the case even after the net loss has reached its ideal value of 21.
Figure 14 gives the Comparative study of AESA and SOGA for a range of S values. CFEs required to compute NL using ESA and SOGA for each generation are displayed in Fig. 15 when the number of nodes is S. As an upper limit on the real NL, one may compare the number of CFEs required to get the ideal NL for a WSN with S nodes. For a WSN with S sensor nodes, Fig. 15 displays the number of CFEs required to obtain a near-optimal NL. The AESA beats the SOGA when striving for near-optimal NL values, as seen in Fig. 15. This is due to the fact that each iteration of gen evaluates a larger number of people, i.e., ind = 48. Consequently, each iteration of the RL calculation needs at least 48 CFEs to assess the paths represented by the ind = 48 people. Keeping in mind that one NL calculation may need multiple RL computation iterations, leading to a bigger number of CFEs, is important to keep in mind while doing this analysis. It takes 48 CFEs to do the simplest of real-time (RL) calculations, which uses the battery entirely and returns the NL result.This is more than twice as many as in the scenarios of S 7 for the ESA. Figure 15 shows that the AESA’s computational complexity is equivalent to the SOGA’s at S = 7, and that it increases exponentially for S greater than that value. If S is more than 7, we may deduce that SOGA is less complicated to implement than AESA. Look at Fig. 15, which shows that the SOGA is 2.56 times more efficient than the ESA in locating a nearly ideal NLS for S = 8, as shown in Fig. 15. Raising S in SOGA finds near-optimal NL values, but raising S to find the optimum NL values is exponential. For example, getting the ideal NL for S = 8 is 5.46 times more hard than getting the optimum NL for S = 7. As shown in Fig. 15, the S = 10 scenario begins at 20 h of near-optimal NL with gen = 3 and ends at 55 h of near-optimal NL with gen = 21. As you can see, there are markers for 3, 6, 9, 12, 15, 18, and 21 generations piled vertically. From the bottom to the top, each generation is increased by three. As seen in Fig. 15, the "Near-optimal NL" points in Fig. 15 were selected because they are close to the "Near-optimal NL" values in Fig. 14. Using the S = 10 situation as an example, the NL converges to its ideal value at gen = 21 in Fig. 14, which is denoted by a diamond-marker in Fig. 15.
What follows is a comparison of WSNs employing uncoded (BPSK) and half-rate CC decoding of QPSK schemes with respect to E2EB vs. SINR. Figures 15 and 16 shows a variety of RSS values for S = 4–10 nodes for the SOGA. E2EB for half-rate-CC soft-decoded QPSK is the lowest in all SOGA circumstances, as shown in Figs. 15 and 16 (except for one). A longer end-to-end hop is more likely when S is raised, which results in more accumulated bit errors throughout the message’s route to the Destination and decreases the E2EB of the system model under evaluation. The E2EB performance of RSS-MNOH is superior to that of the other RSSs in the majority of circumstances, particularly at lower S values. Because RSS-MNOH is a delay-aware system that relies on the shortest path, this is the primary reason for this. There are fewer hops and less bit errors on routes when each connection works at the same SINR. At larger S values, such S=10, the difference in E2EB performance between RSSs seems to be less pronounced, as seen in Fig. 16 by how closely the E2EB curves overlap. For a large number of different routes, RSS is unnecessary since the probability that just one route carries the maximum number of connections is extremely high for a high S and many distinct routes. Some routes may have the same amount of hops while others may have the maximum number of NLs. RSSs always deliver E2EB with the same number of hops since there are always the same number of RL iterations. As a result, regardless of the RSSs, the E2EB performance will be comparable. Note that AESA’s performance is similar to SOGA’s if they are both measured within their measurement error.
This research examines the E2EB and SINR performance of WSNs with V sensor nodes using uncoded BPSK, half-rate CCI hard-coded and soft-coded QPSK MCSs over an AWGN channel. Only RSS-LTED is taken into account in Fig. 17 for fully linked WSNs with S = 4, 6, 8, 10 nodes in the SOGA. Figure 17 demonstrates how E2EB performance improves with node count. The SOGA WSN with S = 10 nodes has a higher E2EB than WSNs with fewer nodes. As a result, larger WSNs are more likely to get the maximum RL by using the optimum route with longer hops in each RL calculation iteration. Second, it is critical to use the worst-case E2EB estimate. We chose the longest hop route from each RL calculation’s optimal path. The NL calculation needs three rounds in order to be accurate, so we’ll assume that’s how it works. After that, we get the optimal route and the RL value associated with each iteration, based on the RSS. E2EB is computed for each route after three iterations have been completed and the worst E2EB value is picked, as we are trying to identify the top limit of the E2EB for the WSN study. Due to the special structure of the E2EB calculation, choosing the worst E2EB necessitates selecting the route associated with the longest hop. In bigger networks, as shown in Fig. 17, choosing the route with the worst-case E2EB results in greater E2EB since the longer the hops, the higher the E2EB. Figure 17 compares AESA and SOGA within the measurement error.
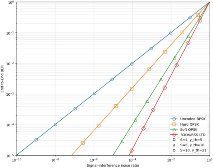
The QoS of the system model under consideration is strongly influenced by the average NL vs E2EB trade-off. An AWGN channel-based soft-decoded QPSK MCS is used to evaluate WSNs’ average NL to E2EB performance. AESA and SOGA fully linked WSNs with S = 4, 5, 6, 7 and S = 10 nodes, respectively, are shown in Figs. 18, 19 for different RSSs. CC soft-decoded QPSK MCS 1/2-rate exceeds all others in E2EB performance in AESA and SOGA. When taking the E2EB of 103 as an example, the NL gain of the soft-decoded QPSK MCS is nearly four times more than that of the hard-decoded QPSK MCS in the ESA S = 4 situation. Over six times as long as uncoded QPSK MCS has an E2EB of 103, and more than four times as long as 1/2-rate QPSK MCS with an E2EB of the same value has an NL gain of 6 104 h. A significant increase in NL gain is shown with the addition of additional sensor nodes, with the NL gain in the S = 6 scenario reaching roughly 810 h of NL in contrast to uncoded BPSK and 515 h in comparison to 1/2-rate CC hard-decoded QPSK MCS. This gain is almost seven times more than that of hard-decoded QPSK MCS at half the rate, or about 10 times the NL of uncoded BPSK at S = 7. Figures 18, 19 and 20 indicate that for situations with the same number of nodes, the E2EB performance of SOGA and ESA are similar within measurement error, as revealed in the NL results.
The E2EB analysis of S = 4, 5, 6, 7 nodes provided by ESA is thus performed for the appropriate SOGA scenarios. According to Fig. 21, an NL gain of 17 hours is achieved for the SOGA’s S = 10 scenario, which is shown in the figure, and 10 hours for the half-rate QPSK MCS at the same E2EB of 103 at the same S = 10. Note that the ESA’s S = 10 NL against E2EB performance curves could not be generated because of the system’s excessively complicated computations. Since the average NL vs. E2EB tradeoff for various RSSs and MCSs in the examined V sensor node-based full-connected WSNs offers network designers an understanding of how these two technologies interact for various applications
For the WSN under consideration, we have found that our new NL maximizing strategy greatly increases its lifespan in comparison to our earlier investigations14,15. Applications needing long-term network connections, like as climate change monitoring, benefit greatly from NL maximizing. Environmentally hostile terrain may become inaccessible, and sensors’ batteries cannot be replaced, therefore network operations on the battlefield must be prolonged. To the base station, a specialized sensor may be needed. A sensor or a network of sensors near hostile targets may be the most vital source of intelligence. To maximize the NL, we assume that all other sensors are relaying these important bits of information, and hence utilizing these sensors as the more significant ones may help us preserve more energy. Figure 22 represents the average NL versus E2EB for S = 10.
Conclusion
To verify that the system model assures the employment of alternate routes for end-to-end transmission, this study considers interference-limited fully linked WSNs formed of V nodes associated with a single source and destination, positioned at opposite corners of the sensor field. Using a system model that includes relays and decoders that can decode, and transfer information communicated, it is hoped that the source information will be sent to the destination. Allow SPTS TDMA scheduling to limit the possibility of interference by scheduling nodes to only communicate with each other at a certain distance T if they are scheduled at the same time slot (TS). A set battery capacity for each sensor node means we just consider the transmitting power when we evaluate the system. In addition, the worst case BER of a fully linked WSN is represented by E2EB. Each route’s linear optimization issue was solved using the AESA and SOGA. Notably, the ESA identifies optimum NL by comparing the SOGA’s NL performance against all the available solution candidates in the complete solution search space. Genetic operators are used to intelligently search over a small portion of the solution space in the SOGA, although this is a limitation of the design. Two stages have been defined for this system model, because the NL is a two-step process: Once all the battery power has been used, the first stage takes over from there. This is done by using the maximum-RL-aware routes to transmit all the data from the SN to the system model’s end. There are two stages to this process. The first is to acquire RLs until the SN battery is empty. The route with the greatest RL is chosen from a group of paths for end-to-end transmission. In addition to the RSS-LTED and RSS-MNOH formats, RSS-LLBAT and RSS-RRS are also offered. For networks with a high S, computing the NL may be difficult owing to the computational cost, which might lead to a large number of alternative routes that need to be assessed for their RL. When there are more nodes, the number of viable routes rises exponentially, hence NL maximization needs a technique with much lower complexity.
Data availability
The data used to support the findings of this study are available from the corresponding author upon request.
Abbreviations
- WSN :
-
Wireless sensor network
- NL:
-
Network lifetime
- AESA:
-
Advanced exhaustive search algorithm
- SOGA:
-
Single objective genetic algorithm
- TDMA:
-
Time division multiple access
- RL:
-
Route lifetime
- PDR:
-
Packet delivery ratio
- GA:
-
Genetic algorithm
- ESA:
-
Exhaustive search algorithm
- IMEI:
-
International mobile equipment identity
- SIM:
-
Subscriber identity module
- BSS:
-
Base station subsystem
- BTS:
-
Base transceiver station
- BSC:
-
Base station controller
- MSC:
-
Mobile switching center
- POI:
-
Point of interaction
- GSM:
-
Global system for mobile communications
- QoR:
-
Quality of results
- E2EB:
-
End-to-end bit error rate
- AWGN:
-
Additive white Gaussian noise
- QPSK:
-
Quadrature phase shift keying
- BPSK:
-
Binary phase shift keying
- CPLEX:
-
Constraint programming linear programming extensions
References
Karunanithy, K. Cluster-tree based energy efficient data gathering protocol for industrial automation using WSNs and IoT. J. Indust. Informat. Integrat. 19, 100156 (2021).
Chandnani, N., & Khairnar, C. N. Efficient data aggregation and routing algorithm for IoT wireless sensor networks. In 2019 Sixteenth International Conference on Wireless and Optical Communication Networks (WOCN), Bhopal, India, pp. 1–7, https://doi.org/10.1109/WOCN45266.2019.8995074 (2019).
Vijayalakshmi, K. & Anandan, P. A multi objective Tabu particle swarm optimization for effective cluster head selection in WSN. Clust. Comput. 22(5), 12275–12282 (2020).
Raman, C. J., & James, V. FCC: Fast congestion control scheme for wireless sensor networks using hybrid optimal routing algorithm. Cluster Comput. 22(5), 12701–12711.I (2019).
NomanRiaz, M. Clustering algorithms of wireless sensor networks: A survey. Int. J. Wireless Microwave Technol. 8(4), 40–53. https://doi.org/10.5815/ijwmt.2018.04.03 (2018).
Sobya, D., Muruganandham, S. K. & Nallusamy, S. Development of IOT model for public distribution method in fair price shop. Int. J. Comput. Eng. Technol. 9(3), 270–278 (2019).
Sobya, D., Muruganandham, S. K., Nallusamy, S. & Chakraborty, P. S. A Proposed model for smart farming in rural areas using IoT advanced technologies. Int. J. Recent Res. Sci. Eng. Technol. 6(1), 61–67 (2018).
Akyildiz, F., Su, W., Sankarasubramaniam, Y. & Cayirci, E. ‘A survey on sensor networks’. IEEE Commun. Mag. 40(8), 102–114 (2002).
Akyildiz, I. F., Su, W., Sankarasubramaniam, Y. & Cayirci, E. ‘Wireless sensor networks: A survey’. Comput. Netw. 38(4), 393–422 (2002).
Romer, K. & Mattern, F. ‘The design space of wireless sensor networks’. IEEE Wireless Commun. 11(6), 54–61 (2004).
Puccinelli, D. & Haenggi, M. ‘Wireless sensor networks: Applications and challenges of ubiquitous sensing’. IEEE Circuits Syst. Mag. 5(3), 19–31 (2005).
Gungor, V. C. & Hancke, G. P. ‘Industrial wireless sensor networks: Challenges, design principles, and technical approaches’. IEEE Trans. Ind. Electron. 56(10), 4258–4265 (2009).
Chen, Y. & Zhao, Q. ‘An integrated approach to energy-aware medium access for wireless sensor networks’. IEEE Trans. Signal Process. 55(7), 3429–3444 (2007).
Cohen, K. & Leshem, A. ‘A time-varying opportunistic approach to lifetime maximization of wireless sensor networks’. IEEE Trans. Signal Process. 58(10), 5307–5319 (2010).
Xu, W. et al. ‘Distributed optimal rate–reliability–lifetime tradeoff in time-varying wireless sensor networks’. IEEE Trans. Wireless Commun. 13(9), 4836–4847 (2014).
Madan, R. & Lall, S. ‘Distributed algorithms for maximum lifetime routing in wireless sensor networks’. IEEE Trans. Wireless Commun. 5(8), 2185–2193 (2006).
Cheng, M., Gong, X. & Cai, L. ‘Joint routing and link rate allocation under bandwidth and energy constraints in sensor networks’. IEEE Trans. Wireless Commun. 8(7), 3770–3779 (2009).
Wang, H., Agoulmine, N., Ma, M. & Jin, Y. ‘Network lifetime optimization in wireless sensor networks’. IEEE J. Sel. Areas Commun. 28(7), 1127–1137 (2010).
Aziz, A. A., Sekercioglu, Y. A., Fitzpatrick, P. & Ivanovich, M. ‘A survey on distributed topology control techniques for extending the lifetime of battery powered wireless sensor networks’. IEEE Commun. Surveys Tuts. 15(1), 121–144 (2013).
Madan, R., Cui, S., Lall, S. & Goldsmith, A. ‘Cross-layer design for lifetime maximization in interference-limited wireless sensor networks’. IEEE Trans. Wireless Commun. 5(11), 3142–3152 (2006).
Hatamian, M. et al. CGC: centralized genetic-based clustering protocol for wireless sensor networks using onion approach. Telecommun. Syst. 62, 657–674. https://doi.org/10.1007/s11235-015-0102-x (2016).
Alimoradi, P., Barati, A. & Barati, H. A hierarchical key management and authentication method for wireless sensor networks. Int. J. Commun. Syst. 35(6), e5076. https://doi.org/10.1002/dac.5076 (2022).
Havashemi rezaeipour, K., & Barati, H. A hierarchical key management method for wireless sensor networks. Microprocess. Microsyst. 90, 104489. https://doi.org/10.1016/j.micpro.2022.104489 (2022).
Nilsaz Dezfouli, N. & Barati, H. A distributed energy-efficient approach for hole repair in wireless sensor networks. Wirel. Netw. 26, 1839–1855. https://doi.org/10.1007/s11276-018-1867-0 (2020).
Nilsaz Dezfuli, N. & Barati, H. Distributed energy efficient algorithm for ensuring coverage of wireless sensor networks. IET Commun. 13, 578–584. https://doi.org/10.1049/iet-com.2018.5329 (2019).
Long, J., Dong, M., Ota, K., Liu, A. & Hai, S. ‘Reliability guaranteed efficient data gathering in wireless sensor networks’. IEEE Access 3, 430–444 (2015).
Lin, L., Lin, X., & Shroff, N. B. ‘‘Low-complexity and distributed energy minimization in multi-hop wireless networks. In Proc. IEEE Int. Conf. Comput. Commun. (INFOCOM), Anchorage, AK, USA, May 2007, pp. 1685–1693.
Dong, Q. Maximizing system lifetime in wireless sensor networks. In Proc. 4th Int. Symp. Inf. Process. Sensor Netw. (IPSN) (2005).
Badia, L., Botta, A. & Lenzini, L. ‘A genetic approach to joint routing and link scheduling for wireless mesh networks’. Ad Hoc Netw. 7(4), 654–664 (2009).
Jia, J., Wang, X. & Chen, J. ‘A genetic approach on cross-layer optimization for cognitive radio wireless mesh network under SINR model’. Ad Hoc Netw. 27, 57–67 (2015).
Azari, A., & Miao, G. Lifetime-aware scheduling and power control for M2M communications in LTE networks. In Proc. IEEE Veh. Technol. Conf. (VTC), Glasgow, Scotland, May 2015, pp. 1–5.
Azari, A., & Miao, G. Lifetime-aware scheduling and power control for cellular-based M2M communications. In Proc. IEEE Wireless Commun. Netw. Conf. (WCNC), New Orleans, LA, USA, Mar. 2015, pp. 1171–1176.
Kwon, H., Kim, T. H., Choi, S., & Lee, B. G. Lifetime maximization under reliability constraint via cross-layer strategy in wireless sensor networks. In Proc. IEEE Wireless Commun. Netw. Conf., vol. 3. Mar. 2005, pp. 1891–1896.
Kwon, H., Kim, T. H., Choi, S., & Lee, B. G. Cross-layer lifetime maximization under reliability and stability constraints in wireless sensor networks. In Proc. IEEE Int. Conf. Commun. (ICC), vol. 5. Seoul, Korea, May 2005, pp. 3285–3289.
Kwon, H., Kim, T. H., Choi, S. & Lee, B. G. ‘A cross-layer strategy for energy-efficient reliable delivery in wireless sensor networks’. IEEE Trans. Wireless Commun. 5(12), 3689–3699 (2006).
Cui, Y., Xue, Y. & Nahrstedt, K. ‘A utility-based distributed maximum lifetime routing algorithm for wireless networks’. IEEE Trans. Veh. Technol. 55(3), 797–805 (2006).
Zhu, C., Wu, S., Han, G., Shu, L. & Wu, H. ‘A tree-cluster-based data gathering algorithm for industrial WSNs with a mobile sink’. IEEE Access 3, 381–396 (2015).
Khanna, R., Liu, H., & Chen, H.-H. Dynamic optimization of secure mobile sensor networks: A genetic algorithm. In Proc. IEEE Int. Conf. Commun. (ICC), Glasgow, Scotland, pp. 3413–3418 (2007).
Hua, C. & Yum, T. P. ‘Optimal routing and data aggregation for maximizing lifetime of wireless sensor networks’. IEEE/ACM Trans. Netw. 16(4), 892–903 (2008).
Gu, Y., Pan, M., & Li, W. Prolonging the lifetime of large scale wireless sensor networks via base station placement. In Proc. IEEE Veh. Technol. Conf. (VTC), Las Vegas, NV, USA, Sep, pp. 1–5 (2013).
Chenji, H., & Stoleru, R. Pareto optimal cross layer lifetime optimization for disaster response networks. In Proc. Int. Conf. Commun. Syst. Netw. (COMSNETS), Bengaluru, India, Jan. 2014, pp. 1–8.
Shi, Y., Sagduyu, Y. E., & Li, J. H. Low complexity multi-layer optimization for multi-hop wireless networks. In Proc. Military Commun. Conf. (MILCOM), Oct./Nov. 2012, pp. 1–6.
Chang, J.-H. & Tassiulas, L. ‘Maximum lifetime routing in wireless sensor networks’. IEEE/ACM Trans. Netw. 12(4), 609–619 (2004).
Behzadan, A., Anpalagan, A., & Ma, B. Prolonging network lifetime via nodal energy balancing in heterogeneous wireless sensor networks. In Proc. IEEE Int. Conf. Commun. (ICC), Kyoto, Japan, pp. 1–5 (2011).
Long, J., Dong, M., Ota, K. & Liu, A. ‘Achieving source location privacy and network lifetime maximization through tree-based diversionary routing in wireless sensor networks’. IEEE Access 2, 633–651 (2014).
AlimAlIslam, A. B. M., Hossain, M. S., Raghunathan, V. & Hu, Y. C. ‘Backpacking: Energy-efficient deployment of heterogeneous radios in multi-radio high-data-rate wireless sensor networks’. IEEE Access 2, 1281–1306 (2014).
Goldsmith, A. Wireless Communications (Cambridge Univ. Press, 2005).
Tonguz, O. K. & Ferrari, G. Ad Hoc Wireless Networks: A Communication-Theoretic Perspective (Wiley, 2006).
Tonguz, O. K., & Ferrari, G. A communication-theoretic approach to ad hoc wireless networking. In Proc. 3rd Annu. IEEE Commun. Soc. Sensor Ad Hoc Commun. Netw. (SECON), vol. 2. Reston, VA, USA, Sep. 2006, pp. 715–722.
Chen, Y. & Zhao, Q. ‘On the lifetime of wireless sensor networks’. IEEE Commun. Lett. 9(11), 976–978 (2005).
Li, J. & AlRegib, G. ‘Function-based network lifetime for estimation in wireless sensor networks’. IEEE Signal Process. Lett. 15, 533–536 (2008).
Jung, J. W. & Weitnauer, M. A. ‘On using cooperative routing for lifetime optimization of multi-hop wireless sensor networks: Analysis and guidelines’. IEEE Trans. Commun. 61(8), 3413–3423 (2013).
Dietrich, I. & Dressler, F. ‘On the lifetime of wireless sensor networks’. ACM Trans. Sensor Netw. 5(1), 1–39 (2009).
Boyd, S. & Vandenberghe, L. Convex Optimization (Cambridge Univ. Press, 2004).
IBM’s ILOG CPLEX Optimization Studio. [Online]. Available: http://www-01.ibm.com/support/knowledgecenter/SSSA5P/welcome, Accessed Nov. 5, 2015.
Savazzi, S., Goratti, L., Spagnolin, U., & Latva-Aho, M. Short-range wireless sensor networks for high density seismic monitoring. In Proc. Wireless World Res. Forum, Paris, France, May 2009, pp. 1–5.
Proakis, J. G. Digital Communications (McGraw-Hill, 2001).
Deb, K., Pratap, A., Agarwal, S. & Meyarivan, T. ‘A fast and elitist multiobjective genetic algorithm: NSGA-II’. IEEE Trans. Evol. Comput. 6(2), 182–197 (2002).
Ahn, C. W. & Ramakrishna, R. S. ‘A genetic algorithm for shortest path routing problem and the sizing of populations’. IEEE Trans. Evol. Comput. 6(6), 566–579 (2002).
Iyengar, S. S., Wu, H.-C., Balakrishnan, N. & Chang, S. Y. ‘Biologically inspired cooperative routing for wireless mobile sensor networks’. IEEE Syst. J. 1(1), 29–37 (2007).
IEEE Standard for Information Technology—Local and Metropolitan Area Networks—Specific Requirements—Part 15.4: Wireless Medium Access Control (MAC) and Physical Layer (PHY) Specifications for Low Rate Wireless Personal Area Networks (WPANs), Standard (2006).
Albulet, M. RF Power Amplifiers. Raleigh, NC, USA: SciTech (2001).
Martinez, K., Hart, J. K. & Ong, R. ‘Environmental sensor networks’. Computer 37(8), 50–56 (2004).
Ye, Y., Ci, S., Katsaggelos, A. K., Liu, Y. & Qian, Y. ‘Wireless video surveillance: A survey’. IEEE Access 1, 646–660 (2013).
Djahel, S., Doolan, R., Muntean, G.-M. & Murphy, J. ‘A communications oriented perspective on traffic management systems for smart cities: Challenges and innovative approaches’. IEEE Commun. Surveys Tuts. 17(1), 125–151 (2015).
Funding
There was no financial support received from any organization for carrying out this work.
Author information
Authors and Affiliations
Contributions
K.V, A.M, K.S, S.V, V.K and S.D wrote the main manuscript text, N.R prepared the figures K.V and V.B reviewed entire manuscript and prepared the table and technical methodology sections. All the authors contributed equally for the manuscript preparation, review and submission.
Corresponding author
Ethics declarations
Competing interests
The authors declare no competing interests.
Additional information
Publisher’s note
Springer Nature remains neutral with regard to jurisdictional claims in published maps and institutional affiliations.
Rights and permissions
Open Access This article is licensed under a Creative Commons Attribution-NonCommercial-NoDerivatives 4.0 International License, which permits any non-commercial use, sharing, distribution and reproduction in any medium or format, as long as you give appropriate credit to the original author(s) and the source, provide a link to the Creative Commons licence, and indicate if you modified the licensed material. You do not have permission under this licence to share adapted material derived from this article or parts of it. The images or other third party material in this article are included in the article’s Creative Commons licence, unless indicated otherwise in a credit line to the material. If material is not included in the article’s Creative Commons licence and your intended use is not permitted by statutory regulation or exceeds the permitted use, you will need to obtain permission directly from the copyright holder. To view a copy of this licence, visit http://creativecommons.org/licenses/by-nc-nd/4.0/.
About this article
Cite this article
Vijayalakshmi, K., Maheshwari, A., Saravanan, K. et al. A novel network lifetime maximization technique in WSN using energy efficient algorithms. Sci Rep 15, 10644 (2025). https://doi.org/10.1038/s41598-025-94751-2
Received:
Accepted:
Published:
Version of record:
DOI: https://doi.org/10.1038/s41598-025-94751-2
























